Logo Header
  1. Môn Toán
  2. đề trắc nghiệm kiểm tra 1 tiết hình học 10 chương 2 trường thpt bắc đông quan – thái bình

đề trắc nghiệm kiểm tra 1 tiết hình học 10 chương 2 trường thpt bắc đông quan – thái bình

Bạn đang xem tài liệu đề trắc nghiệm kiểm tra 1 tiết hình học 10 chương 2 trường thpt bắc đông quan – thái bình được biên soạn theo soạn toán mới nhất. Tài liệu này hệ thống hóa kiến thức một cách khoa học, phù hợp cho mọi lộ trình học từ cơ bản đến nâng cao. Hãy khai thác triệt để nội dung để bứt phá điểm số và tự tin chinh phục mọi kỳ thi nhé!

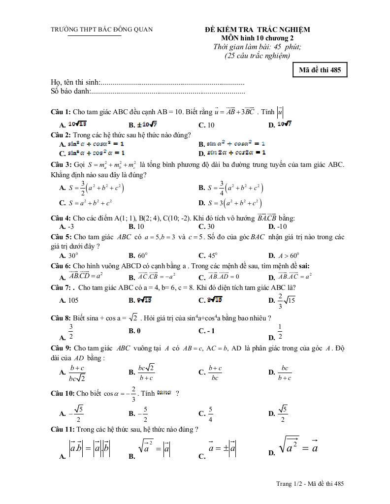
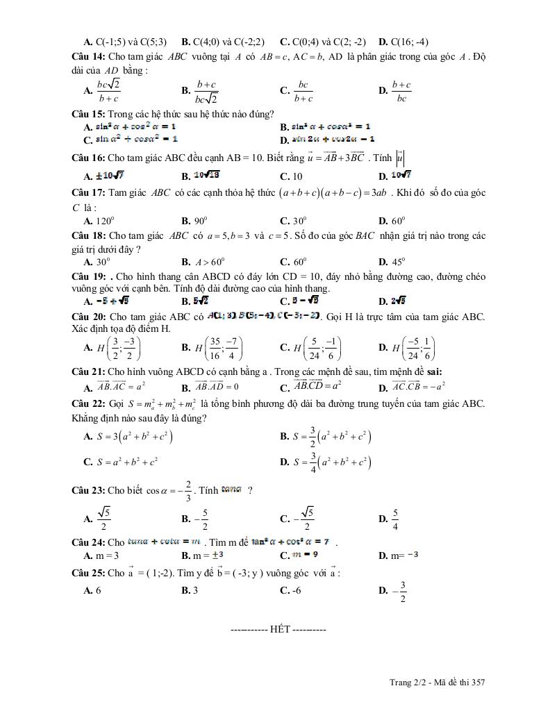
Đề kiểm tra 1 tiết Hình học 10 – Chương 2: Vectơ (Trường THPT Bắc Đông Quan, Thái Bình)

Bài viết này cung cấp thông tin chi tiết về đề kiểm tra 1 tiết môn Hình học 10, chương 2 (Vectơ) của trường THPT Bắc Đông Quan, tỉnh Thái Bình. Đề thi được thiết kế dưới dạng trắc nghiệm, với cấu trúc và nội dung được trình bày như sau:

  • Số lượng mã đề: Đề kiểm tra bao gồm 4 mã đề khác nhau, nhằm đảm bảo tính khách quan và giảm thiểu tình trạng gian lận trong quá trình làm bài.
  • Số lượng câu hỏi: Mỗi mã đề bao gồm 25 câu hỏi trắc nghiệm, bao phủ các kiến thức trọng tâm của chương Vectơ.
  • Thời gian làm bài: Học sinh có 45 phút để hoàn thành bài kiểm tra, đòi hỏi sự tập trung cao độ và khả năng giải quyết bài toán nhanh chóng.
  • Đáp án: Đề kiểm tra có đáp án đi kèm, hỗ trợ công tác chấm thi và tự đánh giá kết quả học tập của học sinh.
  • Dạng file: Đề thi được cung cấp dưới dạng file WORD, tạo điều kiện thuận lợi cho quý thầy cô trong việc chỉnh sửa, bổ sung hoặc sử dụng cho các mục đích giảng dạy khác.

