Logo Header
  1. Môn Toán
  2. đề kiểm tra đs&gt 11 chương 5 năm 2018 – 2019 trường đoàn thượng – hải dương

đề kiểm tra đs&gt 11 chương 5 năm 2018 – 2019 trường đoàn thượng – hải dương

Bạn đang xem tài liệu đề kiểm tra đs> 11 chương 5 năm 2018 – 2019 trường đoàn thượng – hải dương được biên soạn theo tài liệu toán mới nhất. Tài liệu này hệ thống hóa kiến thức một cách khoa học, phù hợp cho mọi lộ trình học từ cơ bản đến nâng cao. Hãy khai thác triệt để nội dung để bứt phá điểm số và tự tin chinh phục mọi kỳ thi nhé!

giaibaitoan.com xin giới thiệu đến quý thầy cô giáo và các em học sinh lớp 11 đề kiểm tra Đại số và Giải tích 11 chương 5 năm học 2018 – 2019 của trường THPT Đoàn Thượng, tỉnh Hải Dương. Đề kiểm tra này tập trung vào chủ đề đạo hàm – một trong những nội dung trọng tâm, kết thúc chương trình Đại số và Giải tích 11.

Đề thi mã 319 có cấu trúc dạng trắc nghiệm với 30 câu hỏi, được trình bày trên 4 trang giấy. Thời gian làm bài là 45 phút (tương đương một tiết học). Điểm đặc biệt của đề thi này là có kèm đáp án, giúp học sinh và giáo viên có thể tự đánh giá và kiểm tra kết quả một cách nhanh chóng.

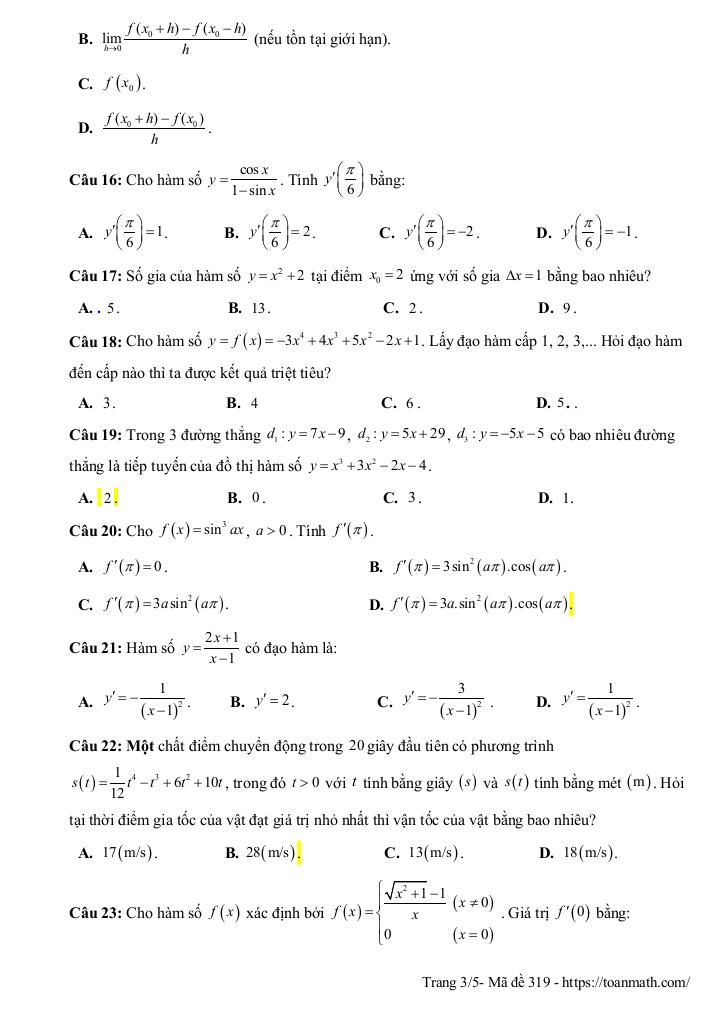
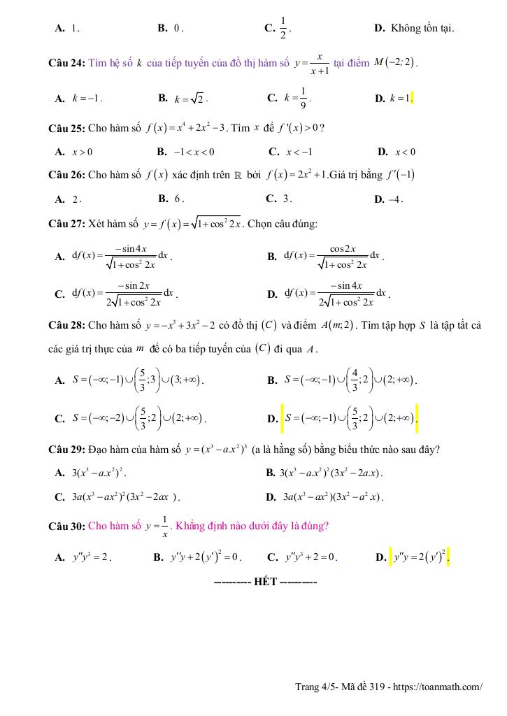
Phân tích nội dung đề thi:

