Logo Header
  1. Môn Toán
  2. đề kiểm tra đại số và giải tích 11 chương 4 – 5 (giới hạn – đạo hàm) trường nghĩa hành 1 – quảng ngãi

đề kiểm tra đại số và giải tích 11 chương 4 – 5 (giới hạn – đạo hàm) trường nghĩa hành 1 – quảng ngãi

Bạn đang xem tài liệu đề kiểm tra đại số và giải tích 11 chương 4 – 5 (giới hạn – đạo hàm) trường nghĩa hành 1 – quảng ngãi được biên soạn theo toán math mới nhất. Tài liệu này hệ thống hóa kiến thức một cách khoa học, phù hợp cho mọi lộ trình học từ cơ bản đến nâng cao. Hãy khai thác triệt để nội dung để bứt phá điểm số và tự tin chinh phục mọi kỳ thi nhé!

Phân tích Đề Kiểm Tra 1 Tiết Đại Số và Giải Tích 11 (Chương 4-5): Đánh Giá và Nhận Xét Chuyên Sâu

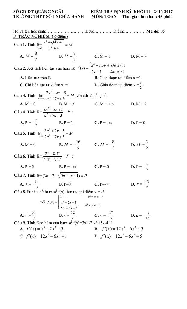
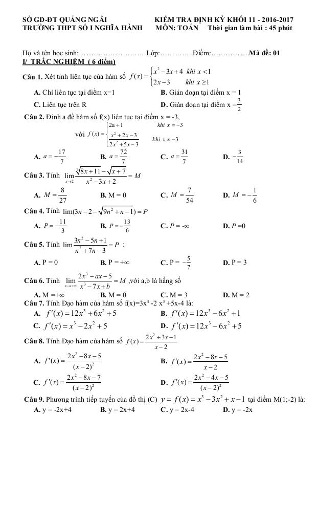
Đề kiểm tra 1 tiết môn Đại số và Giải tích 11, tập trung vào chương 4 và 5 (Giới hạn và Đạo hàm) của trường THPT Nghĩa Hành số 1, Quảng Ngãi, là một công cụ đánh giá quan trọng năng lực tiếp thu kiến thức của học sinh. Đề thi được xây dựng với cấu trúc gồm 8 mã đề khác nhau, mỗi đề bao gồm 12 câu trắc nghiệm và 4 bài tập tự luận. Điểm đáng chú ý là đề thi được cung cấp kèm đáp án và hướng dẫn giải chi tiết, tạo điều kiện thuận lợi cho quá trình tự học và ôn tập của học sinh.

Đánh giá cấu trúc đề thi:

  1. Tính đa dạng của mã đề: Việc có 8 mã đề khác nhau giúp giảm thiểu tình trạng gian lận và đảm bảo tính công bằng trong quá trình kiểm tra. Đồng thời, nó cũng tạo cơ hội cho học sinh làm quen với nhiều dạng bài tập khác nhau, rèn luyện khả năng linh hoạt trong giải quyết vấn đề.
  2. Tỷ lệ câu hỏi trắc nghiệm và tự luận: Tỷ lệ 12 câu trắc nghiệm và 4 bài tập tự luận là một sự cân bằng hợp lý. Câu hỏi trắc nghiệm giúp kiểm tra nhanh kiến thức cơ bản và khả năng nhận biết các khái niệm, định lý. Bài tập tự luận đòi hỏi học sinh vận dụng kiến thức đã học để giải quyết các vấn đề phức tạp hơn, thể hiện khả năng tư duy logic và kỹ năng trình bày bài toán.
  3. Phạm vi kiến thức: Đề thi tập trung vào hai chương quan trọng nhất của chương trình Đại số và Giải tích 11, đó là Giới hạn và Đạo hàm. Điều này cho thấy tầm quan trọng của việc nắm vững các khái niệm, định lý và kỹ năng liên quan đến hai chủ đề này.

Nhận xét về tính hữu ích của đáp án và hướng dẫn giải:

Việc cung cấp đáp án và hướng dẫn giải chi tiết là một điểm cộng lớn của đề thi này. Nó không chỉ giúp học sinh tự đánh giá kết quả làm bài của mình mà còn cung cấp một nguồn tài liệu học tập quý giá. Thông qua việc nghiên cứu đáp án và hướng dẫn giải, học sinh có thể hiểu rõ hơn về cách tiếp cận và giải quyết các bài toán, từ đó cải thiện kỹ năng giải toán của mình.

