Logo Header
  1. Môn Toán
  2. đề kiểm tra 1 tiết đại số và giải tích 11 chương 5 (đạo hàm) trường thpt nguyễn khuyến – bình phước

đề kiểm tra 1 tiết đại số và giải tích 11 chương 5 (đạo hàm) trường thpt nguyễn khuyến – bình phước

Bạn đang xem tài liệu đề kiểm tra 1 tiết đại số và giải tích 11 chương 5 (đạo hàm) trường thpt nguyễn khuyến – bình phước được biên soạn theo tài liệu toán mới nhất. Tài liệu này hệ thống hóa kiến thức một cách khoa học, phù hợp cho mọi lộ trình học từ cơ bản đến nâng cao. Hãy khai thác triệt để nội dung để bứt phá điểm số và tự tin chinh phục mọi kỳ thi nhé!

Phân tích Đề Kiểm Tra 1 Tiết Đại Số và Giải Tích 11 – Chương Đạo Hàm (Trường THPT Nguyễn Khuyến – Bình Phước)

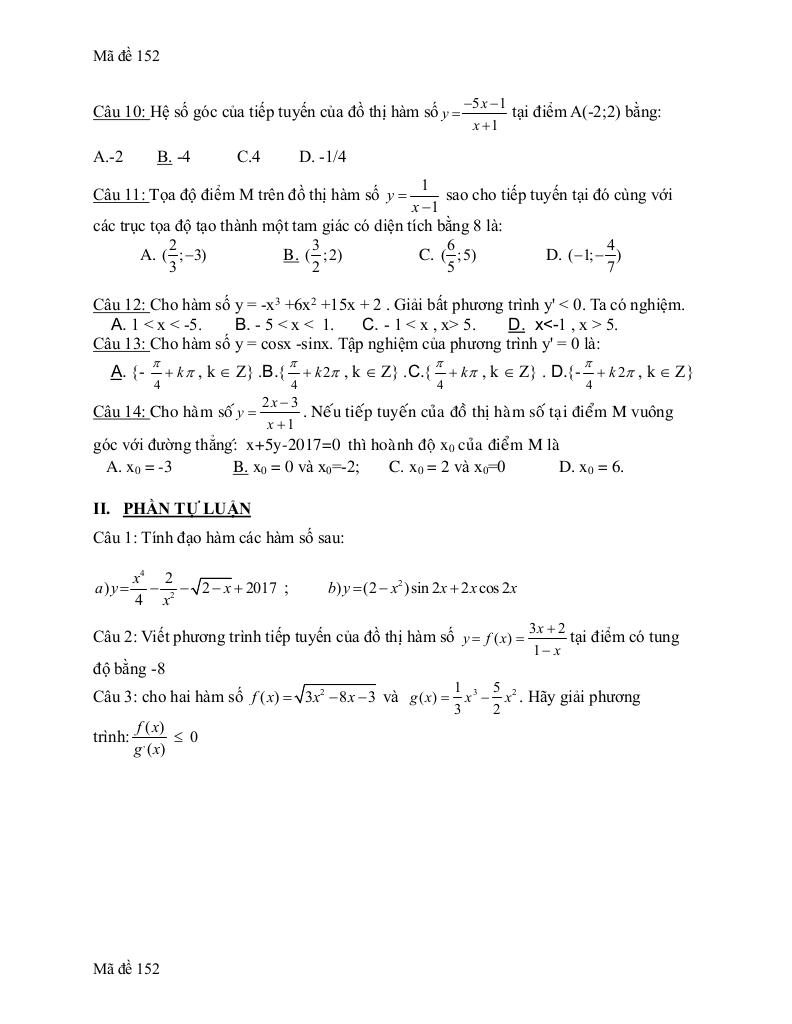
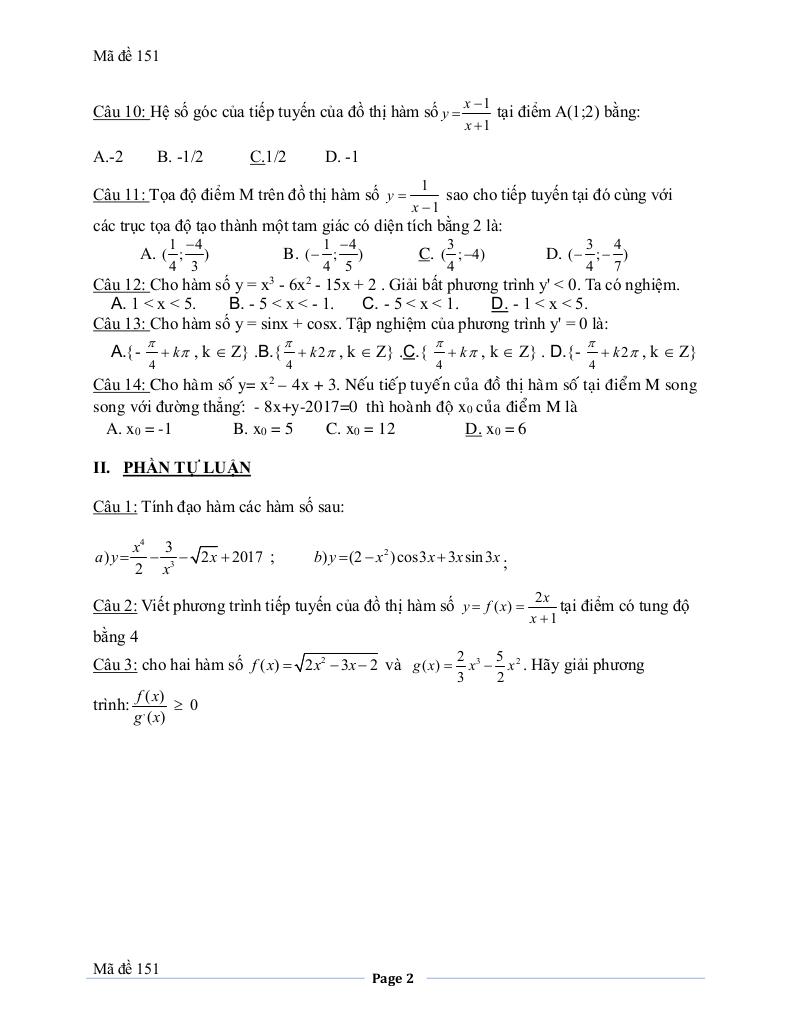
