Logo Header
  1. Môn Toán
  2. đề cương giữa học kỳ 2 toán 11 năm 2024 – 2025 trường thpt hoàng văn thụ – hà nội

đề cương giữa học kỳ 2 toán 11 năm 2024 – 2025 trường thpt hoàng văn thụ – hà nội

Bạn đang xem tài liệu đề cương giữa học kỳ 2 toán 11 năm 2024 – 2025 trường thpt hoàng văn thụ – hà nội được biên soạn theo tài liệu toán mới nhất. Tài liệu này hệ thống hóa kiến thức một cách khoa học, phù hợp cho mọi lộ trình học từ cơ bản đến nâng cao. Hãy khai thác triệt để nội dung để bứt phá điểm số và tự tin chinh phục mọi kỳ thi nhé!

giaibaitoan.com xin giới thiệu đến quý thầy cô giáo và các em học sinh lớp 11 đề cương ôn tập giữa học kỳ 2 môn Toán 11 năm học 2024 – 2025 của trường THPT Hoàng Văn Thụ, quận Hoàng Mai, thành phố Hà Nội. Đề cương này là tài liệu tham khảo hữu ích, giúp học sinh hệ thống kiến thức và rèn luyện kỹ năng cần thiết để đạt kết quả tốt trong kỳ kiểm tra sắp tới.

1. MỤC TIÊU

Đề cương ôn tập này tập trung vào việc củng cố và nâng cao kiến thức, kỹ năng của học sinh trong các chủ đề trọng tâm sau:

1.1. Kiến thức

  • Lũy thừa với số mũ thực: nắm vững định nghĩa, tính chất và các phép biến đổi lũy thừa.
  • Lôgarit: hiểu rõ định nghĩa, tính chất, các quy tắc biến đổi logarit và mối liên hệ giữa lũy thừa và logarit.
  • Hàm số mũ và hàm số lôgarit: nắm vững định nghĩa, tập xác định, tập giá trị, tính đơn điệu, đồ thị và các tính chất cơ bản của hàm số mũ và hàm số lôgarit.
  • Phương trình, bất phương trình mũ và lôgarit: thành thạo các phương pháp giải phương trình, bất phương trình mũ và lôgarit cơ bản.
  • Biến cố giao, biến cố hợp, biến cố độc lập: hiểu rõ khái niệm, tính chất và công thức tính xác suất của các biến cố này.
  • Hai đường thẳng vuông góc: nắm vững điều kiện để hai đường thẳng vuông góc trong không gian.
  • Đường thẳng vuông góc với mặt phẳng: hiểu rõ điều kiện để đường thẳng vuông góc với mặt phẳng và các tính chất liên quan.

1.2. Kĩ năng

  1. Kỹ năng giải nhanh câu hỏi trắc nghiệm và trình bày bài tự luận: rèn luyện khả năng phân tích đề bài, lựa chọn phương pháp giải phù hợp và trình bày lời giải một cách logic, rõ ràng.
  2. Kỹ năng rút gọn các biểu thức chứa lũy thừa, logarit,…: vận dụng thành thạo các tính chất và công thức liên quan để đơn giản hóa biểu thức.
  3. Kỹ năng tính toán giá trị của các biểu thức chứa lũy thừa, logarit,…: sử dụng máy tính cầm tay một cách hiệu quả để tính toán chính xác.
  4. Kỹ năng vẽ đồ thị hàm số mũ, logarit cơ bản; đọc được các đặc điểm khi biết đồ thị hàm số mũ-logarit: rèn luyện khả năng hình dung và phân tích đồ thị hàm số.
  5. Kỹ năng giải phương trình, bất phương trình mũ, logarit: áp dụng các phương pháp giải phù hợp để tìm nghiệm của phương trình, bất phương trình.
  6. Rèn năng lực mô hình hóa Toán học và giải quyết vấn đề Toán học thông qua những bài toán thực tế: vận dụng kiến thức đã học để giải quyết các bài toán liên quan đến lãi suất tiết kiệm, cho vay trả góp, tăng dân số,…
  7. Nhận biết biến cố hợp, biến cố giao và biến cố độc lập: phân biệt và xác định đúng loại biến cố trong các tình huống cụ thể.
  8. Chứng minh hai đường thẳng vuông góc, đường thẳng vuông góc với mặt phẳng: vận dụng các định lý, tính chất liên quan để chứng minh.
  9. Tính số đo góc giữa hai đường thẳng trong không gian: sử dụng các công thức tính góc giữa hai đường thẳng.
  10. Vận dụng kiến thức về quan hệ vuông góc giữa hai đường thẳng để mô tả một số hình ảnh thực tế: liên hệ kiến thức toán học với thực tiễn cuộc sống.

2. NỘI DUNG

Đề cương ôn tập được xây dựng dựa trên:

2.1. Bảng năng lực và cấp độ tư duy: Giúp giáo viên và học sinh đánh giá được mức độ nắm vững kiến thức và kỹ năng của học sinh, từ đó có kế hoạch ôn tập phù hợp.

