Logo Header
  1. Môn Toán
  2. đề cương toán 12 học kì 2 năm 2024 – 2025 trường thpt chuyên bảo lộc – lâm đồng

đề cương toán 12 học kì 2 năm 2024 – 2025 trường thpt chuyên bảo lộc – lâm đồng

Bạn đang xem tài liệu đề cương toán 12 học kì 2 năm 2024 – 2025 trường thpt chuyên bảo lộc – lâm đồng được biên soạn theo đề thi toán mới nhất. Tài liệu này hệ thống hóa kiến thức một cách khoa học, phù hợp cho mọi lộ trình học từ cơ bản đến nâng cao. Hãy khai thác triệt để nội dung để bứt phá điểm số và tự tin chinh phục mọi kỳ thi nhé!

giaibaitoan.com xin giới thiệu đến quý thầy cô giáo và các em học sinh lớp 12 đề cương ôn tập môn Toán 12 học kỳ II năm học 2024 – 2025 của trường THPT chuyên Bảo Lộc, tỉnh Lâm Đồng. Đề cương này là một tài liệu tham khảo hữu ích, giúp học sinh hệ thống kiến thức và rèn luyện kỹ năng giải đề trước kỳ thi quan trọng.

Đề cương được cấu trúc thành hai phần chính:

PHẦN A: LÝ THUYẾT

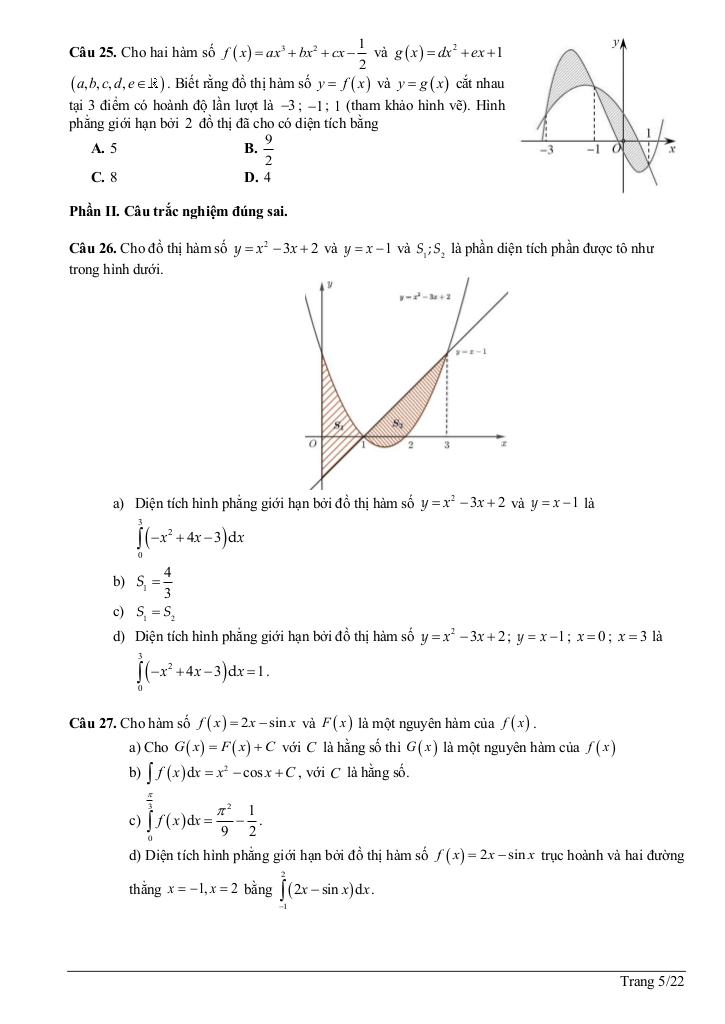
  1. Chương IV: Nguyên hàm và Tích phân. Đây là một trong những chương trọng tâm của Toán 12, đòi hỏi học sinh nắm vững các khái niệm về nguyên hàm, tích phân bất định, tích phân xác định, các phương pháp tính tích phân cơ bản (đổi biến số, tích phân từng phần) và ứng dụng của tích phân trong việc tính diện tích, thể tích.
  2. Chương V: Phương trình mặt phẳng, đường thẳng và mặt cầu trong không gian. Chương này tập trung vào việc xây dựng phương trình các đối tượng hình học trong không gian, các mối quan hệ giữa chúng (vị trí tương đối, khoảng cách), và ứng dụng trong giải các bài toán hình học không gian. Việc nắm vững kiến thức về vector, tích vô hướng, tích có hướng là nền tảng quan trọng để tiếp cận chương này.
  3. Chương VI: Xác suất có điều kiện. Chương này giới thiệu khái niệm xác suất có điều kiện, công thức tính xác suất có điều kiện, và các ứng dụng của nó trong việc giải các bài toán xác suất thực tế. Học sinh cần hiểu rõ sự khác biệt giữa xác suất có điều kiện và xác suất đồng thời, cũng như cách sử dụng sơ đồ cây để giải quyết các bài toán phức tạp.