Đề thi bao gồm các dạng bài tập khác nhau, đánh giá khả năng nắm vững kiến thức và kỹ năng vận dụng của học sinh về đạo hàm. Cụ thể:

  • Bài toán về tiếp tuyến của hàm số: Câu hỏi về hàm số y = cosx + giaibaitoan.com2x yêu cầu học sinh tìm giá trị của tham số m để tiếp tuyến tại các điểm cho trước song song hoặc trùng nhau. Đây là dạng bài tập điển hình, đòi hỏi học sinh phải hiểu rõ mối liên hệ giữa đạo hàm và hệ số góc của tiếp tuyến.
  • Bài toán về đạo hàm cấp cao: Câu hỏi về hàm số f(x) = -3x^4 + 4x^3 + 5x^2 – 2x + 1 yêu cầu học sinh tính các đạo hàm cấp 1, 2, 3,... và xác định đạo hàm cấp nào triệt tiêu. Bài tập này kiểm tra khả năng tính toán đạo hàm và hiểu quy luật của đạo hàm cấp cao.
  • Bài toán về tính liên tục và đạo hàm của hàm số xác định từng đoạn: Câu hỏi về hàm số f(x) được định nghĩa theo từng đoạn, yêu cầu học sinh xác định khẳng định sai liên quan đến tính liên tục và đạo hàm tại điểm x = 1. Đây là dạng bài tập nâng cao, đòi hỏi học sinh phải nắm vững định nghĩa về tính liên tục và đạo hàm, cũng như hiểu cách kiểm tra chúng tại các điểm gián đoạn.

Đánh giá chung:

Đề kiểm tra ĐS&GT 11 chương 5 năm 2018 – 2019 trường Đoàn Thượng – Hải Dương là một đề thi có chất lượng, bám sát chương trình học và đánh giá được năng lực của học sinh một cách toàn diện. Các câu hỏi được xây dựng một cách logic, có tính phân loại rõ ràng, giúp giáo viên có thể đánh giá chính xác mức độ hiểu biết của học sinh về chủ đề đạo hàm.

File WORD (dành cho quý thầy, cô): TẢI XUỐNG

Chinh phục đỉnh cao Toán 11 và đặt nền móng vững chắc cho cánh cửa Đại học với nội dung đề kiểm tra đs> 11 chương 5 năm 2018 – 2019 trường đoàn thượng – hải dương trong chuyên mục Học tốt Toán lớp 11 trên nền tảng tài liệu toán! Bộ bài tập lý thuyết toán thpt, được biên soạn chuyên sâu, bám sát chặt chẽ chương trình Toán lớp 11 và định hướng các kỳ thi quan trọng, cam kết tối ưu hóa toàn diện quá trình ôn luyện. Qua đó, học sinh không chỉ làm chủ kiến thức phức tạp mà còn rèn luyện tư duy giải quyết vấn đề, sẵn sàng cho các kỳ thi và chương trình đại học, nhờ phương pháp tiếp cận trực quan, logic và mang lại hiệu quả học tập vượt trội.
images-post/de-kiem-tra-ds-gt-11-chuong-5-nam-2018-2019-truong-doan-thuong-hai-duong-1.jpgimages-post/de-kiem-tra-ds-gt-11-chuong-5-nam-2018-2019-truong-doan-thuong-hai-duong-2.jpgimages-post/de-kiem-tra-ds-gt-11-chuong-5-nam-2018-2019-truong-doan-thuong-hai-duong-3.jpgimages-post/de-kiem-tra-ds-gt-11-chuong-5-nam-2018-2019-truong-doan-thuong-hai-duong-4.jpgimages-post/de-kiem-tra-ds-gt-11-chuong-5-nam-2018-2019-truong-doan-thuong-hai-duong-5.jpg

File đề kiểm tra đs&gt 11 chương 5 năm 2018 – 2019 trường đoàn thượng – hải dương PDF Chi Tiết

TÌM KIẾM THEO TỪ KHÓA