Logo Header
  1. Môn Toán
  2. đề cương cuối kì 2 toán 8 năm 2024 – 2025 trường thcs thọ lộc – hà nội

đề cương cuối kì 2 toán 8 năm 2024 – 2025 trường thcs thọ lộc – hà nội

Bạn đang xem tài liệu đề cương cuối kì 2 toán 8 năm 2024 – 2025 trường thcs thọ lộc – hà nội được biên soạn theo đề thi toán mới nhất. Tài liệu này hệ thống hóa kiến thức một cách khoa học, phù hợp cho mọi lộ trình học từ cơ bản đến nâng cao. Hãy khai thác triệt để nội dung để bứt phá điểm số và tự tin chinh phục mọi kỳ thi nhé!

giaibaitoan.com xin giới thiệu đến quý thầy cô giáo và các em học sinh lớp 8 đề cương ôn tập cuối học kì 2 môn Toán 8 năm học 2024 – 2025 của trường THCS Thọ Lộc, huyện Phúc Thọ, thành phố Hà Nội. Đề cương này là tài liệu tham khảo hữu ích, giúp học sinh hệ thống lại kiến thức và rèn luyện kỹ năng giải toán, chuẩn bị tốt nhất cho kỳ kiểm tra sắp tới.

I. LÝ THUYẾT

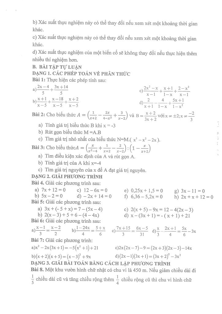
Đề cương tập trung vào ba mảng kiến thức chính: Đại số, Hình học và Xác suất. Việc nắm vững lý thuyết là nền tảng quan trọng để giải quyết các bài tập một cách chính xác và hiệu quả.

  1. ĐẠI SỐ
    • Phân thức đại số: Đề cương yêu cầu học sinh nắm vững định nghĩa phân thức đại số, các tính chất cơ bản và các phép toán cộng, trừ, nhân, chia phân thức. Bên cạnh đó, việc hiểu rõ ý nghĩa của giá trị của phân thức và điều kiện xác định của nó cũng rất quan trọng.
    • Phương trình và giải bài toán bằng phương trình: Học sinh cần ôn tập các phương pháp giải phương trình bậc nhất, phương trình tích và phương trình chứa ẩn ở mẫu. Kỹ năng lập phương trình giải bài toán thực tế là một phần không thể thiếu, đòi hỏi học sinh phải biết phân tích đề bài, đặt ẩn và biểu diễn các đại lượng liên quan qua ẩn.
    • Hàm số và đồ thị: Phần này tập trung vào các khái niệm cơ bản về hàm số, cách xác định hàm số và vẽ đồ thị hàm số. Học sinh cần hiểu được mối liên hệ giữa hàm số và đồ thị của nó.
  2. HÌNH HỌC
    • Tỉ số và đồng dạng: Đề cương nhấn mạnh vào các khái niệm tỉ số đồng dạng, tỉ số chu vi, tỉ số diện tích, tỉ số đường cao, đường trung tuyến, đường phân giác. Việc hiểu rõ mối liên hệ giữa các tỉ số này trong các hình đồng dạng là rất quan trọng.
    • Các trường hợp đồng dạng của tam giác: Học sinh cần nắm vững ba trường hợp đồng dạng của hai tam giác (cạnh-cạnh-cạnh, góc-góc, cạnh-góc-cạnh) và các trường hợp đồng dạng đặc biệt của hai tam giác vuông. Đồng thời, cần biết ứng dụng các trường hợp đồng dạng để giải quyết các bài toán thực tế và chứng minh các tính chất hình học.
    • Định lí Pythagore: Định lí Pythagore là một trong những định lí quan trọng nhất trong hình học. Đề cương yêu cầu học sinh nắm vững nội dung định lí và các ứng dụng của nó trong việc tính toán độ dài cạnh của tam giác vuông.
    • Hình chóp tam giác và hình chóp tứ giác: Học sinh cần hiểu rõ khái niệm hình chóp, các yếu tố của hình chóp (đỉnh, đáy, cạnh bên, mặt bên, chiều cao) và cách tính diện tích xung quanh, diện tích đáy, thể tích của hình chóp.
  3. XÁC SUẤT
    • Kết quả có thể và kết quả thuận lợi: Học sinh cần phân biệt được kết quả có thể và kết quả thuận lợi của một thí nghiệm ngẫu nhiên.
    • Cách tính xác suất của biến cố: Đề cương yêu cầu học sinh nắm vững công thức tính xác suất của biến cố: P(A) = (Số kết quả thuận lợi cho A) / (Số kết quả có thể).
    • Mối liên hệ giữa xác suất thực nghiệm và xác suất ứng dụng: Học sinh cần hiểu được sự khác biệt giữa xác suất thực nghiệm (được tính dựa trên kết quả của một số lớn các lần thử nghiệm) và xác suất ứng dụng (được tính dựa trên lý thuyết).

