Logo Header
  1. Môn Toán
  2. đề cương toán 11 học kì 2 năm 2024 – 2025 trường thpt chuyên bảo lộc – lâm đồng

đề cương toán 11 học kì 2 năm 2024 – 2025 trường thpt chuyên bảo lộc – lâm đồng

Bạn đang xem tài liệu đề cương toán 11 học kì 2 năm 2024 – 2025 trường thpt chuyên bảo lộc – lâm đồng được biên soạn theo toán math mới nhất. Tài liệu này hệ thống hóa kiến thức một cách khoa học, phù hợp cho mọi lộ trình học từ cơ bản đến nâng cao. Hãy khai thác triệt để nội dung để bứt phá điểm số và tự tin chinh phục mọi kỳ thi nhé!

giaibaitoan.com xin giới thiệu đến quý thầy cô giáo và các em học sinh lớp 11 đề cương ôn tập môn Toán cuối học kỳ 2 năm học 2024 – 2025 của trường THPT chuyên Bảo Lộc, tỉnh Lâm Đồng. Đề cương này là một tài liệu tham khảo hữu ích, giúp học sinh hệ thống kiến thức và rèn luyện kỹ năng giải đề, chuẩn bị tốt nhất cho kỳ thi sắp tới.

Đánh giá chung về đề cương:

Đề cương ôn tập Toán 11 của trường THPT chuyên Bảo Lộc bao phủ các chủ đề trọng tâm của học kỳ 2, thể hiện sự cân đối giữa kiến thức lý thuyết và kỹ năng vận dụng. Nội dung đề cương tập trung vào các mảng kiến thức quan trọng, thường xuyên xuất hiện trong các đề thi, đồng thời có độ khó phù hợp với học sinh chuyên Toán.

Nội dung chi tiết đề cương:

A. Phần Lý thuyết:

Phần lý thuyết trong đề cương yêu cầu học sinh nắm vững kiến thức nền tảng, bao gồm:

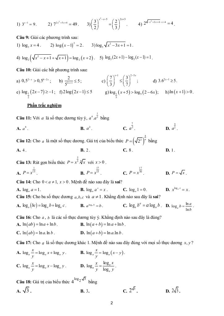
  • Hàm số mũ và hàm số lôgarit: Đây là một trong những chủ đề quan trọng của chương trình Toán 11. Học sinh cần hiểu rõ định nghĩa, tính chất, đồ thị của hàm số mũ và hàm số lôgarit, cũng như các phương pháp giải phương trình, bất phương trình mũ và lôgarit.
  • Xác suất: Đề cương tập trung vào các kiến thức cơ bản về xác suất như biến cố hợp, biến cố giao, quy tắc nhân và quy tắc cộng xác suất. Việc nắm vững các quy tắc này là cần thiết để giải các bài toán xác suất một cách chính xác.
  • Đạo hàm: Học sinh cần nắm vững định nghĩa đạo hàm, các quy tắc tính đạo hàm của hàm số đơn thức, đa thức, hàm hợp, và ứng dụng của đạo hàm để giải các bài toán liên quan đến cực trị, đơn điệu của hàm số.
  • Hình học không gian: Phần hình học không gian tập trung vào các kiến thức về quan hệ vuông góc trong không gian. Cụ thể:
    • Nhận biết và chứng minh hai đường thẳng vuông góc.
    • Xác định điều kiện để đường thẳng vuông góc với mặt phẳng.
    • Xác định điều kiện để hai mặt phẳng vuông góc.
    • Tính toán các góc trong không gian: góc giữa đường thẳng và mặt phẳng, góc giữa hai mặt phẳng, góc nhị diện.
    • Tính khoảng cách: từ điểm đến đường thẳng, từ điểm đến mặt phẳng, giữa hai đường thẳng, giữa đường thẳng và mặt phẳng, giữa hai mặt phẳng song song.

B. Phần Bài tập:

(Nội dung phần bài tập không được cung cấp trong đoạn văn bản gốc, do đó không thể phân tích chi tiết.)

Nhận xét và gợi ý ôn tập:

Để ôn tập hiệu quả theo đề cương này, học sinh nên:

  1. Học thuộc và hiểu rõ các định nghĩa, tính chất, công thức lý thuyết.
  2. Luyện tập giải nhiều dạng bài tập khác nhau, từ cơ bản đến nâng cao.
  3. Chú trọng rèn luyện kỹ năng vẽ hình và phân tích bài toán hình học không gian.
  4. Sử dụng các tài liệu tham khảo khác như sách giáo khoa, sách bài tập, đề thi thử để mở rộng kiến thức và kỹ năng.

Chúc quý thầy cô giáo và các em học sinh đạt kết quả tốt trong kỳ thi sắp tới!

Chinh phục đỉnh cao Toán 11 và đặt nền móng vững chắc cho cánh cửa Đại học với nội dung đề cương toán 11 học kì 2 năm 2024 – 2025 trường thpt chuyên bảo lộc – lâm đồng trong chuyên mục toán lớp 11 trên nền tảng toán math! Bộ bài tập toán trung học phổ thông, được biên soạn chuyên sâu, bám sát chặt chẽ chương trình Toán lớp 11 và định hướng các kỳ thi quan trọng, cam kết tối ưu hóa toàn diện quá trình ôn luyện. Qua đó, học sinh không chỉ làm chủ kiến thức phức tạp mà còn rèn luyện tư duy giải quyết vấn đề, sẵn sàng cho các kỳ thi và chương trình đại học, nhờ phương pháp tiếp cận trực quan, logic và mang lại hiệu quả học tập vượt trội.
images-post/de-cuong-toan-11-hoc-ki-2-nam-2024-2025-truong-thpt-chuyen-bao-loc-lam-dong-01.jpgimages-post/de-cuong-toan-11-hoc-ki-2-nam-2024-2025-truong-thpt-chuyen-bao-loc-lam-dong-02.jpgimages-post/de-cuong-toan-11-hoc-ki-2-nam-2024-2025-truong-thpt-chuyen-bao-loc-lam-dong-03.jpgimages-post/de-cuong-toan-11-hoc-ki-2-nam-2024-2025-truong-thpt-chuyen-bao-loc-lam-dong-04.jpgimages-post/de-cuong-toan-11-hoc-ki-2-nam-2024-2025-truong-thpt-chuyen-bao-loc-lam-dong-05.jpgimages-post/de-cuong-toan-11-hoc-ki-2-nam-2024-2025-truong-thpt-chuyen-bao-loc-lam-dong-06.jpgimages-post/de-cuong-toan-11-hoc-ki-2-nam-2024-2025-truong-thpt-chuyen-bao-loc-lam-dong-07.jpgimages-post/de-cuong-toan-11-hoc-ki-2-nam-2024-2025-truong-thpt-chuyen-bao-loc-lam-dong-08.jpgimages-post/de-cuong-toan-11-hoc-ki-2-nam-2024-2025-truong-thpt-chuyen-bao-loc-lam-dong-09.jpgimages-post/de-cuong-toan-11-hoc-ki-2-nam-2024-2025-truong-thpt-chuyen-bao-loc-lam-dong-10.jpg

File đề cương toán 11 học kì 2 năm 2024 – 2025 trường thpt chuyên bảo lộc – lâm đồng PDF Chi Tiết

TÌM KIẾM THEO TỪ KHÓA