Logo Header
  1. Môn Toán
  2. đề cương cuối kì 2 toán 8 năm 2024 – 2025 trường thcs dương văn mạnh – br vt

đề cương cuối kì 2 toán 8 năm 2024 – 2025 trường thcs dương văn mạnh – br vt

Bạn đang xem tài liệu đề cương cuối kì 2 toán 8 năm 2024 – 2025 trường thcs dương văn mạnh – br vt được biên soạn theo toán học mới nhất. Tài liệu này hệ thống hóa kiến thức một cách khoa học, phù hợp cho mọi lộ trình học từ cơ bản đến nâng cao. Hãy khai thác triệt để nội dung để bứt phá điểm số và tự tin chinh phục mọi kỳ thi nhé!

giaibaitoan.com xin giới thiệu đến quý thầy cô giáo và các em học sinh lớp 8 đề cương ôn tập cuối học kì 2 môn Toán 8 năm học 2024 – 2025 của trường THCS Dương Văn Mạnh, tỉnh Bà Rịa – Vũng Tàu. Đề cương này là tài liệu tham khảo hữu ích, giúp học sinh hệ thống lại kiến thức trọng tâm và rèn luyện kỹ năng giải đề, chuẩn bị tốt nhất cho kỳ kiểm tra sắp tới.

Đề cương được cấu trúc khoa học, bao gồm hai phần chính: Trắc nghiệm và Tự luận, cùng với đề tham khảo, đáp ứng nhu cầu ôn tập đa dạng của học sinh.

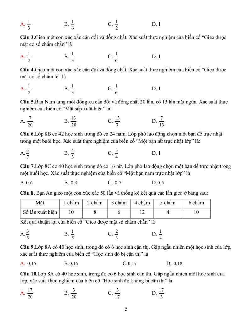
  1. Phần Trắc nghiệm: Được chia thành ba phần nhỏ, đánh giá khả năng nắm vững kiến thức cơ bản và vận dụng nhanh chóng của học sinh:
    • Câu trắc nghiệm nhiều phương án lựa chọn: Kiểm tra khả năng nhận biết và lựa chọn đáp án đúng trong các tình huống toán học cụ thể.
    • Câu trắc nghiệm đúng sai: Đánh giá mức độ hiểu chính xác các định nghĩa, định lý và tính chất toán học.
    • Câu hỏi trắc nghiệm trả lời ngắn: Yêu cầu học sinh trình bày ngắn gọn đáp án, kiểm tra khả năng tư duy logic và diễn đạt toán học.
  2. Phần Tự luận: Tập trung vào việc rèn luyện kỹ năng giải quyết các bài toán phức tạp hơn, đòi hỏi học sinh phải vận dụng kiến thức đã học một cách linh hoạt và sáng tạo. Đề cương bao gồm các dạng bài tập sau:
    • Dạng 1: Hàm số bậc nhất: Ôn tập về khái niệm hàm số, cách xác định hàm số bậc nhất, đồ thị hàm số và ứng dụng của hàm số trong giải quyết các bài toán thực tế.
    • Dạng 2: Phương trình bậc nhất một ẩn: Luyện tập các kỹ năng giải phương trình bậc nhất một ẩn, ứng dụng phương trình trong giải các bài toán liên quan đến thực tế.
    • Dạng 3: Định lí Thalets và Tam giác đồng dạng: Củng cố kiến thức về định lý Thalets, các trường hợp đồng dạng của tam giác, và ứng dụng của chúng trong việc tính toán độ dài đoạn thẳng, góc và giải các bài toán hình học.
  3. Đề tham khảo: Cung cấp một đề thi hoàn chỉnh, giúp học sinh làm quen với cấu trúc đề thi và thời gian làm bài, từ đó có sự chuẩn bị tốt nhất cho kỳ thi chính thức.

Đặc biệt:

File WORD của đề cương được cung cấp riêng cho quý thầy cô giáo, tạo điều kiện thuận lợi cho việc sử dụng trong công tác giảng dạy và ra đề kiểm tra.

Nhận xét: Đề cương ôn tập này có cấu trúc rõ ràng, bao phủ đầy đủ các kiến thức trọng tâm của chương trình Toán 8 học kì 2. Sự kết hợp giữa trắc nghiệm và tự luận giúp học sinh có thể đánh giá được một cách toàn diện năng lực của bản thân. Việc cung cấp file WORD cho giáo viên là một điểm cộng, thể hiện sự quan tâm đến nhu cầu của người sử dụng.

Khám phá ngay nội dung đề cương cuối kì 2 toán 8 năm 2024 – 2025 trường thcs dương văn mạnh – br vt trong chuyên mục toán 8 sgk trên nền tảng toán học và tự tin chinh phục Toán lớp 8! Được biên soạn chuyên sâu và bám sát chặt chẽ chương trình sách giáo khoa hiện hành, bộ bài tập toán trung học cơ sở cam kết tối ưu hóa toàn diện quá trình ôn luyện, giúp học sinh không chỉ củng cố vững chắc kiến thức nền tảng mà còn giải quyết thành thạo các dạng bài tập phức tạp, thông qua phương pháp tiếp cận trực quan, logic và mang lại hiệu quả học tập vượt trội.
images-post/de-cuong-cuoi-ki-2-toan-8-nam-2024-2025-truong-thcs-duong-van-manh-br-vt-01.jpgimages-post/de-cuong-cuoi-ki-2-toan-8-nam-2024-2025-truong-thcs-duong-van-manh-br-vt-02.jpgimages-post/de-cuong-cuoi-ki-2-toan-8-nam-2024-2025-truong-thcs-duong-van-manh-br-vt-03.jpgimages-post/de-cuong-cuoi-ki-2-toan-8-nam-2024-2025-truong-thcs-duong-van-manh-br-vt-04.jpgimages-post/de-cuong-cuoi-ki-2-toan-8-nam-2024-2025-truong-thcs-duong-van-manh-br-vt-05.jpgimages-post/de-cuong-cuoi-ki-2-toan-8-nam-2024-2025-truong-thcs-duong-van-manh-br-vt-06.jpgimages-post/de-cuong-cuoi-ki-2-toan-8-nam-2024-2025-truong-thcs-duong-van-manh-br-vt-07.jpgimages-post/de-cuong-cuoi-ki-2-toan-8-nam-2024-2025-truong-thcs-duong-van-manh-br-vt-08.jpgimages-post/de-cuong-cuoi-ki-2-toan-8-nam-2024-2025-truong-thcs-duong-van-manh-br-vt-09.jpgimages-post/de-cuong-cuoi-ki-2-toan-8-nam-2024-2025-truong-thcs-duong-van-manh-br-vt-10.jpg

File đề cương cuối kì 2 toán 8 năm 2024 – 2025 trường thcs dương văn mạnh – br vt PDF Chi Tiết

TÌM KIẾM THEO TỪ KHÓA