Logo Header
  1. Môn Toán
  2. đề cương cuối kì 2 toán 8 năm 2024 – 2025 trường thcs phú thị – hà nội

đề cương cuối kì 2 toán 8 năm 2024 – 2025 trường thcs phú thị – hà nội

Bạn đang xem tài liệu đề cương cuối kì 2 toán 8 năm 2024 – 2025 trường thcs phú thị – hà nội được biên soạn theo tài liệu toán mới nhất. Tài liệu này hệ thống hóa kiến thức một cách khoa học, phù hợp cho mọi lộ trình học từ cơ bản đến nâng cao. Hãy khai thác triệt để nội dung để bứt phá điểm số và tự tin chinh phục mọi kỳ thi nhé!

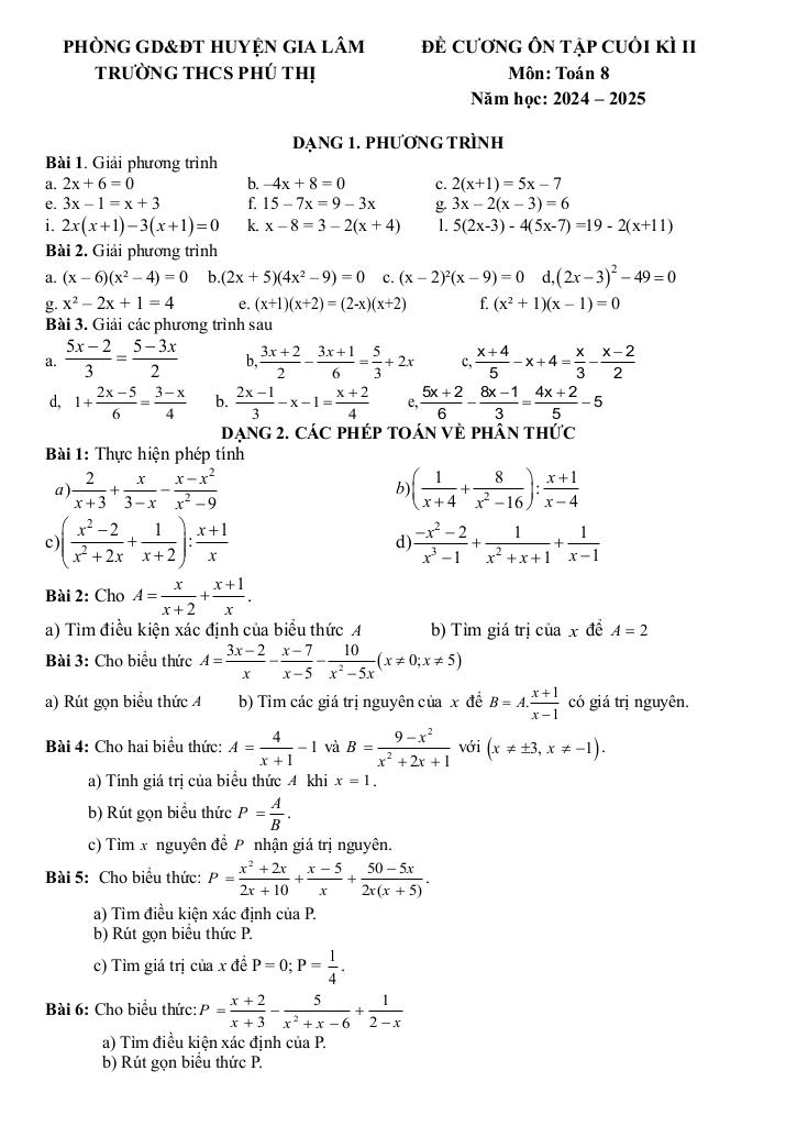
giaibaitoan.com xin giới thiệu đến quý thầy cô giáo và các em học sinh lớp 8 đề cương ôn tập kiểm tra cuối học kì 2 môn Toán 8 năm học 2024 – 2025 của trường THCS Phú Thị, huyện Gia Lâm, thành phố Hà Nội. Đề cương này là một tài liệu tham khảo hữu ích, giúp học sinh hệ thống lại kiến thức và rèn luyện kỹ năng giải đề trước kỳ kiểm tra quan trọng.

