Logo Header
  1. Môn Toán
  2. đề cương cuối kì 2 toán 7 năm 2024 – 2025 trường thcs thọ lộc – hà nội

đề cương cuối kì 2 toán 7 năm 2024 – 2025 trường thcs thọ lộc – hà nội

Bạn đang xem tài liệu đề cương cuối kì 2 toán 7 năm 2024 – 2025 trường thcs thọ lộc – hà nội được biên soạn theo toán math mới nhất. Tài liệu này hệ thống hóa kiến thức một cách khoa học, phù hợp cho mọi lộ trình học từ cơ bản đến nâng cao. Hãy khai thác triệt để nội dung để bứt phá điểm số và tự tin chinh phục mọi kỳ thi nhé!

giaibaitoan.com xin giới thiệu đến quý thầy cô giáo và các em học sinh lớp 7 đề cương ôn tập cuối học kì 2 môn Toán 7 năm học 2024 – 2025 của trường THCS Thọ Lộc, huyện Phúc Thọ, thành phố Hà Nội. Đề cương này bao gồm hai phần chính: Đại số và Hình học, tập trung vào các kiến thức trọng tâm của chương trình học kì.

Đánh giá chung: Đề cương ôn tập được xây dựng khá toàn diện, bao phủ các chủ đề quan trọng trong chương trình Toán 7 học kì 2. Nội dung bám sát kiến thức cơ bản, đồng thời có sự phân bổ hợp lý giữa Đại số và Hình học. Đây là một tài liệu hữu ích cho học sinh trong quá trình ôn luyện, củng cố kiến thức để chuẩn bị cho kỳ kiểm tra cuối học kì.