Đánh giá và nhận xét:

Việc xây dựng đề kiểm tra với nhiều mã đề là một điểm cộng, thể hiện sự quan tâm đến tính công bằng và nghiêm túc trong đánh giá học sinh. Số lượng câu hỏi 25 câu trong thời gian 45 phút cho thấy đề thi có độ khó vừa phải, yêu cầu học sinh nắm vững kiến thức cơ bản và kỹ năng giải quyết bài toán trắc nghiệm. Chương Vectơ là một trong những chương quan trọng trong Hình học 10, đặt nền móng cho các kiến thức nâng cao hơn trong các lớp học tiếp theo. Do đó, việc kiểm tra chương này một cách kỹ lưỡng là rất cần thiết.

File WORD cung cấp cho giáo viên sự linh hoạt trong việc sử dụng đề thi, có thể tùy chỉnh để phù hợp với trình độ và đặc điểm của từng lớp học. Việc có đáp án đi kèm giúp giáo viên tiết kiệm thời gian chấm thi và có thể nhanh chóng phản hồi kết quả cho học sinh.

Lưu ý: Đề thi này là tài liệu tham khảo hữu ích cho cả học sinh và giáo viên trong quá trình dạy và học môn Hình học 10.

Khởi đầu hành trình Toán THPT vững vàng với nội dung đề trắc nghiệm kiểm tra 1 tiết hình học 10 chương 2 trường thpt bắc đông quan – thái bình trong chuyên mục giải bài tập toán 10 trên nền tảng soạn toán! Bộ bài tập lý thuyết toán thpt, được biên soạn chuyên sâu và bám sát chặt chẽ chương trình Toán lớp 10 hiện hành, cam kết tối ưu hóa toàn diện quá trình ôn luyện. Qua đó, học sinh không chỉ củng cố kiến thức cốt lõi mà còn xây dựng nền tảng vững chắc cho các năm học tiếp theo và định hướng đại học, nhờ phương pháp tiếp cận trực quan, logic và mang lại hiệu quả học tập vượt trội.
images-post/de-trac-nghiem-kiem-tra-1-tiet-hinh-hoc-10-chuong-2-truong-thpt-bac-dong-quan-thai-binh-1.jpgimages-post/de-trac-nghiem-kiem-tra-1-tiet-hinh-hoc-10-chuong-2-truong-thpt-bac-dong-quan-thai-binh-2.jpgimages-post/de-trac-nghiem-kiem-tra-1-tiet-hinh-hoc-10-chuong-2-truong-thpt-bac-dong-quan-thai-binh-3.jpgimages-post/de-trac-nghiem-kiem-tra-1-tiet-hinh-hoc-10-chuong-2-truong-thpt-bac-dong-quan-thai-binh-4.jpgimages-post/de-trac-nghiem-kiem-tra-1-tiet-hinh-hoc-10-chuong-2-truong-thpt-bac-dong-quan-thai-binh-5.jpgimages-post/de-trac-nghiem-kiem-tra-1-tiet-hinh-hoc-10-chuong-2-truong-thpt-bac-dong-quan-thai-binh-6.jpgimages-post/de-trac-nghiem-kiem-tra-1-tiet-hinh-hoc-10-chuong-2-truong-thpt-bac-dong-quan-thai-binh-7.jpgimages-post/de-trac-nghiem-kiem-tra-1-tiet-hinh-hoc-10-chuong-2-truong-thpt-bac-dong-quan-thai-binh-8.jpgimages-post/de-trac-nghiem-kiem-tra-1-tiet-hinh-hoc-10-chuong-2-truong-thpt-bac-dong-quan-thai-binh-9.jpg

File đề trắc nghiệm kiểm tra 1 tiết hình học 10 chương 2 trường thpt bắc đông quan – thái bình PDF Chi Tiết

TÌM KIẾM THEO TỪ KHÓA