II. BÀI TẬP

Phần bài tập trong đề cương sẽ giúp học sinh củng cố kiến thức lý thuyết và rèn luyện kỹ năng giải toán. Việc giải bài tập một cách thường xuyên và có hệ thống là chìa khóa để đạt kết quả tốt trong kỳ kiểm tra.

Nhận xét chung: Đề cương ôn tập này bao phủ đầy đủ các kiến thức trọng tâm của chương trình Toán 8 học kì 2. Nội dung được trình bày rõ ràng, mạch lạc, giúp học sinh dễ dàng tiếp thu và ôn tập. Đây là một tài liệu hữu ích cho cả học sinh và giáo viên trong quá trình dạy và học.

Khám phá ngay nội dung đề cương cuối kì 2 toán 8 năm 2024 – 2025 trường thcs thọ lộc – hà nội trong chuyên mục giải sgk toán 8 trên nền tảng đề thi toán và tự tin chinh phục Toán lớp 8! Được biên soạn chuyên sâu và bám sát chặt chẽ chương trình sách giáo khoa hiện hành, bộ bài tập toán thcs cam kết tối ưu hóa toàn diện quá trình ôn luyện, giúp học sinh không chỉ củng cố vững chắc kiến thức nền tảng mà còn giải quyết thành thạo các dạng bài tập phức tạp, thông qua phương pháp tiếp cận trực quan, logic và mang lại hiệu quả học tập vượt trội.
images-post/de-cuong-cuoi-ki-2-toan-8-nam-2024-2025-truong-thcs-tho-loc-ha-noi-01.jpgimages-post/de-cuong-cuoi-ki-2-toan-8-nam-2024-2025-truong-thcs-tho-loc-ha-noi-02.jpgimages-post/de-cuong-cuoi-ki-2-toan-8-nam-2024-2025-truong-thcs-tho-loc-ha-noi-03.jpgimages-post/de-cuong-cuoi-ki-2-toan-8-nam-2024-2025-truong-thcs-tho-loc-ha-noi-04.jpgimages-post/de-cuong-cuoi-ki-2-toan-8-nam-2024-2025-truong-thcs-tho-loc-ha-noi-05.jpgimages-post/de-cuong-cuoi-ki-2-toan-8-nam-2024-2025-truong-thcs-tho-loc-ha-noi-06.jpgimages-post/de-cuong-cuoi-ki-2-toan-8-nam-2024-2025-truong-thcs-tho-loc-ha-noi-07.jpgimages-post/de-cuong-cuoi-ki-2-toan-8-nam-2024-2025-truong-thcs-tho-loc-ha-noi-08.jpgimages-post/de-cuong-cuoi-ki-2-toan-8-nam-2024-2025-truong-thcs-tho-loc-ha-noi-09.jpgimages-post/de-cuong-cuoi-ki-2-toan-8-nam-2024-2025-truong-thcs-tho-loc-ha-noi-10.jpg

File đề cương cuối kì 2 toán 8 năm 2024 – 2025 trường thcs thọ lộc – hà nội PDF Chi Tiết

TÌM KIẾM THEO TỪ KHÓA