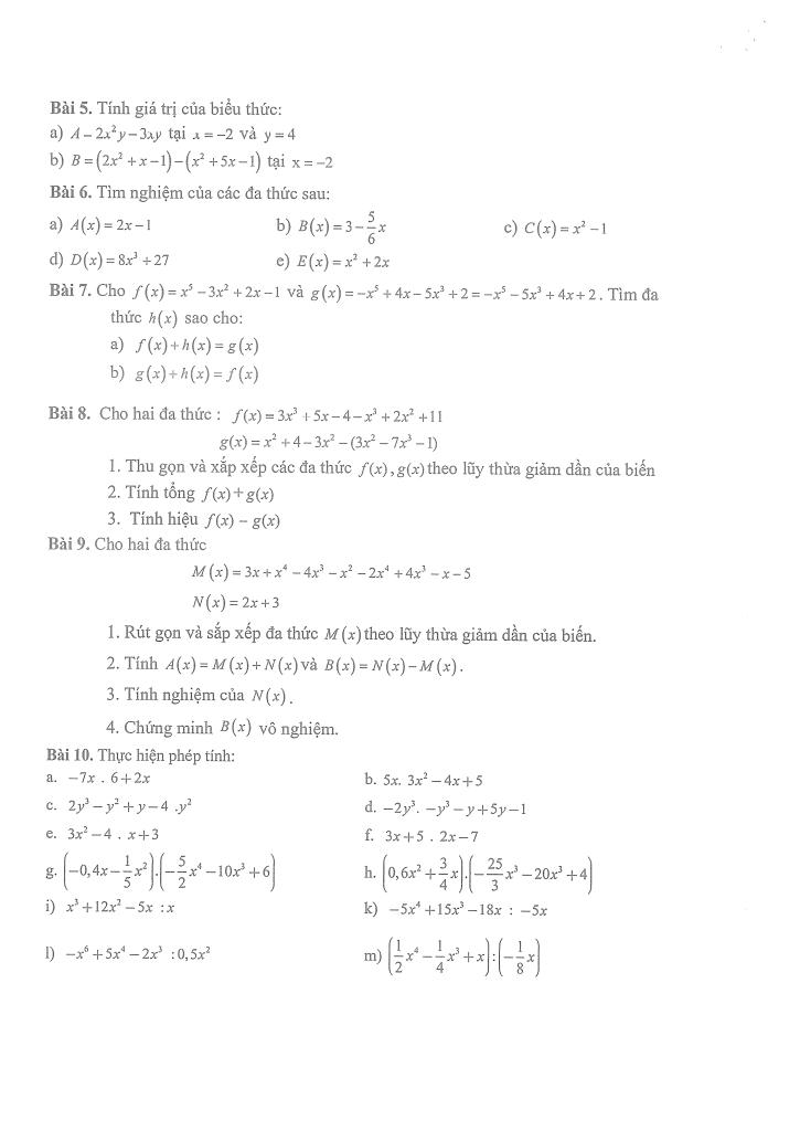
A. ĐẠI SỐ

  1. Thu thập, phân loại và biểu diễn dữ liệu: Chủ đề này nhấn mạnh vào kỹ năng xử lý thông tin ban đầu, một kỹ năng quan trọng trong toán học ứng dụng và thống kê. Việc nắm vững các phương pháp thu thập, phân loại và biểu diễn dữ liệu sẽ giúp học sinh có cái nhìn tổng quan và trực quan về các hiện tượng thực tế.
  2. Phân tích và xử lí dữ liệu: Tiếp nối chủ đề trước, phần này tập trung vào việc khai thác thông tin từ dữ liệu đã thu thập, tính toán các đại lượng thống kê cơ bản như trung bình cộng, trung vị, mốt.
  3. Biểu đồ đoạn thẳng: Học sinh cần nắm vững cách xây dựng và đọc hiểu biểu đồ đoạn thẳng, một công cụ trực quan để so sánh và phân tích dữ liệu.
  4. Biểu đồ hình quạt tròn: Tương tự như biểu đồ đoạn thẳng, biểu đồ hình quạt tròn giúp thể hiện tỷ lệ phần trăm của các thành phần trong một tổng thể.
  5. Biến cố, xác suất của biến cố trong một số trò chơi đơn giản: Đây là phần mở đầu cho môn xác suất thống kê, giúp học sinh làm quen với khái niệm biến cố và cách tính xác suất của biến cố trong các tình huống đơn giản.
  6. Biểu thức đại số: Chủ đề này giới thiệu các khái niệm cơ bản về biểu thức đại số, bao gồm biểu thức số, biểu thức đại số và cách tính giá trị của biểu thức đại số. Đây là nền tảng quan trọng cho việc học các khái niệm phức tạp hơn trong chương trình Đại số.
  7. Đa thức một biến: Đây là một trong những nội dung trọng tâm của chương trình Đại số lớp 7. Học sinh cần nắm vững các khái niệm về đơn thức, đa thức, các phép toán cộng, trừ, nhân, chia đa thức, cách sắp xếp đa thức và tìm nghiệm của đa thức.
  8. Phép cộng, phép trừ, nhân, chia đa thức một biến: Việc thành thạo các phép toán này là điều kiện cần thiết để giải các bài toán liên quan đến đa thức.

