Logo Header
  1. Môn Toán
  2. đề kiểm tra đại số và giải tích 11 chương 4 (giới hạn) trường đoàn thượng – hải dương

đề kiểm tra đại số và giải tích 11 chương 4 (giới hạn) trường đoàn thượng – hải dương

Bạn đang xem tài liệu đề kiểm tra đại số và giải tích 11 chương 4 (giới hạn) trường đoàn thượng – hải dương được biên soạn theo toán học mới nhất. Tài liệu này hệ thống hóa kiến thức một cách khoa học, phù hợp cho mọi lộ trình học từ cơ bản đến nâng cao. Hãy khai thác triệt để nội dung để bứt phá điểm số và tự tin chinh phục mọi kỳ thi nhé!

Cấu trúc Đề Kiểm Tra Toán: Phân Tích Chi Tiết và Đánh Giá

Đề kiểm tra Toán được thiết kế với cấu trúc gồm hai phần chính: trắc nghiệm và tự luận. Đây là một cấu trúc phổ biến và hiệu quả, cho phép đánh giá kiến thức và kỹ năng của học sinh một cách toàn diện.

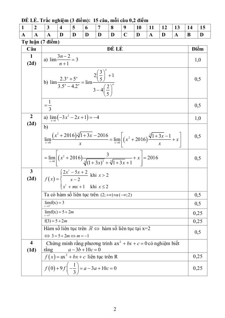
  1. Phần Trắc Nghiệm (15 câu hỏi):
    • Mục đích: Phần trắc nghiệm tập trung vào việc kiểm tra khả năng nắm vững kiến thức cơ bản, các định nghĩa, định lý và công thức quan trọng. Đồng thời, đánh giá tốc độ và sự chính xác trong việc nhận diện và lựa chọn đáp án đúng.
    • Ưu điểm: Đánh giá được một lượng lớn kiến thức trong thời gian ngắn, khách quan và dễ chấm điểm.
    • Nhận xét: Số lượng 15 câu hỏi trắc nghiệm là phù hợp, đủ để bao quát các chủ đề chính mà không gây quá tải cho học sinh. Việc có đáp án đi kèm là rất quan trọng để học sinh tự đánh giá và rút kinh nghiệm sau khi làm bài.
  2. Phần Tự Luận (3 câu hỏi):
    • Mục đích: Phần tự luận yêu cầu học sinh vận dụng kiến thức đã học để giải quyết các bài toán cụ thể, thể hiện khả năng tư duy logic, phân tích vấn đề và trình bày lời giải một cách rõ ràng, mạch lạc.
    • Ưu điểm: Đánh giá được chiều sâu kiến thức, khả năng áp dụng và kỹ năng giải quyết vấn đề của học sinh.
    • Nhận xét: Số lượng 3 câu hỏi tự luận là vừa đủ để đánh giá khả năng tự luận của học sinh. Việc cung cấp lời giải chi tiết là vô cùng hữu ích, giúp học sinh hiểu rõ phương pháp giải và tự kiểm tra lại quá trình làm bài của mình. Lời giải chi tiết cần đảm bảo tính chính xác, rõ ràng và dễ hiểu.

Đánh giá chung:

Cấu trúc đề kiểm tra này cân bằng giữa việc kiểm tra kiến thức nền tảng (trắc nghiệm) và khả năng vận dụng (tự luận). Sự kết hợp này giúp đánh giá một cách toàn diện năng lực của học sinh. Để đề kiểm tra đạt hiệu quả cao nhất, cần chú trọng vào việc xây dựng nội dung câu hỏi phù hợp với chương trình học, đảm bảo tính phân loại rõ ràng và có độ khó tăng dần.

Gợi ý phát triển:

Để nâng cao chất lượng đề kiểm tra, có thể cân nhắc:

  • Thêm các câu hỏi trắc nghiệm vận dụng kiến thức vào tình huống thực tế.
  • Thiết kế các câu hỏi tự luận mở, khuyến khích học sinh đưa ra nhiều cách giải khác nhau.
  • Đa dạng hóa các dạng bài tập tự luận, bao gồm chứng minh, giải phương trình, giải bài toán hình học, v.v.
Chinh phục đỉnh cao Toán 11 và đặt nền móng vững chắc cho cánh cửa Đại học với nội dung đề kiểm tra đại số và giải tích 11 chương 4 (giới hạn) trường đoàn thượng – hải dương trong chuyên mục Giải bài tập Toán 11 trên nền tảng toán học! Bộ bài tập toán thpt, được biên soạn chuyên sâu, bám sát chặt chẽ chương trình Toán lớp 11 và định hướng các kỳ thi quan trọng, cam kết tối ưu hóa toàn diện quá trình ôn luyện. Qua đó, học sinh không chỉ làm chủ kiến thức phức tạp mà còn rèn luyện tư duy giải quyết vấn đề, sẵn sàng cho các kỳ thi và chương trình đại học, nhờ phương pháp tiếp cận trực quan, logic và mang lại hiệu quả học tập vượt trội.
images-post/de-kiem-tra-dai-so-va-giai-tich-11-chuong-4-gioi-han-truong-doan-thuong-hai-duong-1.jpgimages-post/de-kiem-tra-dai-so-va-giai-tich-11-chuong-4-gioi-han-truong-doan-thuong-hai-duong-2.jpgimages-post/de-kiem-tra-dai-so-va-giai-tich-11-chuong-4-gioi-han-truong-doan-thuong-hai-duong-3.jpgimages-post/de-kiem-tra-dai-so-va-giai-tich-11-chuong-4-gioi-han-truong-doan-thuong-hai-duong-4.jpgimages-post/de-kiem-tra-dai-so-va-giai-tich-11-chuong-4-gioi-han-truong-doan-thuong-hai-duong-5.jpgimages-post/de-kiem-tra-dai-so-va-giai-tich-11-chuong-4-gioi-han-truong-doan-thuong-hai-duong-6.jpgimages-post/de-kiem-tra-dai-so-va-giai-tich-11-chuong-4-gioi-han-truong-doan-thuong-hai-duong-7.jpg

File đề kiểm tra đại số và giải tích 11 chương 4 (giới hạn) trường đoàn thượng – hải dương PDF Chi Tiết

TÌM KIẾM THEO TỪ KHÓA