Logo Header
  1. Môn Toán
  2. đề cương cuối học kì 2 toán 7 năm 2024 – 2025 trường thcs độc lập – thái nguyên

đề cương cuối học kì 2 toán 7 năm 2024 – 2025 trường thcs độc lập – thái nguyên

Bạn đang xem tài liệu đề cương cuối học kì 2 toán 7 năm 2024 – 2025 trường thcs độc lập – thái nguyên được biên soạn theo soạn toán mới nhất. Tài liệu này hệ thống hóa kiến thức một cách khoa học, phù hợp cho mọi lộ trình học từ cơ bản đến nâng cao. Hãy khai thác triệt để nội dung để bứt phá điểm số và tự tin chinh phục mọi kỳ thi nhé!

giaibaitoan.com xin giới thiệu đến quý thầy cô giáo và các em học sinh lớp 7 đề cương ôn tập cuối học kì 2 môn Toán 7 năm học 2024 – 2025 của trường THCS Độc Lập, tỉnh Thái Nguyên. Đề cương này là tài liệu tham khảo hữu ích, giúp học sinh hệ thống lại kiến thức trọng tâm và rèn luyện kỹ năng giải bài tập, chuẩn bị tốt nhất cho kỳ kiểm tra sắp tới.

I. NỘI DUNG LÝ THUYẾT TRỌNG TÂM

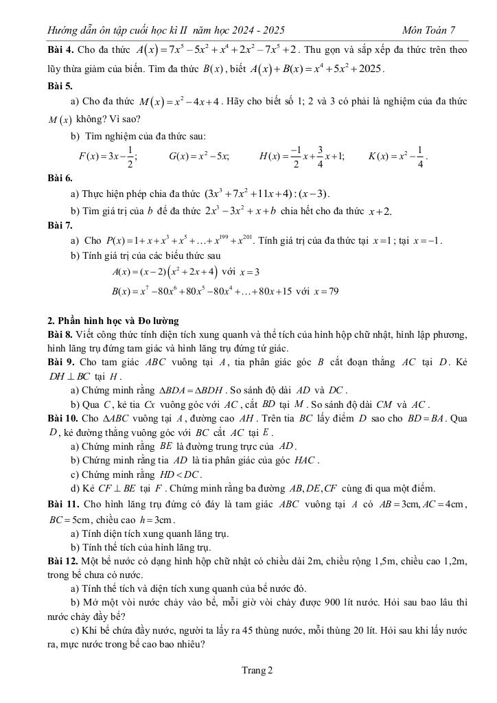
Đề cương ôn tập được chia thành ba phần chính, bao gồm các chủ đề cốt lõi của chương trình Toán 7 học kì 2:

  1. Phần Số và Đại Số:
    • Tỉ lệ thức và dãy tỉ số bằng nhau: Đây là kiến thức nền tảng, học sinh cần nắm vững định nghĩa, tính chất của tỉ lệ thức, cách nhận biết và chứng minh dãy tỉ số bằng nhau. Việc hiểu rõ các tính chất này sẽ giúp giải quyết các bài toán liên quan một cách hiệu quả.
    • Giải toán về đại lượng tỉ lệ: Học sinh cần phân loại các dạng bài toán tỉ lệ thuận, tỉ lệ nghịch, bài toán chia tỉ lệ và vận dụng linh hoạt các công thức, phương pháp giải phù hợp.
    • Biểu thức đại số: Nắm vững khái niệm, cách viết và các quy tắc thực hiện các phép toán trên biểu thức đại số.
    • Đa thức một biến: Hiểu rõ khái niệm đa thức, bậc của đa thức, các phép toán cộng, trừ, nhân, chia đa thức.
  2. Phần Hình Học và Đo Lường:
    • Quan hệ giữa đường vuông góc và đường xiên: Đây là phần kiến thức quan trọng về hình học, học sinh cần nắm vững các định lý, tính chất liên quan đến đường vuông góc, đường xiên, hình chiếu và ứng dụng vào giải bài tập.
    • Các đường đồng quy của tam giác: Học sinh cần hiểu rõ về đường cao, đường trung tuyến, đường phân giác, đường trung trực của tam giác và các tính chất đồng quy của chúng.
    • Giải bài toán có nội dung hình học và vận dụng giải quyết vấn đề thực tiễn: Rèn luyện kỹ năng phân tích đề bài, vẽ hình, sử dụng các kiến thức hình học đã học để giải quyết các bài toán thực tế.
    • Hình hộp chữ nhật, hình lập phương, hình lăng trụ đứng tam giác và hình lăng trụ đứng tứ giác: Nắm vững các khái niệm, tính chất, công thức tính diện tích xung quanh, diện tích toàn phần và thể tích của các hình khối này.
  3. Thống Kê và Xác Suất:
    • Làm quen với biến cố, xác suất của biến cố: Đây là phần kiến thức mở đầu về thống kê và xác suất, học sinh cần hiểu khái niệm biến cố, cách tính xác suất của biến cố đơn giản.

II. BÀI TẬP TỰ LUYỆN

Đề cương cũng cung cấp một số bài tập tự luyện để học sinh có thể rèn luyện và củng cố kiến thức đã học. Việc giải các bài tập này sẽ giúp học sinh nắm vững hơn các khái niệm, định lý và kỹ năng giải bài tập.

Nhận xét chung: Đề cương ôn tập này bao quát các kiến thức trọng tâm của chương trình Toán 7 học kì 2. Việc nắm vững nội dung lý thuyết và luyện tập thường xuyên các bài tập sẽ giúp học sinh đạt kết quả tốt trong kỳ kiểm tra sắp tới. giaibaitoan.com hy vọng đề cương này sẽ là tài liệu hữu ích cho quý thầy cô và các em học sinh.

Khám phá ngay nội dung đề cương cuối học kì 2 toán 7 năm 2024 – 2025 trường thcs độc lập – thái nguyên trong chuyên mục giải bài tập toán lớp 7 trên nền tảng soạn toán để làm chủ kiến thức Toán lớp 7! Được biên soạn chuyên sâu và bám sát chặt chẽ chương trình sách giáo khoa hiện hành, bộ bài tập toán trung học cơ sở cam kết tối ưu hóa toàn diện quá trình ôn luyện, giúp học sinh không chỉ củng cố vững chắc kiến thức mà còn phát triển tư duy logic, thông qua phương pháp tiếp cận trực quan, sinh động và mang lại hiệu quả học tập vượt trội.
images-post/de-cuong-cuoi-hoc-ki-2-toan-7-nam-2024-2025-truong-thcs-doc-lap-thai-nguyen-1.jpgimages-post/de-cuong-cuoi-hoc-ki-2-toan-7-nam-2024-2025-truong-thcs-doc-lap-thai-nguyen-2.jpgimages-post/de-cuong-cuoi-hoc-ki-2-toan-7-nam-2024-2025-truong-thcs-doc-lap-thai-nguyen-3.jpgimages-post/de-cuong-cuoi-hoc-ki-2-toan-7-nam-2024-2025-truong-thcs-doc-lap-thai-nguyen-4.jpg

File đề cương cuối học kì 2 toán 7 năm 2024 – 2025 trường thcs độc lập – thái nguyên PDF Chi Tiết

TÌM KIẾM THEO TỪ KHÓA