Logo Header
  1. Môn Toán
  2. tuyển tập 06 đề ôn tập kiểm tra giữa học kỳ 2 môn toán 12 năm 2024 – 2025

tuyển tập 06 đề ôn tập kiểm tra giữa học kỳ 2 môn toán 12 năm 2024 – 2025

Bạn đang xem tài liệu tuyển tập 06 đề ôn tập kiểm tra giữa học kỳ 2 môn toán 12 năm 2024 – 2025 được biên soạn theo soạn toán mới nhất. Tài liệu này hệ thống hóa kiến thức một cách khoa học, phù hợp cho mọi lộ trình học từ cơ bản đến nâng cao. Hãy khai thác triệt để nội dung để bứt phá điểm số và tự tin chinh phục mọi kỳ thi nhé!

Tuyển tập đề ôn thi giữa học kỳ 2 Toán 12 năm học 2024-2025 – Đánh giá chi tiết và nhận xét chuyên sâu

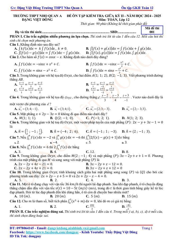
Tài liệu ôn tập giữa học kỳ 2 môn Toán 12 do thầy giáo Đặng Việt Đông (Trường THPT Nho Quan A, tỉnh Ninh Bình) biên soạn là một nguồn tài liệu hữu ích cho học sinh đang chuẩn bị cho kỳ kiểm tra quan trọng này. Với tổng cộng 46 trang, tài liệu tập trung vào việc cung cấp một hệ thống bài tập đa dạng, giúp học sinh rèn luyện kỹ năng và củng cố kiến thức đã học.

Cấu trúc đề thi và nội dung:

  1. Số lượng đề thi: Tài liệu bao gồm 06 đề ôn tập, tạo điều kiện cho học sinh làm quen với nhiều dạng bài khác nhau và đánh giá khách quan năng lực bản thân.
  2. Hình thức đề thi: Mỗi đề thi được xây dựng theo cấu trúc kết hợp các dạng câu hỏi trắc nghiệm, cụ thể:
    • 12 câu trắc nghiệm nhiều phương án lựa chọn: Kiểm tra khả năng nắm vững kiến thức lý thuyết và vận dụng linh hoạt các công thức, định lý.
    • 04 câu trắc nghiệm đúng sai: Đánh giá mức độ hiểu biết chính xác các khái niệm và tính chất toán học.
    • 06 câu trắc nghiệm trả lời ngắn: Yêu cầu học sinh trình bày ngắn gọn lời giải, kiểm tra khả năng tư duy logic và diễn đạt toán học.
  3. Thời gian làm bài: 90 phút cho mỗi đề thi là khoảng thời gian hợp lý để học sinh hoàn thành bài làm một cách cẩn thận và chính xác.
  4. Đáp án và lời giải chi tiết: Điểm nổi bật của tài liệu là cung cấp đáp án và lời giải chi tiết cho từng câu hỏi, giúp học sinh tự kiểm tra, đánh giá kết quả và hiểu rõ phương pháp giải bài.

Đánh giá và nhận xét:

Tài liệu này có giá trị thực tiễn cao trong việc chuẩn bị cho kỳ thi giữa học kỳ 2 môn Toán 12. Việc kết hợp đa dạng các dạng câu hỏi trắc nghiệm giúp học sinh làm quen với nhiều kỹ năng làm bài khác nhau, từ việc lựa chọn đáp án đúng đến việc trình bày lời giải ngắn gọn, rõ ràng. Đặc biệt, lời giải chi tiết đóng vai trò quan trọng trong việc hỗ trợ học sinh tự học, khắc phục những điểm yếu và nâng cao kiến thức.

Gợi ý sử dụng tài liệu hiệu quả:

  • Nên giải các đề thi trong điều kiện thời gian tương tự như khi thi thật để rèn luyện kỹ năng làm bài và quản lý thời gian.
  • Sau khi giải xong, đối chiếu với đáp án và lời giải chi tiết để tự đánh giá kết quả và tìm ra những lỗi sai.
  • Phân tích kỹ các lời giải chi tiết để hiểu rõ phương pháp giải bài và áp dụng vào các bài tập tương tự.
  • Sử dụng tài liệu kết hợp với sách giáo khoa, sách bài tập và các nguồn tài liệu tham khảo khác để có một quá trình ôn tập toàn diện và hiệu quả.

Tóm lại, tuyển tập đề ôn thi giữa học kỳ 2 Toán 12 của thầy giáo Đặng Việt Đông là một tài liệu tham khảo hữu ích, đáng tin cậy và có giá trị hỗ trợ cao cho học sinh trong quá trình ôn tập và chuẩn bị cho kỳ thi sắp tới.

Chinh phục điểm cao Kỳ thi Tốt nghiệp THPT Quốc gia môn Toán, rộng mở cánh cửa Đại học với nội dung tuyển tập 06 đề ôn tập kiểm tra giữa học kỳ 2 môn toán 12 năm 2024 – 2025 trong chuyên mục bài tập toán 12 trên nền tảng soạn toán! Bộ bài tập toán trung học phổ thông, được biên soạn chuyên sâu, bám sát cấu trúc đề thi và chương trình Toán 12, cam kết tối ưu hóa toàn diện lộ trình ôn luyện. Qua đó, học sinh không chỉ làm chủ mọi dạng bài thi mà còn trang bị chiến thuật làm bài hiệu quả, tự tin đạt kết quả đột phá, tạo nền tảng vững chắc cho Kỳ thi Tốt nghiệp THPT Quốc gia và hành trang vững vàng vào đại học, nhờ phương pháp tiếp cận trực quan, khoa học và mang lại hiệu quả học tập vượt trội.
images-post/tuyen-tap-06-de-on-tap-kiem-tra-giua-hoc-ky-2-mon-toan-12-nam-2024-2025-01.jpgimages-post/tuyen-tap-06-de-on-tap-kiem-tra-giua-hoc-ky-2-mon-toan-12-nam-2024-2025-02.jpgimages-post/tuyen-tap-06-de-on-tap-kiem-tra-giua-hoc-ky-2-mon-toan-12-nam-2024-2025-03.jpgimages-post/tuyen-tap-06-de-on-tap-kiem-tra-giua-hoc-ky-2-mon-toan-12-nam-2024-2025-04.jpgimages-post/tuyen-tap-06-de-on-tap-kiem-tra-giua-hoc-ky-2-mon-toan-12-nam-2024-2025-05.jpgimages-post/tuyen-tap-06-de-on-tap-kiem-tra-giua-hoc-ky-2-mon-toan-12-nam-2024-2025-06.jpgimages-post/tuyen-tap-06-de-on-tap-kiem-tra-giua-hoc-ky-2-mon-toan-12-nam-2024-2025-07.jpgimages-post/tuyen-tap-06-de-on-tap-kiem-tra-giua-hoc-ky-2-mon-toan-12-nam-2024-2025-08.jpgimages-post/tuyen-tap-06-de-on-tap-kiem-tra-giua-hoc-ky-2-mon-toan-12-nam-2024-2025-09.jpgimages-post/tuyen-tap-06-de-on-tap-kiem-tra-giua-hoc-ky-2-mon-toan-12-nam-2024-2025-10.jpg

File tuyển tập 06 đề ôn tập kiểm tra giữa học kỳ 2 môn toán 12 năm 2024 – 2025 PDF Chi Tiết

TÌM KIẾM THEO TỪ KHÓA