B. HÌNH HỌC

  1. Tổng các góc trong một tam giác: Đây là một định lý cơ bản trong Hình học, được sử dụng để giải nhiều bài toán liên quan đến tam giác.
  2. Quan hệ giữa góc và cạnh đối diện trong tam giác. Bất đẳng thức tam giác: Chủ đề này giúp học sinh hiểu rõ hơn về mối liên hệ giữa các yếu tố trong tam giác và ứng dụng bất đẳng thức tam giác để kiểm tra tính hợp lệ của một tam giác.
  3. Các trường hợp bằng nhau của tam giác: Nắm vững các trường hợp bằng nhau của tam giác là điều kiện cần thiết để chứng minh hai tam giác bằng nhau.
  4. Trường hợp bằng nhau của tam giác vuông: Đây là một trường hợp đặc biệt của các trường hợp bằng nhau của tam giác, áp dụng cho tam giác vuông.
  5. Tam giác cân, tam giác đều, tam giác vuông cân: Học sinh cần nắm vững các tính chất đặc biệt của các loại tam giác này.
  6. Đường vuông góc và đường xiên: Chủ đề này giới thiệu về đường vuông góc và đường xiên, các khái niệm quan trọng trong việc giải các bài toán về khoảng cách.
  7. Đường trung trực của đoạn thẳng: Học sinh cần nắm vững tính chất của đường trung trực và ứng dụng vào giải các bài toán thực tế.
  8. Tính chất ba đường trung tuyến trong tam giác: Đây là một tính chất quan trọng của tam giác, giúp học sinh giải các bài toán liên quan đến trọng tâm của tam giác.
  9. Hình hộp chữ nhật, hình lập phương, hình lăng trụ đứng tam giác, hình lăng trụ đứng tứ giác: Chủ đề này giới thiệu về các hình khối cơ bản trong không gian, giúp học sinh làm quen với các khái niệm về diện tích bề mặt và thể tích.

Nhận xét: Phần Hình học tập trung vào các kiến thức về tam giác và các hình khối cơ bản. Việc nắm vững các định lý, tính chất và ứng dụng của chúng là rất quan trọng để giải các bài toán Hình học. Đề cương này cung cấp một lộ trình học tập rõ ràng, giúp học sinh ôn tập và củng cố kiến thức một cách hiệu quả.

Khám phá ngay nội dung đề cương cuối kì 2 toán 7 năm 2024 – 2025 trường thcs thọ lộc – hà nội trong chuyên mục giải bài tập toán 7 trên nền tảng toán math để làm chủ kiến thức Toán lớp 7! Được biên soạn chuyên sâu và bám sát chặt chẽ chương trình sách giáo khoa hiện hành, bộ bài tập toán trung học cơ sở cam kết tối ưu hóa toàn diện quá trình ôn luyện, giúp học sinh không chỉ củng cố vững chắc kiến thức mà còn phát triển tư duy logic, thông qua phương pháp tiếp cận trực quan, sinh động và mang lại hiệu quả học tập vượt trội.
images-post/de-cuong-cuoi-ki-2-toan-7-nam-2024-2025-truong-thcs-tho-loc-ha-noi-01.jpgimages-post/de-cuong-cuoi-ki-2-toan-7-nam-2024-2025-truong-thcs-tho-loc-ha-noi-02.jpgimages-post/de-cuong-cuoi-ki-2-toan-7-nam-2024-2025-truong-thcs-tho-loc-ha-noi-03.jpgimages-post/de-cuong-cuoi-ki-2-toan-7-nam-2024-2025-truong-thcs-tho-loc-ha-noi-04.jpgimages-post/de-cuong-cuoi-ki-2-toan-7-nam-2024-2025-truong-thcs-tho-loc-ha-noi-05.jpgimages-post/de-cuong-cuoi-ki-2-toan-7-nam-2024-2025-truong-thcs-tho-loc-ha-noi-06.jpgimages-post/de-cuong-cuoi-ki-2-toan-7-nam-2024-2025-truong-thcs-tho-loc-ha-noi-07.jpgimages-post/de-cuong-cuoi-ki-2-toan-7-nam-2024-2025-truong-thcs-tho-loc-ha-noi-08.jpgimages-post/de-cuong-cuoi-ki-2-toan-7-nam-2024-2025-truong-thcs-tho-loc-ha-noi-09.jpgimages-post/de-cuong-cuoi-ki-2-toan-7-nam-2024-2025-truong-thcs-tho-loc-ha-noi-10.jpg

File đề cương cuối kì 2 toán 7 năm 2024 – 2025 trường thcs thọ lộc – hà nội PDF Chi Tiết

TÌM KIẾM THEO TỪ KHÓA