Logo Header
  1. Môn Toán
  2. đề kiểm tra đại số và giải tích 11 chương 5 năm 2018 – 2019 trường nam hà – đồng nai

đề kiểm tra đại số và giải tích 11 chương 5 năm 2018 – 2019 trường nam hà – đồng nai

Bạn đang xem tài liệu đề kiểm tra đại số và giải tích 11 chương 5 năm 2018 – 2019 trường nam hà – đồng nai được biên soạn theo môn toán mới nhất. Tài liệu này hệ thống hóa kiến thức một cách khoa học, phù hợp cho mọi lộ trình học từ cơ bản đến nâng cao. Hãy khai thác triệt để nội dung để bứt phá điểm số và tự tin chinh phục mọi kỳ thi nhé!

Phân tích Đề Kiểm Tra Đại Số và Giải Tích 11 – Chương Đạo Hàm (Năm học 2018-2019, THPT Nam Hà, Đồng Nai)

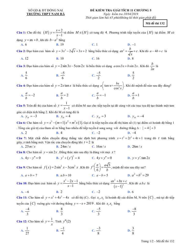
Đề kiểm tra Đại số và Giải tích 11, chương 5 của trường THPT Nam Hà, Đồng Nai (mã đề 132) được thiết kế dưới dạng trắc nghiệm với 25 câu hỏi, dành cho thời gian làm bài 45 phút – tương ứng với một tiết học. Đề tập trung đánh giá kiến thức và kỹ năng của học sinh về chủ đề đạo hàm, một trong những nội dung cốt lõi của chương trình Giải tích 11.

Đánh giá chung về cấu trúc và nội dung đề thi:

  • Hình thức: Việc lựa chọn hình thức trắc nghiệm giúp đề thi có thể bao phủ một lượng lớn kiến thức trong thời gian ngắn, đồng thời đánh giá nhanh chóng khả năng nắm vững lý thuyết và kỹ năng tính toán của học sinh.
  • Nội dung: Đề thi tập trung vào các ứng dụng của đạo hàm, đặc biệt là liên quan đến tiếp tuyến của đồ thị hàm số. Các câu hỏi yêu cầu học sinh phải vận dụng kiến thức về:
    • Tính đạo hàm của hàm số.
    • Xác định hệ số góc của tiếp tuyến tại một điểm trên đồ thị hàm số.
    • Sử dụng điều kiện tiếp xúc hoặc vuông góc giữa các đường thẳng để giải quyết bài toán.
    • Tìm điều kiện để tiếp tuyến song song với một đường thẳng cho trước.
  • Độ khó: Dựa trên các câu hỏi trích dẫn, có thể nhận thấy đề thi có độ khó vừa phải, đòi hỏi học sinh phải có sự hiểu biết vững chắc về các khái niệm và công thức đạo hàm, cũng như khả năng áp dụng linh hoạt vào các bài toán cụ thể.

Phân tích chi tiết một số câu hỏi trích dẫn:

  1. Câu 1: "Cho hàm số y = x3 – 3x có đồ thị (C). Gọi ∆ là đường thẳng đi qua điểm A(1;-2) và có hệ số góc m. Tổng các giá trị m để ∆ tiếp xúc đồ thị (C ) là?"

    Nhận xét: Câu hỏi này kiểm tra khả năng vận dụng điều kiện tiếp xúc giữa đường thẳng và đồ thị hàm số. Học sinh cần tìm điều kiện để phương trình hoành độ giao điểm có nghiệm kép. Đây là một dạng bài toán điển hình trong chương đạo hàm.

  2. Câu 2: "Cho hàm số y = x3 + 4x2 – 4x có đồ thị (C). Gọi x1, x2 là hoành độ các điểm M, N trên (C), mà tại đó tiếp tuyến của (C) vuông góc với đường thẳng y = -x + 2019. Khi đó x1.x2 bằng?"

    Nhận xét: Câu hỏi này yêu cầu học sinh sử dụng mối quan hệ giữa hệ số góc của hai đường thẳng vuông góc. Sau khi tìm được hệ số góc của tiếp tuyến, học sinh cần giải phương trình để tìm hoành độ các điểm M, N và tính tích x1.x2.

  3. Câu 3: "Cho hàm số y = x3 – (m + 1).x2 + m2.x. Gọi d là tiếp tuyến của đồ thị hàm số (1) tại điểm có hoành độ bằng 1. Tổng các giá trị của tham số m bằng bao nhiêu để tiếp tuyến d song song với đường thẳng ∆: y = 4x + 3."

    Nhận xét: Câu hỏi này kiểm tra khả năng sử dụng điều kiện song song giữa hai đường thẳng. Học sinh cần tính đạo hàm của hàm số, tìm hệ số góc của tiếp tuyến tại x = 1, sau đó giải phương trình để tìm các giá trị của m thỏa mãn điều kiện đề bài.

Kết luận:

Đề kiểm tra Đại số và Giải tích 11 chương 5 năm học 2018-2019 trường THPT Nam Hà, Đồng Nai là một đề thi được xây dựng khá tốt, tập trung vào các kiến thức và kỹ năng trọng tâm của chương đạo hàm. Đề thi có tính phân loại học sinh rõ ràng, giúp giáo viên đánh giá được mức độ hiểu biết và khả năng vận dụng kiến thức của học sinh một cách chính xác.

File WORD (dành cho quý thầy, cô): TẢI XUỐNG

Chinh phục đỉnh cao Toán 11 và đặt nền móng vững chắc cho cánh cửa Đại học với nội dung đề kiểm tra đại số và giải tích 11 chương 5 năm 2018 – 2019 trường nam hà – đồng nai trong chuyên mục Ôn tập Toán lớp 11 trên nền tảng môn toán! Bộ bài tập toán trung học phổ thông, được biên soạn chuyên sâu, bám sát chặt chẽ chương trình Toán lớp 11 và định hướng các kỳ thi quan trọng, cam kết tối ưu hóa toàn diện quá trình ôn luyện. Qua đó, học sinh không chỉ làm chủ kiến thức phức tạp mà còn rèn luyện tư duy giải quyết vấn đề, sẵn sàng cho các kỳ thi và chương trình đại học, nhờ phương pháp tiếp cận trực quan, logic và mang lại hiệu quả học tập vượt trội.
images-post/de-kiem-tra-dai-so-va-giai-tich-11-chuong-5-nam-2018-2019-truong-nam-ha-dong-nai-1.jpgimages-post/de-kiem-tra-dai-so-va-giai-tich-11-chuong-5-nam-2018-2019-truong-nam-ha-dong-nai-2.jpg

File đề kiểm tra đại số và giải tích 11 chương 5 năm 2018 – 2019 trường nam hà – đồng nai PDF Chi Tiết

TÌM KIẾM THEO TỪ KHÓA