Logo Header
  1. Môn Toán
  2. bài tập vd – vdc tiếp tuyến của đồ thị hàm số có đáp án và lời giải

bài tập vd – vdc tiếp tuyến của đồ thị hàm số có đáp án và lời giải

Bạn đang xem tài liệu bài tập vd – vdc tiếp tuyến của đồ thị hàm số có đáp án và lời giải được biên soạn theo môn toán mới nhất. Tài liệu này hệ thống hóa kiến thức một cách khoa học, phù hợp cho mọi lộ trình học từ cơ bản đến nâng cao. Hãy khai thác triệt để nội dung để bứt phá điểm số và tự tin chinh phục mọi kỳ thi nhé!

Tuyển tập bài tập tiếp tuyến đồ thị hàm số VD – VDC: Đánh giá chi tiết và phân tích chuyên sâu

Nhóm Strong Team Toán VD – VDC đã biên soạn một tài liệu học tập vô cùng hữu ích dành cho học sinh ôn luyện chuyên sâu về chủ đề tiếp tuyến của đồ thị hàm số. Tài liệu này bao gồm 34 trang, tập trung vào 40 bài tập trích từ đề thi VD – VDC, kèm theo đáp án và lời giải chi tiết. Đây là một nguồn tài liệu giá trị, hỗ trợ học sinh rèn luyện kỹ năng giải quyết các dạng bài tập thường gặp và nâng cao trong kỳ thi.

Điểm mạnh của tài liệu nằm ở việc tập trung vào một chủ đề cụ thể, cho phép học sinh đi sâu vào bản chất của vấn đề. Các bài tập được chọn lọc kỹ lưỡng, bao phủ nhiều khía cạnh khác nhau của chủ đề tiếp tuyến, từ việc tìm phương trình tiếp tuyến, xác định điều kiện để tiếp tuyến có tính chất đặc biệt, đến việc ứng dụng tiếp tuyến trong các bài toán liên quan đến đường tiệm cận và tính chất hình học.

Dưới đây là phân tích chi tiết một số bài tập tiêu biểu trong tài liệu:

