giaibaitoan.com xin giới thiệu đến quý thầy cô giáo và các em học sinh lớp 9 đề thi thử tuyển sinh vào lớp 10 THPT chuyên môn Toán (chung – dành cho tất cả các thí sinh thi thử) năm 2025, lần 3 của trường THPT chuyên Đại học Sư phạm Hà Nội, thành phố Hà Nội. Đề thi có cấu trúc quen thuộc với 30% câu hỏi trắc nghiệm và 70% câu hỏi tự luận, được thiết kế với thời gian làm bài là 120 phút.
Đề thi thử này đóng vai trò quan trọng trong việc giúp học sinh làm quen với cấu trúc đề thi, rèn luyện kỹ năng giải quyết các dạng bài tập thường gặp trong kỳ thi tuyển sinh lớp 10 chuyên Toán. Đồng thời, đề thi cũng là công cụ hữu ích để thầy cô đánh giá năng lực học tập của học sinh và điều chỉnh phương pháp giảng dạy phù hợp.
Dưới đây là trích dẫn một số câu hỏi tiêu biểu từ đề thi:
Nhận xét: Đây là bài toán tỉ lệ và phần trăm, đòi hỏi học sinh phải vận dụng linh hoạt các kiến thức về tỉ số, phân số và giải phương trình để tìm ra đáp án. Bài toán có tính ứng dụng thực tế cao, giúp học sinh rèn luyện tư duy logic và khả năng giải quyết vấn đề.
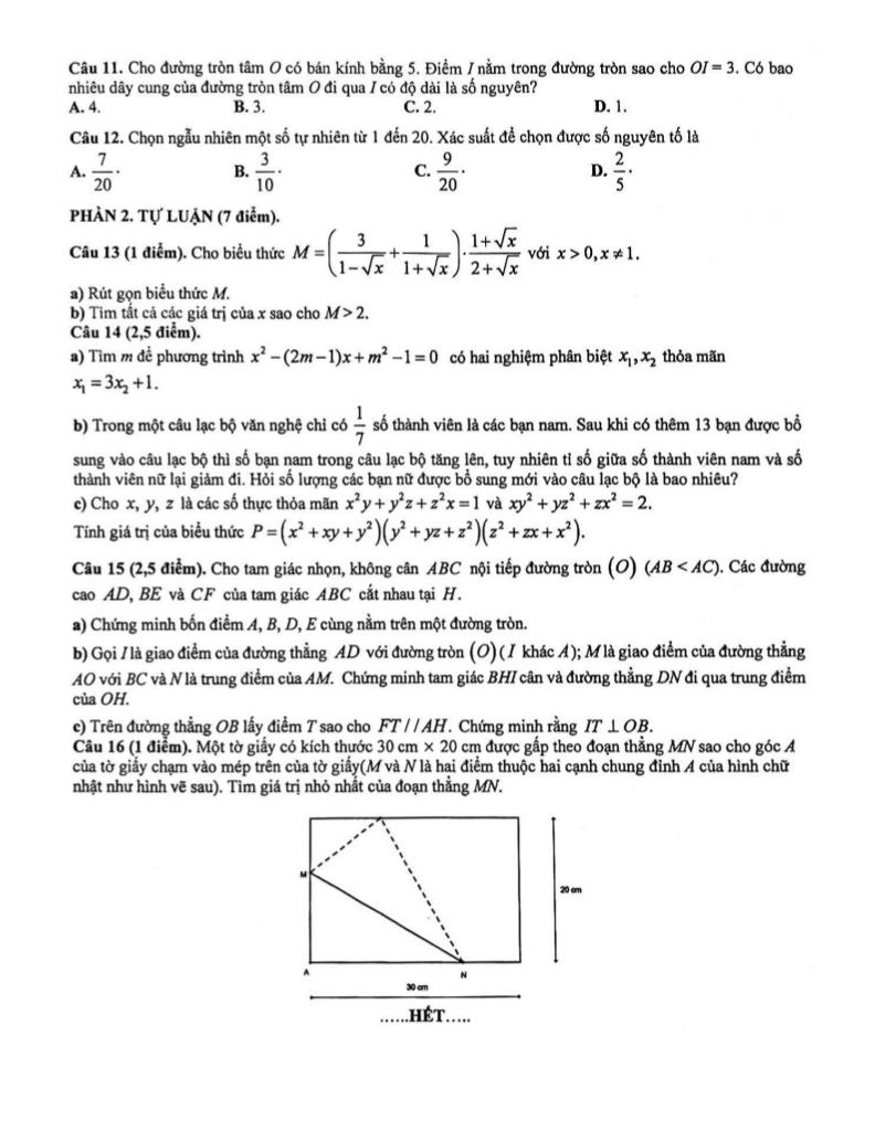
Nhận xét: Bài toán này thuộc dạng hình học, kết hợp kiến thức về hình học phẳng, tam giác đồng dạng và bất đẳng thức. Để giải bài toán này, học sinh cần vẽ hình chính xác, xác định các mối quan hệ giữa các yếu tố hình học và sử dụng các công cụ toán học phù hợp để tìm ra giá trị nhỏ nhất của MN. Đây là một bài toán thách thức, đòi hỏi học sinh có khả năng tư duy không gian và kỹ năng giải quyết vấn đề sáng tạo.
Nhận xét: Đây là bài toán thống kê cơ bản, kiểm tra kiến thức của học sinh về cách phân loại dữ liệu và xác định số lượng nhóm trong một mẫu số liệu ghép nhóm. Bài toán này giúp học sinh làm quen với các khái niệm thống kê và rèn luyện kỹ năng phân tích dữ liệu.
Việc luyện tập với đề thi thử này sẽ giúp học sinh tự tin hơn khi bước vào kỳ thi tuyển sinh lớp 10 chuyên Toán. giaibaitoan.com hy vọng rằng đề thi này sẽ là tài liệu hữu ích cho cả thầy và trò trong quá trình ôn tập và chuẩn bị cho kỳ thi sắp tới.

