Logo Header
  1. Môn Toán
  2. ôn tập cuối kì 2 toán 8 năm 2024 – 2025 trường thcs ngọc lâm – hà nội

ôn tập cuối kì 2 toán 8 năm 2024 – 2025 trường thcs ngọc lâm – hà nội

Bạn đang xem tài liệu ôn tập cuối kì 2 toán 8 năm 2024 – 2025 trường thcs ngọc lâm – hà nội được biên soạn theo đề thi toán mới nhất. Tài liệu này hệ thống hóa kiến thức một cách khoa học, phù hợp cho mọi lộ trình học từ cơ bản đến nâng cao. Hãy khai thác triệt để nội dung để bứt phá điểm số và tự tin chinh phục mọi kỳ thi nhé!

giaibaitoan.com xin giới thiệu đến quý thầy cô giáo và các em học sinh lớp 8 đề cương ôn tập cuối học kỳ 2 môn Toán 8 năm học 2024 – 2025 của trường THCS Ngọc Lâm, quận Long Biên, thành phố Hà Nội. Đề cương này là tài liệu tham khảo hữu ích, giúp học sinh hệ thống lại kiến thức trọng tâm và chuẩn bị tốt nhất cho kỳ kiểm tra sắp tới.

Đánh giá chung về đề cương:

Đề cương tập trung vào các chủ đề cốt lõi của chương trình Toán 8 học kỳ 2, bao gồm xác suất, phương trình bậc nhất một ẩn và đồng dạng của tam giác. Việc lựa chọn các câu hỏi trọng tâm và dạng bài tập minh họa thể hiện sự tinh tế trong việc xác định những kiến thức và kỹ năng quan trọng mà học sinh cần nắm vững.

PHẦN I: NỘI DUNG KIẾN THỨC CẦN ÔN TẬP

  1. Phạm vi kiến thức: Đề cương yêu cầu ôn tập toàn bộ kiến thức đã học từ tuần 19 đến tuần 30. Đây là khoảng thời gian bao gồm nhiều chủ đề quan trọng, do đó học sinh cần có kế hoạch ôn tập cụ thể và khoa học.
  2. Các câu hỏi trọng tâm:
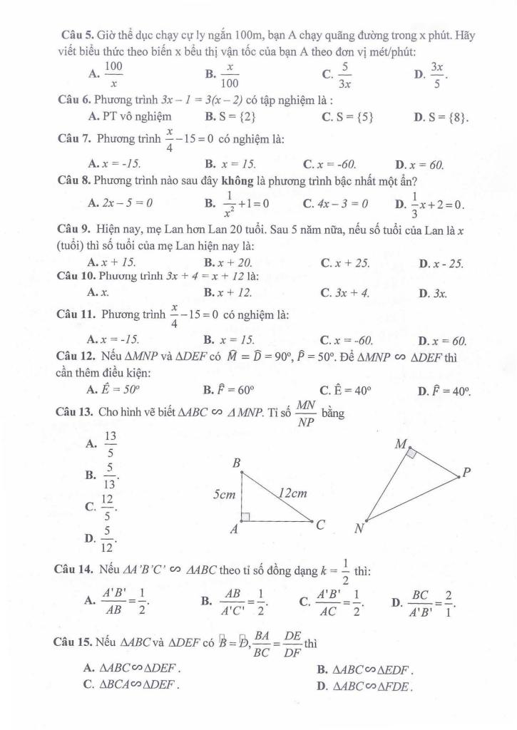
    • Câu 1: Xác suất thực nghiệm. Câu hỏi này kiểm tra khả năng vận dụng kiến thức về xác suất vào các tình huống thực tế, cụ thể là các trò chơi đơn giản như tung đồng xu, vòng quay số và chọn ngẫu nhiên. Việc hiểu rõ cách tính xác suất thực nghiệm giúp học sinh làm quen với tư duy thống kê và dự đoán.
    • Câu 2: Phương trình, nghiệm và giải phương trình. Đây là những khái niệm cơ bản trong đại số, là nền tảng để học sinh tiếp cận các bài toán phức tạp hơn. Việc nắm vững định nghĩa và ý nghĩa của các khái niệm này là rất quan trọng.
    • Câu 3: Phương trình bậc nhất một ẩn. Câu hỏi này đi sâu vào dạng phương trình quan trọng nhất trong chương trình lớp 8. Học sinh cần nắm vững dạng tổng quát của phương trình, các bước giải phương trình và ứng dụng của phương trình bậc nhất một ẩn vào giải quyết các bài toán thực tế.
    • Câu 4: Trường hợp đồng dạng của tam giác. Đây là phần kiến thức quan trọng trong hình học, giúp học sinh hiểu rõ mối quan hệ giữa các tam giác và ứng dụng vào giải các bài toán liên quan đến tính độ dài đoạn thẳng, góc. Việc phân biệt các trường hợp đồng dạng của tam giác thường và tam giác vuông là cần thiết.
    • Câu 5: Hình đồng dạng phối cảnh. Câu hỏi này kiểm tra khả năng hiểu và vận dụng kiến thức về hình đồng dạng trong một ngữ cảnh cụ thể.
    • Câu 6: Mối quan hệ giữa tam giác bằng nhau và tam giác đồng dạng. Câu hỏi này giúp học sinh hiểu rõ sự khác biệt và mối liên hệ giữa hai khái niệm quan trọng trong hình học. Việc nhận biết rằng hai tam giác bằng nhau thì đồng dạng, nhưng ngược lại không phải lúc nào cũng đúng là điều cần lưu ý.