  1. Bài toán về tiếp tuyến vuông góc với đường thẳng cho trước: Bài toán yêu cầu tìm các giá trị của tham số m sao cho tiếp tuyến của đồ thị hàm số 2 3 1 m xm m y x m tại giao điểm với trục hoành vuông góc với đường thẳng x y 2020 0. Đây là một bài toán điển hình kết hợp kiến thức về đạo hàm, điều kiện vuông góc của hai đường thẳng và phương trình đường thẳng. Việc giải bài toán đòi hỏi học sinh phải thành thạo các kỹ năng giải phương trình và bất phương trình.
  2. Bài toán về tiếp tuyến có cùng hệ số góc: Bài toán cho hàm số 3 2 y 2 3 x ax b và yêu cầu tìm giá trị nhỏ nhất của biểu thức 2 2 2a ab, biết rằng có hai điểm phân biệt trên đồ thị hàm số có tiếp tuyến với cùng hệ số góc bằng 6 và khoảng cách từ gốc tọa độ đến đường thẳng đi qua hai điểm đó bằng 1. Bài toán này đòi hỏi học sinh phải hiểu rõ mối liên hệ giữa hệ số góc của tiếp tuyến và đạo hàm của hàm số, đồng thời vận dụng kiến thức về hình học giải tích để giải quyết.
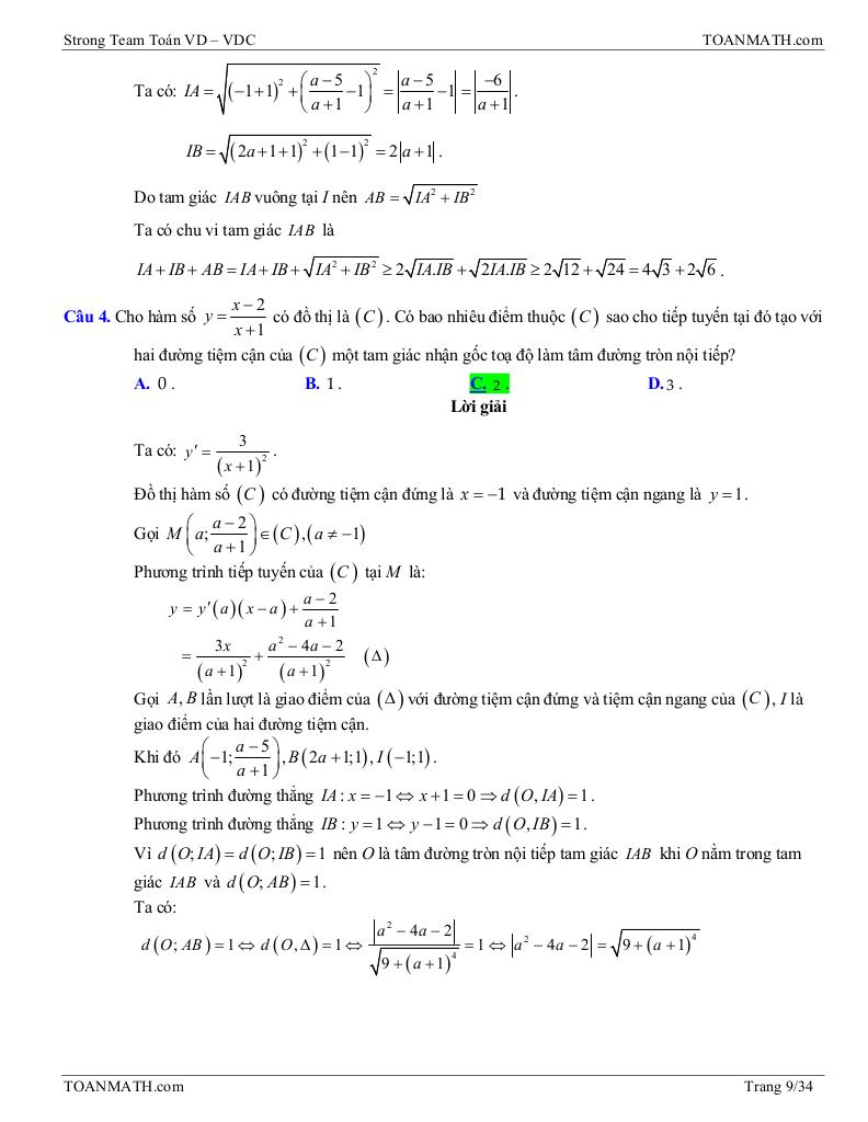
  3. Bài toán về chu vi tam giác tạo bởi tiếp tuyến và đường tiệm cận: Bài toán liên quan đến hàm số 2 1 x y x và yêu cầu tìm chu vi nhỏ nhất của tam giác IAB, trong đó I là một điểm cố định và A, B là giao điểm của tiếp tuyến với hai đường tiệm cận của đồ thị hàm số. Đây là một bài toán khó, đòi hỏi học sinh phải có tư duy hình học tốt và khả năng sử dụng các công cụ giải tích để tìm ra lời giải tối ưu.
  4. Bài toán về tâm đường tròn nội tiếp: Bài toán yêu cầu tìm số điểm trên đồ thị hàm số 2 1 x y x sao cho tiếp tuyến tại đó tạo với hai đường tiệm cận một tam giác nhận gốc tọa độ làm tâm đường tròn nội tiếp. Bài toán này đòi hỏi học sinh phải nắm vững kiến thức về đường tròn nội tiếp tam giác và điều kiện để một điểm thuộc đường tròn.
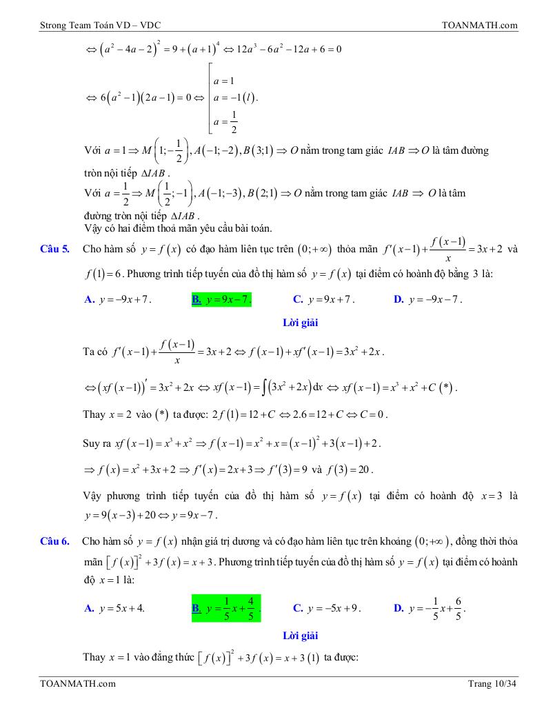
  5. Bài toán về phương trình tiếp tuyến dựa trên đạo hàm và điều kiện ban đầu: Bài toán cho hàm số y f x với đạo hàm liên tục và các điều kiện f 1 1 32 f x f x x x và f 1 6, yêu cầu tìm phương trình tiếp tuyến của đồ thị hàm số tại điểm có hoành độ bằng 3. Đây là một bài toán cơ bản về ứng dụng đạo hàm để tìm phương trình tiếp tuyến.

