Logo Header
  1. Môn Toán
  2. đề kiểm tra 1 tiết đại số và giải tích 11 chương 5 trường thpt nguyễn công phương – quảng ngãi

đề kiểm tra 1 tiết đại số và giải tích 11 chương 5 trường thpt nguyễn công phương – quảng ngãi

Bạn đang xem tài liệu đề kiểm tra 1 tiết đại số và giải tích 11 chương 5 trường thpt nguyễn công phương – quảng ngãi được biên soạn theo tài liệu toán mới nhất. Tài liệu này hệ thống hóa kiến thức một cách khoa học, phù hợp cho mọi lộ trình học từ cơ bản đến nâng cao. Hãy khai thác triệt để nội dung để bứt phá điểm số và tự tin chinh phục mọi kỳ thi nhé!

Phân tích Đề Kiểm Tra 1 Tiết Đại Số và Giải Tích 11 – Chương 5 (Trường THPT Nguyễn Công Phương, Quảng Ngãi)

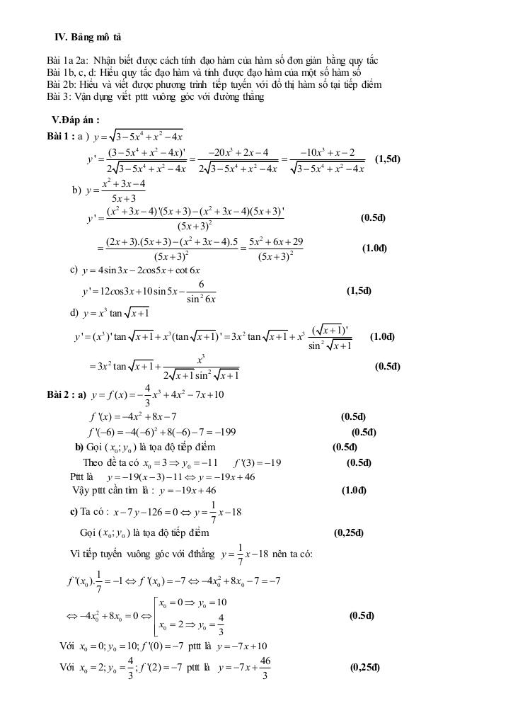
Đề kiểm tra 1 tiết môn Đại Số và Giải Tích 11, chương 5 của trường THPT Nguyễn Công Phương, Quảng Ngãi, được xây dựng dưới hình thức tự luận với thời gian làm bài 45 phút, tập trung đánh giá kiến thức về chủ đề đạo hàm. Điểm đáng chú ý là đề thi được thiết kế bài bản, đi kèm với ma trận nhận thức, ma trận đề kiểm tra, bảng mô tả chi tiết và quan trọng nhất là lời giải chi tiết, tạo điều kiện thuận lợi cho cả học sinh trong quá trình ôn tập và giáo viên trong việc đánh giá năng lực học sinh.

Cấu trúc đề thi với 2 câu hỏi cho thấy sự tập trung vào việc kiểm tra các mức độ nhận thức khác nhau, từ nhận biết đến vận dụng. Nội dung cụ thể được kiểm tra bao gồm:

  1. Nhận biết quy tắc tính đạo hàm: Học sinh cần nắm vững và nhận diện được các quy tắc đạo hàm cơ bản của hàm số đơn giản. Đây là nền tảng để giải quyết các bài toán phức tạp hơn.
  2. Hiểu và vận dụng quy tắc đạo hàm: Đề kiểm tra yêu cầu học sinh không chỉ hiểu bản chất của quy tắc đạo hàm mà còn có khả năng áp dụng để tính đạo hàm của một số hàm số cụ thể. Mức độ này đòi hỏi sự linh hoạt và khả năng kết hợp kiến thức.
  3. Phương trình tiếp tuyến của đồ thị hàm số: Học sinh cần nắm vững công thức và quy trình viết phương trình tiếp tuyến của đồ thị hàm số tại một điểm cho trước. Đây là một ứng dụng quan trọng của đạo hàm trong hình học.
  4. Vận dụng nâng cao: Đề thi còn đánh giá khả năng vận dụng kiến thức về đạo hàm để giải quyết các bài toán thực tế hơn, cụ thể là viết phương trình tiếp tuyến vuông góc với một đường thẳng cho trước. Yêu cầu này đòi hỏi học sinh phải kết hợp kiến thức về đạo hàm, đường thẳng và tính vuông góc.

Đánh giá chung:

Đề kiểm tra được đánh giá là có cấu trúc hợp lý, bao phủ đầy đủ các nội dung trọng tâm của chương 5 về đạo hàm. Việc cung cấp đầy đủ các tài liệu hỗ trợ như ma trận, bảng mô tả và lời giải chi tiết thể hiện sự chuyên nghiệp và tâm huyết của giáo viên trong việc xây dựng đề thi. Đề thi không chỉ kiểm tra kiến thức mà còn đánh giá khả năng tư duy và vận dụng kiến thức vào thực tế của học sinh. Đây là một đề kiểm tra tham khảo hữu ích cho các giáo viên và học sinh khác trong quá trình dạy và học môn Đại Số và Giải Tích 11.

Lưu ý: Việc học sinh nắm vững các quy tắc đạo hàm cơ bản, hiểu rõ ý nghĩa hình học của đạo hàm và luyện tập thường xuyên các bài toán liên quan đến phương trình tiếp tuyến là chìa khóa để đạt kết quả tốt trong các bài kiểm tra và kỳ thi sắp tới.

Chinh phục đỉnh cao Toán 11 và đặt nền móng vững chắc cho cánh cửa Đại học với nội dung đề kiểm tra 1 tiết đại số và giải tích 11 chương 5 trường thpt nguyễn công phương – quảng ngãi trong chuyên mục Học tốt Toán lớp 11 trên nền tảng tài liệu toán! Bộ bài tập lý thuyết toán thpt, được biên soạn chuyên sâu, bám sát chặt chẽ chương trình Toán lớp 11 và định hướng các kỳ thi quan trọng, cam kết tối ưu hóa toàn diện quá trình ôn luyện. Qua đó, học sinh không chỉ làm chủ kiến thức phức tạp mà còn rèn luyện tư duy giải quyết vấn đề, sẵn sàng cho các kỳ thi và chương trình đại học, nhờ phương pháp tiếp cận trực quan, logic và mang lại hiệu quả học tập vượt trội.
images-post/de-kiem-tra-1-tiet-dai-so-va-giai-tich-11-chuong-5-truong-thpt-nguyen-cong-phuong-quang-ngai-1.jpgimages-post/de-kiem-tra-1-tiet-dai-so-va-giai-tich-11-chuong-5-truong-thpt-nguyen-cong-phuong-quang-ngai-2.jpg

File đề kiểm tra 1 tiết đại số và giải tích 11 chương 5 trường thpt nguyễn công phương – quảng ngãi PDF Chi Tiết

TÌM KIẾM THEO TỪ KHÓA