Đề kiểm tra 1 tiết môn Đại Số và Giải tích 11, chương Đạo hàm của trường THPT Nguyễn Khuyến – Bình Phước là một bài kiểm tra có cấu trúc khá phổ biến, bao gồm cả hình thức trắc nghiệm và tự luận. Cụ thể, đề thi được xây dựng với hai mã đề riêng biệt, mỗi đề bao gồm 14 câu hỏi trắc nghiệm và 3 bài tập tự luận.

Đánh giá chung về cấu trúc đề thi:

  1. Tính đa dạng của hình thức: Việc kết hợp cả trắc nghiệm và tự luận giúp đánh giá học sinh một cách toàn diện. Trắc nghiệm kiểm tra khả năng nắm vững kiến thức lý thuyết và áp dụng nhanh các công thức, định nghĩa. Phần tự luận đòi hỏi học sinh phải trình bày logic, rõ ràng, vận dụng kiến thức sâu rộng hơn để giải quyết vấn đề.
  2. Số lượng câu hỏi: Với 14 câu trắc nghiệm và 3 bài tập tự luận, đề thi có độ dài vừa phải, đủ để kiểm tra các kiến thức trọng tâm của chương mà không gây quá tải cho học sinh trong thời gian làm bài.
  3. Hai mã đề: Việc có hai mã đề giúp đảm bảo tính công bằng và giảm thiểu tối đa tình trạng gian lận trong quá trình kiểm tra.