Đánh giá chung:

Tài liệu bài tập VD – VDC tiếp tuyến của đồ thị hàm số là một nguồn tài liệu học tập chất lượng cao, phù hợp với học sinh có nhu cầu ôn luyện và nâng cao kiến thức về chủ đề này. Các bài tập trong tài liệu được trình bày rõ ràng, có đáp án và lời giải chi tiết, giúp học sinh tự học hiệu quả. Tuy nhiên, để khai thác tối đa lợi ích từ tài liệu, học sinh cần có nền tảng kiến thức vững chắc về đạo hàm, hình học giải tích và các kỹ năng giải toán cơ bản.

Gợi ý sử dụng:

  • Nên giải các bài tập theo thứ tự từ dễ đến khó để củng cố kiến thức và kỹ năng.
  • Sau khi giải xong mỗi bài tập, nên đối chiếu với đáp án và lời giải chi tiết để kiểm tra lại kết quả và hiểu rõ phương pháp giải.
  • Có thể sử dụng tài liệu này kết hợp với các nguồn tài liệu khác để có cái nhìn toàn diện hơn về chủ đề tiếp tuyến.
Chinh phục điểm cao Kỳ thi Tốt nghiệp THPT Quốc gia môn Toán, rộng mở cánh cửa Đại học với nội dung bài tập vd – vdc tiếp tuyến của đồ thị hàm số có đáp án và lời giải trong chuyên mục đề toán lớp 12 trên nền tảng môn toán! Bộ bài tập lý thuyết toán thpt, được biên soạn chuyên sâu, bám sát cấu trúc đề thi và chương trình Toán 12, cam kết tối ưu hóa toàn diện lộ trình ôn luyện. Qua đó, học sinh không chỉ làm chủ mọi dạng bài thi mà còn trang bị chiến thuật làm bài hiệu quả, tự tin đạt kết quả đột phá, tạo nền tảng vững chắc cho Kỳ thi Tốt nghiệp THPT Quốc gia và hành trang vững vàng vào đại học, nhờ phương pháp tiếp cận trực quan, khoa học và mang lại hiệu quả học tập vượt trội.
images-post/bai-tap-vd-vdc-tiep-tuyen-cua-do-thi-ham-so-co-dap-an-va-loi-giai-01.jpgimages-post/bai-tap-vd-vdc-tiep-tuyen-cua-do-thi-ham-so-co-dap-an-va-loi-giai-02.jpgimages-post/bai-tap-vd-vdc-tiep-tuyen-cua-do-thi-ham-so-co-dap-an-va-loi-giai-03.jpgimages-post/bai-tap-vd-vdc-tiep-tuyen-cua-do-thi-ham-so-co-dap-an-va-loi-giai-04.jpgimages-post/bai-tap-vd-vdc-tiep-tuyen-cua-do-thi-ham-so-co-dap-an-va-loi-giai-05.jpgimages-post/bai-tap-vd-vdc-tiep-tuyen-cua-do-thi-ham-so-co-dap-an-va-loi-giai-06.jpgimages-post/bai-tap-vd-vdc-tiep-tuyen-cua-do-thi-ham-so-co-dap-an-va-loi-giai-07.jpgimages-post/bai-tap-vd-vdc-tiep-tuyen-cua-do-thi-ham-so-co-dap-an-va-loi-giai-08.jpgimages-post/bai-tap-vd-vdc-tiep-tuyen-cua-do-thi-ham-so-co-dap-an-va-loi-giai-09.jpgimages-post/bai-tap-vd-vdc-tiep-tuyen-cua-do-thi-ham-so-co-dap-an-va-loi-giai-10.jpg

File bài tập vd – vdc tiếp tuyến của đồ thị hàm số có đáp án và lời giải PDF Chi Tiết

TÌM KIẾM THEO TỪ KHÓA