Đề cương ôn tập được xây dựng dựa trên cấu trúc chương trình Toán 8, bao gồm 8 dạng bài tập chính, tập trung vào các chủ đề trọng tâm của học kì 2:

  1. Dạng 1: Phương trình – Dạng bài này kiểm tra khả năng giải các phương trình bậc nhất một ẩn, phương trình tích, và ứng dụng phương trình vào giải quyết các bài toán đơn giản.
  2. Dạng 2: Các phép toán về phân thức – Đề cương tập trung vào các phép cộng, trừ, nhân, chia phân thức, rút gọn phân thức và quy đồng mẫu số. Đây là nền tảng quan trọng để học sinh tiếp cận các kiến thức nâng cao hơn.
  3. Dạng 3: Hàm số và đồ thị – Dạng bài này yêu cầu học sinh nắm vững khái niệm hàm số, cách xác định hàm số, vẽ đồ thị hàm số bậc nhất và đọc các thông tin từ đồ thị.
  4. Dạng 4: Giải bài toán bằng cách lập phương trình – Đây là dạng toán vận dụng cao, đòi hỏi học sinh phải phân tích đề bài, đặt ẩn, lập phương trình và giải phương trình để tìm ra nghiệm.
  5. Dạng 5: Thống kê – biểu đồ – Dạng bài này kiểm tra khả năng thu thập, phân tích và biểu diễn dữ liệu bằng các loại biểu đồ khác nhau (biểu đồ cột, biểu đồ tròn, biểu đồ đường).
  6. Dạng 6: Xác suất của biến cố – Dạng bài này giúp học sinh làm quen với khái niệm xác suất, cách tính xác suất của một biến cố đơn giản.
  7. Dạng 7: Hình học phẳng – Dạng bài này bao gồm các kiến thức về tứ giác, hình thang cân, hình bình hành, và các tính chất liên quan đến góc, đường trung bình, diện tích.
  8. Dạng 8: Bài toán thực tế – Dạng bài này yêu cầu học sinh vận dụng kiến thức đã học để giải quyết các bài toán liên quan đến cuộc sống hàng ngày, giúp học sinh thấy được tính ứng dụng của Toán học.

Đánh giá và nhận xét:

Đề cương ôn tập này có cấu trúc rõ ràng, bao phủ đầy đủ các kiến thức trọng tâm của chương trình Toán 8 học kì 2. Việc phân loại theo dạng bài tập giúp học sinh dễ dàng xác định được những kiến thức cần ôn luyện và tập trung vào. Các dạng bài tập cũng được sắp xếp theo mức độ khó tăng dần, phù hợp với trình độ của học sinh lớp 8. Đặc biệt, việc đưa vào dạng bài "Bài toán thực tế" là một điểm cộng, giúp học sinh phát triển tư duy logic và khả năng vận dụng kiến thức vào thực tiễn.

Lưu ý: Đề cương này chỉ là tài liệu tham khảo. Để đạt kết quả tốt nhất trong kỳ kiểm tra, học sinh cần nắm vững kiến thức trong sách giáo khoa, làm đầy đủ các bài tập và tìm hiểu thêm các tài liệu ôn tập khác.

Khám phá ngay nội dung đề cương cuối kì 2 toán 8 năm 2024 – 2025 trường thcs phú thị – hà nội trong chuyên mục vở bài tập toán 8 trên nền tảng tài liệu toán và tự tin chinh phục Toán lớp 8! Được biên soạn chuyên sâu và bám sát chặt chẽ chương trình sách giáo khoa hiện hành, bộ bài tập toán trung học cơ sở cam kết tối ưu hóa toàn diện quá trình ôn luyện, giúp học sinh không chỉ củng cố vững chắc kiến thức nền tảng mà còn giải quyết thành thạo các dạng bài tập phức tạp, thông qua phương pháp tiếp cận trực quan, logic và mang lại hiệu quả học tập vượt trội.
images-post/de-cuong-cuoi-ki-2-toan-8-nam-2024-2025-truong-thcs-phu-thi-ha-noi-1.jpgimages-post/de-cuong-cuoi-ki-2-toan-8-nam-2024-2025-truong-thcs-phu-thi-ha-noi-2.jpgimages-post/de-cuong-cuoi-ki-2-toan-8-nam-2024-2025-truong-thcs-phu-thi-ha-noi-3.jpgimages-post/de-cuong-cuoi-ki-2-toan-8-nam-2024-2025-truong-thcs-phu-thi-ha-noi-4.jpgimages-post/de-cuong-cuoi-ki-2-toan-8-nam-2024-2025-truong-thcs-phu-thi-ha-noi-5.jpgimages-post/de-cuong-cuoi-ki-2-toan-8-nam-2024-2025-truong-thcs-phu-thi-ha-noi-6.jpgimages-post/de-cuong-cuoi-ki-2-toan-8-nam-2024-2025-truong-thcs-phu-thi-ha-noi-7.jpgimages-post/de-cuong-cuoi-ki-2-toan-8-nam-2024-2025-truong-thcs-phu-thi-ha-noi-8.jpg

File đề cương cuối kì 2 toán 8 năm 2024 – 2025 trường thcs phú thị – hà nội PDF Chi Tiết

TÌM KIẾM THEO TỪ KHÓA