giaibaitoan.com xin giới thiệu đến quý thầy cô giáo và các em học sinh lớp 9 đề kiểm tra cuối học kỳ 2 môn Toán 9 năm học 2024 – 2025 do Phòng Giáo dục và Đào tạo quận Hà Đông, thành phố Hà Nội biên soạn. Đề thi được cung cấp kèm theo đáp án chi tiết, lời giải bài toán và hướng dẫn chấm điểm, hỗ trợ tối đa cho quá trình ôn tập và tự đánh giá năng lực.
Đề thi này có ý nghĩa quan trọng trong việc giúp học sinh làm quen với cấu trúc đề thi chính thức, rèn luyện kỹ năng giải quyết các bài toán thực tế và củng cố kiến thức đã học trong chương trình Toán 9. Dưới đây là phân tích chi tiết về một số câu hỏi tiêu biểu trong đề thi:
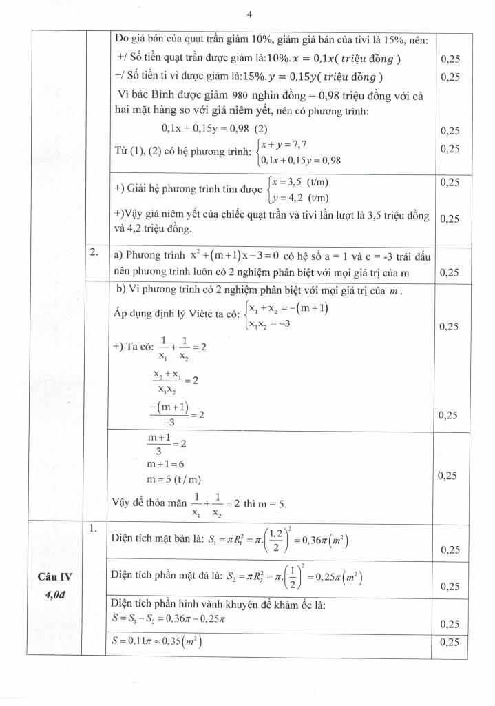
Bài toán này thuộc chủ đề hình học, cụ thể là tính diện tích hình tròn. Đề bài yêu cầu tính diện tích phần hình vành khuyên, đòi hỏi học sinh phải hiểu rõ công thức tính diện tích hình tròn và vận dụng linh hoạt để giải quyết bài toán. Việc làm tròn kết quả đến chữ số thập phân thứ hai giúp học sinh rèn luyện kỹ năng tính toán chính xác và biểu diễn kết quả một cách hợp lý.
Bài toán này kết hợp kiến thức về phần trăm và kỹ năng giải hệ phương trình bậc nhất hai ẩn. Học sinh cần thiết lập được hệ phương trình dựa trên các thông tin đề bài cung cấp, sau đó giải hệ để tìm ra giá niêm yết của mỗi mặt hàng. Bài toán này giúp học sinh rèn luyện tư duy logic và khả năng ứng dụng toán học vào các tình huống thực tế.
Bài toán này thuộc chủ đề thống kê, yêu cầu học sinh tính tổng số người tham gia bình chọn và tần số tương đối. Để giải quyết bài toán, học sinh cần hiểu rõ khái niệm về tổng hợp dữ liệu và cách tính tần số tương đối. Bài toán này giúp học sinh rèn luyện kỹ năng phân tích dữ liệu và đưa ra kết luận hợp lý.
Đánh giá chung:
Đề thi có cấu trúc rõ ràng, bao gồm các câu hỏi thuộc nhiều chủ đề khác nhau trong chương trình Toán 9. Các câu hỏi được thiết kế với độ khó phù hợp, giúp học sinh có thể kiểm tra và đánh giá được kiến thức của mình. Việc cung cấp đáp án chi tiết và lời giải bài toán là một điểm cộng lớn, giúp học sinh tự học và ôn tập hiệu quả hơn. Đề thi này là một tài liệu tham khảo hữu ích cho cả học sinh và giáo viên trong quá trình dạy và học môn Toán 9.
Lưu ý:
Việc giải đề thi này không chỉ giúp học sinh nắm vững kiến thức mà còn rèn luyện kỹ năng làm bài thi, quản lý thời gian và tự đánh giá năng lực của bản thân.