PHẦN B: BÀI TẬP

Phần bài tập (không được cung cấp chi tiết trong nội dung gốc) dự kiến sẽ bao gồm các dạng bài tập vận dụng kiến thức lý thuyết đã học, từ các bài tập cơ bản đến các bài tập nâng cao, đòi hỏi khả năng phân tích, tổng hợp và vận dụng linh hoạt các công thức, định lý.

Đánh giá và nhận xét:

Đề cương ôn tập này bao phủ những kiến thức cốt lõi của chương trình Toán 12 học kỳ II, tập trung vào các chủ đề thường xuyên xuất hiện trong các đề thi. Việc nắm vững cả lý thuyết và kỹ năng giải bài tập trong các chương này là yếu tố then chốt để đạt kết quả tốt trong kỳ thi. Đề cương của trường THPT chuyên Bảo Lộc, một trường có chất lượng đào tạo tốt, thường có độ khó và tính phân loại cao, do đó là một tài liệu luyện tập hữu ích cho học sinh có mục tiêu đạt điểm cao trong môn Toán.

Chinh phục điểm cao Kỳ thi Tốt nghiệp THPT Quốc gia môn Toán, rộng mở cánh cửa Đại học với nội dung đề cương toán 12 học kì 2 năm 2024 – 2025 trường thpt chuyên bảo lộc – lâm đồng trong chuyên mục đề thi toán 12 trên nền tảng đề thi toán! Bộ bài tập toán thpt, được biên soạn chuyên sâu, bám sát cấu trúc đề thi và chương trình Toán 12, cam kết tối ưu hóa toàn diện lộ trình ôn luyện. Qua đó, học sinh không chỉ làm chủ mọi dạng bài thi mà còn trang bị chiến thuật làm bài hiệu quả, tự tin đạt kết quả đột phá, tạo nền tảng vững chắc cho Kỳ thi Tốt nghiệp THPT Quốc gia và hành trang vững vàng vào đại học, nhờ phương pháp tiếp cận trực quan, khoa học và mang lại hiệu quả học tập vượt trội.
images-post/de-cuong-toan-12-hoc-ki-2-nam-2024-2025-truong-thpt-chuyen-bao-loc-lam-dong-01.jpgimages-post/de-cuong-toan-12-hoc-ki-2-nam-2024-2025-truong-thpt-chuyen-bao-loc-lam-dong-02.jpgimages-post/de-cuong-toan-12-hoc-ki-2-nam-2024-2025-truong-thpt-chuyen-bao-loc-lam-dong-03.jpgimages-post/de-cuong-toan-12-hoc-ki-2-nam-2024-2025-truong-thpt-chuyen-bao-loc-lam-dong-04.jpgimages-post/de-cuong-toan-12-hoc-ki-2-nam-2024-2025-truong-thpt-chuyen-bao-loc-lam-dong-05.jpgimages-post/de-cuong-toan-12-hoc-ki-2-nam-2024-2025-truong-thpt-chuyen-bao-loc-lam-dong-06.jpgimages-post/de-cuong-toan-12-hoc-ki-2-nam-2024-2025-truong-thpt-chuyen-bao-loc-lam-dong-07.jpgimages-post/de-cuong-toan-12-hoc-ki-2-nam-2024-2025-truong-thpt-chuyen-bao-loc-lam-dong-08.jpgimages-post/de-cuong-toan-12-hoc-ki-2-nam-2024-2025-truong-thpt-chuyen-bao-loc-lam-dong-09.jpgimages-post/de-cuong-toan-12-hoc-ki-2-nam-2024-2025-truong-thpt-chuyen-bao-loc-lam-dong-10.jpg

File đề cương toán 12 học kì 2 năm 2024 – 2025 trường thpt chuyên bảo lộc – lâm đồng PDF Chi Tiết

TÌM KIẾM THEO TỪ KHÓA