PHẦN II: MỘT SỐ DẠNG BÀI TẬP MINH HỌA

Phần này đóng vai trò quan trọng trong việc giúp học sinh rèn luyện kỹ năng giải toán và áp dụng kiến thức đã học vào thực tế. (Nội dung chi tiết về các dạng bài tập minh họa không được cung cấp trong đoạn văn bản gốc).

Nhận xét và gợi ý:

Đề cương này là một tài liệu ôn tập hữu ích, tuy nhiên để đạt hiệu quả cao nhất, học sinh cần kết hợp với việc làm bài tập thường xuyên, tham khảo thêm các tài liệu khác và trao đổi với thầy cô giáo, bạn bè. Việc tự kiểm tra và đánh giá quá trình ôn tập cũng rất quan trọng để xác định những kiến thức còn yếu và cần củng cố thêm.

Khám phá ngay nội dung ôn tập cuối kì 2 toán 8 năm 2024 – 2025 trường thcs ngọc lâm – hà nội trong chuyên mục giải sách giáo khoa toán 8 trên nền tảng đề thi toán và tự tin chinh phục Toán lớp 8! Được biên soạn chuyên sâu và bám sát chặt chẽ chương trình sách giáo khoa hiện hành, bộ bài tập toán thcs cam kết tối ưu hóa toàn diện quá trình ôn luyện, giúp học sinh không chỉ củng cố vững chắc kiến thức nền tảng mà còn giải quyết thành thạo các dạng bài tập phức tạp, thông qua phương pháp tiếp cận trực quan, logic và mang lại hiệu quả học tập vượt trội.
images-post/on-tap-cuoi-ki-2-toan-8-nam-2024-2025-truong-thcs-ngoc-lam-ha-noi-1.jpgimages-post/on-tap-cuoi-ki-2-toan-8-nam-2024-2025-truong-thcs-ngoc-lam-ha-noi-2.jpgimages-post/on-tap-cuoi-ki-2-toan-8-nam-2024-2025-truong-thcs-ngoc-lam-ha-noi-3.jpgimages-post/on-tap-cuoi-ki-2-toan-8-nam-2024-2025-truong-thcs-ngoc-lam-ha-noi-4.jpgimages-post/on-tap-cuoi-ki-2-toan-8-nam-2024-2025-truong-thcs-ngoc-lam-ha-noi-5.jpgimages-post/on-tap-cuoi-ki-2-toan-8-nam-2024-2025-truong-thcs-ngoc-lam-ha-noi-6.jpg

File ôn tập cuối kì 2 toán 8 năm 2024 – 2025 trường thcs ngọc lâm – hà nội PDF Chi Tiết

TÌM KIẾM THEO TỪ KHÓA