Phân tích chi tiết về các phần của đề thi:

  • Phần trắc nghiệm (14 câu): Phần này có thể bao gồm các câu hỏi về:
    • Định nghĩa đạo hàm và ý nghĩa hình học, vật lý của đạo hàm.
    • Các quy tắc tính đạo hàm (đạo hàm của tổng, hiệu, tích, thương, hàm hợp).
    • Đạo hàm của các hàm số cơ bản (hàm đa thức, hàm lượng giác, hàm mũ, hàm logarit).
    • Ứng dụng của đạo hàm để xét tính đơn điệu của hàm số.
  • Phần tự luận (3 bài): Phần này thường tập trung vào các dạng bài tập sau:
    • Tính đạo hàm của hàm số phức tạp, đòi hỏi học sinh phải vận dụng linh hoạt các quy tắc tính đạo hàm.
    • Tìm điều kiện để hàm số có đạo hàm tại một điểm.
    • Giải các bài toán liên quan đến ứng dụng của đạo hàm (ví dụ: tìm cực trị của hàm số, khảo sát hàm số).

Nhận xét:

Đề thi này được đánh giá là phù hợp với chương trình học và trình độ của học sinh lớp 11. Để đạt kết quả tốt trong bài kiểm tra này, học sinh cần nắm vững kiến thức lý thuyết, luyện tập thành thạo các kỹ năng tính đạo hàm và giải quyết các bài toán ứng dụng. Việc ôn tập theo cấu trúc đề thi và làm các đề thi thử cũng là một phương pháp hiệu quả để chuẩn bị cho kỳ kiểm tra.

Gợi ý ôn tập:

  • Nắm vững định nghĩa đạo hàm và ý nghĩa của nó.
  • Thuộc các công thức tính đạo hàm của các hàm số cơ bản và các quy tắc tính đạo hàm.
  • Luyện tập giải nhiều bài tập khác nhau để làm quen với các dạng bài tập thường gặp.
  • Rèn luyện kỹ năng trình bày bài giải một cách logic, rõ ràng, chính xác.
Chinh phục đỉnh cao Toán 11 và đặt nền móng vững chắc cho cánh cửa Đại học với nội dung đề kiểm tra 1 tiết đại số và giải tích 11 chương 5 (đạo hàm) trường thpt nguyễn khuyến – bình phước trong chuyên mục Giải bài tập Toán 11 trên nền tảng tài liệu toán! Bộ bài tập toán thpt, được biên soạn chuyên sâu, bám sát chặt chẽ chương trình Toán lớp 11 và định hướng các kỳ thi quan trọng, cam kết tối ưu hóa toàn diện quá trình ôn luyện. Qua đó, học sinh không chỉ làm chủ kiến thức phức tạp mà còn rèn luyện tư duy giải quyết vấn đề, sẵn sàng cho các kỳ thi và chương trình đại học, nhờ phương pháp tiếp cận trực quan, logic và mang lại hiệu quả học tập vượt trội.
images-post/de-kiem-tra-1-tiet-dai-so-va-giai-tich-11-chuong-5-dao-ham-truong-thpt-nguyen-khuyen-binh-phuoc-1.jpgimages-post/de-kiem-tra-1-tiet-dai-so-va-giai-tich-11-chuong-5-dao-ham-truong-thpt-nguyen-khuyen-binh-phuoc-2.jpgimages-post/de-kiem-tra-1-tiet-dai-so-va-giai-tich-11-chuong-5-dao-ham-truong-thpt-nguyen-khuyen-binh-phuoc-3.jpgimages-post/de-kiem-tra-1-tiet-dai-so-va-giai-tich-11-chuong-5-dao-ham-truong-thpt-nguyen-khuyen-binh-phuoc-4.jpg

File đề kiểm tra 1 tiết đại số và giải tích 11 chương 5 (đạo hàm) trường thpt nguyễn khuyến – bình phước PDF Chi Tiết

TÌM KIẾM THEO TỪ KHÓA