giaibaitoan.com xin giới thiệu đến quý thầy cô giáo và các em học sinh lớp 11 đề kiểm tra giữa học kỳ 2 môn Toán 11 năm học 2024 – 2025 của trường THPT Nguyễn Trung Thiên, tỉnh Hà Tĩnh. Đề thi có cấu trúc đa dạng, bao gồm các dạng câu hỏi trắc nghiệm (nhiều phương án lựa chọn, đúng sai) và tự luận, đánh giá toàn diện kiến thức và kỹ năng giải quyết bài toán của học sinh.
Cụ thể, đề thi được thiết kế với:
Thời gian làm bài là 90 phút. Đề thi có kèm đáp án chi tiết cho mã đề 111 và 112, hỗ trợ công tác chấm thi và tự học của học sinh.
Đánh giá và phân tích nội dung đề thi:
Đề thi tập trung vào các chủ đề quan trọng trong chương trình Toán 11 giữa học kỳ 2, bao gồm:
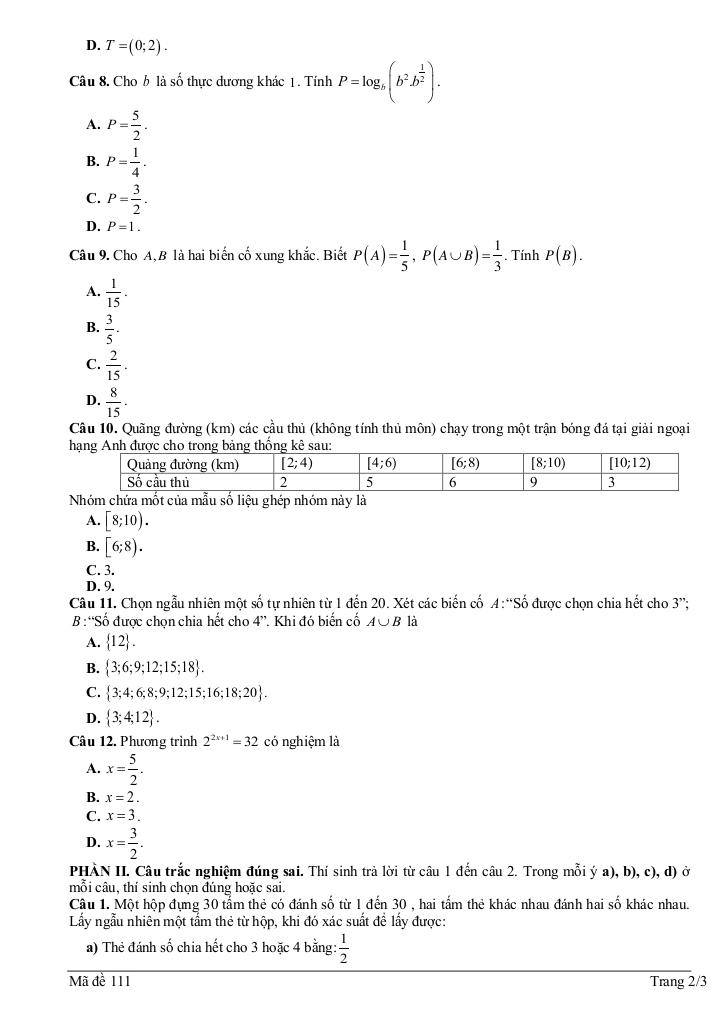
1. Xác suất: Đề bài về xác suất (câu hỏi trích dẫn đầu tiên) yêu cầu học sinh vận dụng kiến thức về quy tắc cộng xác suất, xác suất của biến cố và tính toán xác suất trong các tình huống thực tế. Bài toán này đòi hỏi học sinh phải phân tích kỹ đề, xác định không gian mẫu và các biến cố liên quan để tính toán chính xác.
2. Tập hợp và các phép toán trên tập hợp: Bài toán về phỏng vấn học sinh (câu hỏi trích dẫn thứ hai) kiểm tra khả năng của học sinh trong việc sử dụng công thức tính số phần tử của hợp và giao của hai tập hợp, từ đó tính xác suất của một biến cố liên quan đến việc lựa chọn học sinh theo tiêu chí nhất định. Đây là một dạng bài toán thường gặp trong các đề thi Toán THPT.
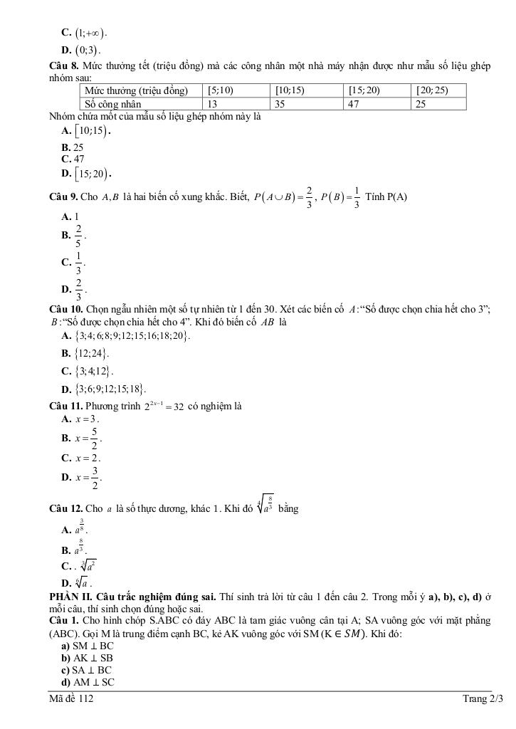
3. Thống kê: Bài toán về mức thưởng tết (câu hỏi trích dẫn thứ ba) yêu cầu học sinh hiểu và vận dụng các khái niệm về mẫu số liệu ghép nhóm, tính trung bình cộng của mẫu số liệu ghép nhóm. Đây là một chủ đề quan trọng giúp học sinh làm quen với việc xử lý và phân tích dữ liệu thống kê.
Nhìn chung, đề thi có độ khó vừa phải, phân loại được học sinh khá – giỏi. Các câu hỏi trắc nghiệm giúp kiểm tra nhanh kiến thức cơ bản, trong khi các câu tự luận đòi hỏi học sinh phải trình bày logic, rõ ràng và vận dụng linh hoạt các kiến thức đã học để giải quyết vấn đề.
File WORD (dành cho quý thầy, cô): TẢI XUỐNG









