Logo Header
  1. Môn Toán
  2. đề cương cuối kỳ 2 toán 8 năm 2024 – 2025 trường thcs mạo khê 2 – quảng ninh

đề cương cuối kỳ 2 toán 8 năm 2024 – 2025 trường thcs mạo khê 2 – quảng ninh

Bạn đang xem tài liệu đề cương cuối kỳ 2 toán 8 năm 2024 – 2025 trường thcs mạo khê 2 – quảng ninh được biên soạn theo tài liệu toán mới nhất. Tài liệu này hệ thống hóa kiến thức một cách khoa học, phù hợp cho mọi lộ trình học từ cơ bản đến nâng cao. Hãy khai thác triệt để nội dung để bứt phá điểm số và tự tin chinh phục mọi kỳ thi nhé!

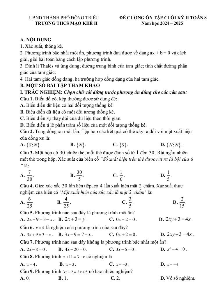
giaibaitoan.com xin giới thiệu đến quý thầy cô giáo và các em học sinh lớp 8 đề cương ôn tập học kỳ 2 môn Toán 8 năm học 2024 – 2025 của trường THCS Mạo Khê 2, thành phố Đông Triều, tỉnh Quảng Ninh. Đề cương này là tài liệu tham khảo hữu ích, giúp học sinh hệ thống lại kiến thức trọng tâm và rèn luyện kỹ năng giải toán, chuẩn bị tốt nhất cho kỳ kiểm tra sắp tới.

A. NỘI DUNG ĐỀ CƯƠNG

  1. Xác suất và Thống kê: Phần này tập trung vào việc củng cố các khái niệm cơ bản về xác suất của biến cố, cách tính xác suất đơn giản, và ứng dụng thống kê để thu thập, phân tích dữ liệu. Đây là một chủ đề quan trọng, giúp học sinh làm quen với tư duy logic và khả năng phân tích số liệu.
  2. Phương trình bậc nhất một ẩn: Đề cương nhấn mạnh vào việc nắm vững định nghĩa, các phép biến đổi tương đương phương trình, và kỹ năng giải phương trình bậc nhất một ẩn. Đặc biệt, đề cương còn bao gồm các phương trình có thể đưa về dạng ax + b = 0, đòi hỏi học sinh phải có khả năng nhận diện và áp dụng linh hoạt các phép biến đổi. Bên cạnh đó, việc giải bài toán bằng cách lập phương trình là một phần không thể thiếu, giúp học sinh rèn luyện kỹ năng mô hình hóa toán học và giải quyết vấn đề thực tế.
  3. Định lý Thalès và ứng dụng; Đường trung bình của tam giác; Tính chất đường phân giác của tam giác: Phần này tập trung vào kiến thức hình học quan trọng, bao gồm định lý Thalès và các hệ quả của nó, tính chất đường trung bình của tam giác, và tính chất đường phân giác của tam giác. Việc nắm vững các định lý và tính chất này là nền tảng để giải các bài toán liên quan đến tam giác đồng dạng và các ứng dụng thực tế.
  4. Hai tam giác đồng dạng và các trường hợp đồng dạng: Đây là phần kiến thức trọng tâm của chương trình hình học lớp 8. Đề cương yêu cầu học sinh nắm vững định nghĩa hai tam giác đồng dạng, các trường hợp đồng dạng (c-g-c, g-g, c-c), và ứng dụng của tam giác đồng dạng để giải các bài toán tính độ dài đoạn thẳng, góc.

B. TÀI LIỆU THAM KHẢO

Để hỗ trợ quý thầy cô trong công tác giảng dạy và học sinh trong quá trình ôn tập, giaibaitoan.com cung cấp file WORD của đề cương này. Quý thầy cô có thể TẢI XUỐNG tại đây:

(File WORD dành cho quý thầy, cô)

Nhận xét chung: Đề cương ôn tập này bao phủ đầy đủ các nội dung kiến thức trọng tâm của chương trình Toán 8 học kỳ 2. Cấu trúc đề cương rõ ràng, mạch lạc, giúp học sinh dễ dàng theo dõi và hệ thống lại kiến thức. Việc cung cấp file WORD cho giáo viên là một điểm cộng, tạo điều kiện thuận lợi cho việc sử dụng và chỉnh sửa đề cương.

Khám phá ngay nội dung đề cương cuối kỳ 2 toán 8 năm 2024 – 2025 trường thcs mạo khê 2 – quảng ninh trong chuyên mục giải sgk toán 8 trên nền tảng tài liệu toán và tự tin chinh phục Toán lớp 8! Được biên soạn chuyên sâu và bám sát chặt chẽ chương trình sách giáo khoa hiện hành, bộ bài tập lý thuyết toán thcs cam kết tối ưu hóa toàn diện quá trình ôn luyện, giúp học sinh không chỉ củng cố vững chắc kiến thức nền tảng mà còn giải quyết thành thạo các dạng bài tập phức tạp, thông qua phương pháp tiếp cận trực quan, logic và mang lại hiệu quả học tập vượt trội.
images-post/de-cuong-cuoi-ky-2-toan-8-nam-2024-2025-truong-thcs-mao-khe-2-quang-ninh-1.jpgimages-post/de-cuong-cuoi-ky-2-toan-8-nam-2024-2025-truong-thcs-mao-khe-2-quang-ninh-2.jpgimages-post/de-cuong-cuoi-ky-2-toan-8-nam-2024-2025-truong-thcs-mao-khe-2-quang-ninh-3.jpgimages-post/de-cuong-cuoi-ky-2-toan-8-nam-2024-2025-truong-thcs-mao-khe-2-quang-ninh-4.jpgimages-post/de-cuong-cuoi-ky-2-toan-8-nam-2024-2025-truong-thcs-mao-khe-2-quang-ninh-5.jpgimages-post/de-cuong-cuoi-ky-2-toan-8-nam-2024-2025-truong-thcs-mao-khe-2-quang-ninh-6.jpg

File đề cương cuối kỳ 2 toán 8 năm 2024 – 2025 trường thcs mạo khê 2 – quảng ninh PDF Chi Tiết

TÌM KIẾM THEO TỪ KHÓA