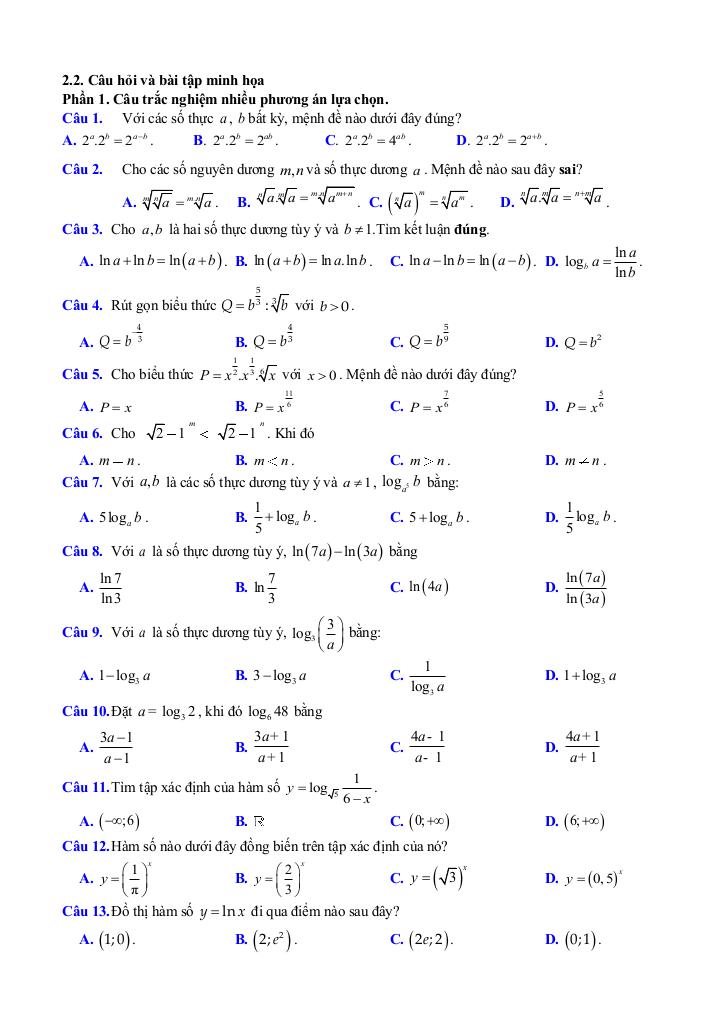
2.2. Câu hỏi và bài tập minh họa: Cung cấp một hệ thống bài tập đa dạng, phong phú, từ cơ bản đến nâng cao, giúp học sinh rèn luyện và củng cố kiến thức đã học.

Nhận xét chung: Đề cương ôn tập giữa học kỳ 2 môn Toán 11 trường THPT Hoàng Văn Thụ có cấu trúc rõ ràng, mục tiêu cụ thể, nội dung bám sát chương trình học. Việc phân chia theo kiến thức và kỹ năng giúp học sinh dễ dàng theo dõi và tự đánh giá quá trình ôn tập của mình. Đề cương cũng chú trọng đến việc vận dụng kiến thức vào giải quyết các bài toán thực tế, góp phần phát triển năng lực tư duy và kỹ năng giải quyết vấn đề cho học sinh.

Chinh phục đỉnh cao Toán 11 và đặt nền móng vững chắc cho cánh cửa Đại học với nội dung đề cương giữa học kỳ 2 toán 11 năm 2024 – 2025 trường thpt hoàng văn thụ – hà nội trong chuyên mục Ôn tập Toán lớp 11 trên nền tảng tài liệu toán! Bộ bài tập toán trung học phổ thông, được biên soạn chuyên sâu, bám sát chặt chẽ chương trình Toán lớp 11 và định hướng các kỳ thi quan trọng, cam kết tối ưu hóa toàn diện quá trình ôn luyện. Qua đó, học sinh không chỉ làm chủ kiến thức phức tạp mà còn rèn luyện tư duy giải quyết vấn đề, sẵn sàng cho các kỳ thi và chương trình đại học, nhờ phương pháp tiếp cận trực quan, logic và mang lại hiệu quả học tập vượt trội.
images-post/de-cuong-giua-hoc-ky-2-toan-11-nam-2024-2025-truong-thpt-hoang-van-thu-ha-noi-1.jpgimages-post/de-cuong-giua-hoc-ky-2-toan-11-nam-2024-2025-truong-thpt-hoang-van-thu-ha-noi-2.jpgimages-post/de-cuong-giua-hoc-ky-2-toan-11-nam-2024-2025-truong-thpt-hoang-van-thu-ha-noi-3.jpgimages-post/de-cuong-giua-hoc-ky-2-toan-11-nam-2024-2025-truong-thpt-hoang-van-thu-ha-noi-4.jpgimages-post/de-cuong-giua-hoc-ky-2-toan-11-nam-2024-2025-truong-thpt-hoang-van-thu-ha-noi-5.jpgimages-post/de-cuong-giua-hoc-ky-2-toan-11-nam-2024-2025-truong-thpt-hoang-van-thu-ha-noi-6.jpgimages-post/de-cuong-giua-hoc-ky-2-toan-11-nam-2024-2025-truong-thpt-hoang-van-thu-ha-noi-7.jpgimages-post/de-cuong-giua-hoc-ky-2-toan-11-nam-2024-2025-truong-thpt-hoang-van-thu-ha-noi-8.jpgimages-post/de-cuong-giua-hoc-ky-2-toan-11-nam-2024-2025-truong-thpt-hoang-van-thu-ha-noi-9.jpg

File đề cương giữa học kỳ 2 toán 11 năm 2024 – 2025 trường thpt hoàng văn thụ – hà nội PDF Chi Tiết

TÌM KIẾM THEO TỪ KHÓA