Gợi ý khai thác đề thi:

  • Sử dụng để tự luyện tập: Học sinh có thể sử dụng đề thi này để tự luyện tập, củng cố kiến thức và rèn luyện kỹ năng giải toán.
  • Phân tích lỗi sai: Sau khi làm bài, học sinh nên phân tích kỹ các lỗi sai của mình, tìm hiểu nguyên nhân và rút kinh nghiệm để tránh lặp lại trong các bài kiểm tra sau.
  • Nghiên cứu hướng dẫn giải: Học sinh nên nghiên cứu kỹ hướng dẫn giải, đặc biệt là những bài toán mình làm sai, để hiểu rõ hơn về cách giải và các kiến thức liên quan.
  • Sử dụng làm tài liệu tham khảo: Giáo viên có thể sử dụng đề thi này làm tài liệu tham khảo để xây dựng các đề thi khác hoặc để bổ sung kiến thức cho học sinh.

Kết luận:

Đề kiểm tra 1 tiết Đại số và Giải tích 11 (Chương 4-5) của trường THPT Nghĩa Hành số 1, Quảng Ngãi là một đề thi được xây dựng công phu, có cấu trúc hợp lý và tính hữu ích cao. Việc khai thác hiệu quả đề thi này sẽ góp phần quan trọng vào việc nâng cao chất lượng dạy và học môn Toán ở trường THPT.

Chinh phục đỉnh cao Toán 11 và đặt nền móng vững chắc cho cánh cửa Đại học với nội dung đề kiểm tra đại số và giải tích 11 chương 4 – 5 (giới hạn – đạo hàm) trường nghĩa hành 1 – quảng ngãi trong chuyên mục toán lớp 11 trên nền tảng toán math! Bộ bài tập toán trung học phổ thông, được biên soạn chuyên sâu, bám sát chặt chẽ chương trình Toán lớp 11 và định hướng các kỳ thi quan trọng, cam kết tối ưu hóa toàn diện quá trình ôn luyện. Qua đó, học sinh không chỉ làm chủ kiến thức phức tạp mà còn rèn luyện tư duy giải quyết vấn đề, sẵn sàng cho các kỳ thi và chương trình đại học, nhờ phương pháp tiếp cận trực quan, logic và mang lại hiệu quả học tập vượt trội.
images-post/de-kiem-tra-dai-so-va-giai-tich-11-chuong-4-5-gioi-han-dao-ham-truong-nghia-hanh-1-quang-ngai-01.jpgimages-post/de-kiem-tra-dai-so-va-giai-tich-11-chuong-4-5-gioi-han-dao-ham-truong-nghia-hanh-1-quang-ngai-02.jpgimages-post/de-kiem-tra-dai-so-va-giai-tich-11-chuong-4-5-gioi-han-dao-ham-truong-nghia-hanh-1-quang-ngai-03.jpgimages-post/de-kiem-tra-dai-so-va-giai-tich-11-chuong-4-5-gioi-han-dao-ham-truong-nghia-hanh-1-quang-ngai-04.jpgimages-post/de-kiem-tra-dai-so-va-giai-tich-11-chuong-4-5-gioi-han-dao-ham-truong-nghia-hanh-1-quang-ngai-05.jpgimages-post/de-kiem-tra-dai-so-va-giai-tich-11-chuong-4-5-gioi-han-dao-ham-truong-nghia-hanh-1-quang-ngai-06.jpgimages-post/de-kiem-tra-dai-so-va-giai-tich-11-chuong-4-5-gioi-han-dao-ham-truong-nghia-hanh-1-quang-ngai-07.jpgimages-post/de-kiem-tra-dai-so-va-giai-tich-11-chuong-4-5-gioi-han-dao-ham-truong-nghia-hanh-1-quang-ngai-08.jpgimages-post/de-kiem-tra-dai-so-va-giai-tich-11-chuong-4-5-gioi-han-dao-ham-truong-nghia-hanh-1-quang-ngai-09.jpgimages-post/de-kiem-tra-dai-so-va-giai-tich-11-chuong-4-5-gioi-han-dao-ham-truong-nghia-hanh-1-quang-ngai-10.jpg

File đề kiểm tra đại số và giải tích 11 chương 4 – 5 (giới hạn – đạo hàm) trường nghĩa hành 1 – quảng ngãi PDF Chi Tiết

TÌM KIẾM THEO TỪ KHÓA