Logo Header
  1. Môn Toán
  2. đề kiểm tra đs&gt 11 chương 5 trường thpt cây dương – kiên giang

đề kiểm tra đs&gt 11 chương 5 trường thpt cây dương – kiên giang

Bạn đang xem tài liệu đề kiểm tra đs> 11 chương 5 trường thpt cây dương – kiên giang được biên soạn theo soạn toán mới nhất. Tài liệu này hệ thống hóa kiến thức một cách khoa học, phù hợp cho mọi lộ trình học từ cơ bản đến nâng cao. Hãy khai thác triệt để nội dung để bứt phá điểm số và tự tin chinh phục mọi kỳ thi nhé!

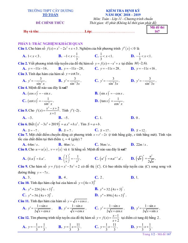
Phân tích Đề Kiểm tra ĐS> 11 Chương 5 – THPT Cây Dương, Kiên Giang (Mã đề 167): Đánh giá cấu trúc và nội dung

Đề kiểm tra ĐS> 11 chương 5 của trường THPT Cây Dương, tỉnh Kiên Giang (mã đề 167) là một đề kiểm tra định kỳ được thiết kế với cấu trúc kết hợp giữa trắc nghiệm khách quan và tự luận, thể hiện sự cân bằng trong đánh giá kiến thức và kỹ năng của học sinh. Đề thi có tổng cộng 17 câu hỏi (15 trắc nghiệm và 2 tự luận) và được hoàn thành trong thời gian 45 phút. Đây là một khoảng thời gian hợp lý để học sinh có thể hoàn thành bài làm một cách cẩn thận.

Đánh giá chi tiết về nội dung đề thi:

Đề thi tập trung vào các kiến thức trọng tâm của chương 5, chủ yếu liên quan đến ứng dụng của đạo hàm trong việc giải quyết các bài toán thực tế về chuyển động và các bài toán liên quan đến hàm số.

  • Phần trắc nghiệm: Với 15 câu hỏi, phần trắc nghiệm có thể bao gồm các câu hỏi về khái niệm đạo hàm, các quy tắc tính đạo hàm, và ứng dụng của đạo hàm để xét tính đơn điệu, cực trị của hàm số. Việc lựa chọn hình thức trắc nghiệm giúp đánh giá nhanh chóng khả năng nắm vững kiến thức cơ bản và kỹ năng tính toán của học sinh.
  • Phần tự luận: Hai câu tự luận là phần then chốt để đánh giá khả năng vận dụng kiến thức vào giải quyết các bài toán phức tạp hơn, đòi hỏi học sinh phải trình bày lời giải một cách logic và rõ ràng.

Phân tích các câu hỏi trích dẫn:

  1. Bài toán về chuyển động: "Một chất điểm chuyển động có phương trình s = t^3 – 2t (t tính bằng giây, s tính bằng mét). Tính vận tốc của chất điểm tại thời điểm t0 = 4 (giây)." Đây là một bài toán điển hình về ứng dụng đạo hàm để tính vận tốc. Học sinh cần hiểu vận tốc là đạo hàm của quãng đường theo thời gian (v = s'(t)) và thực hiện tính đạo hàm của hàm số s(t) rồi thay t = 4 để tìm vận tốc.
  2. Bài toán về tiếp tuyến của đồ thị hàm số: "Cho hàm số y = f(x) = x^3 – 5x^2 + 2 có đồ thị (C). Có bao nhiêu tiếp tuyến của (C) song song với đường thẳng y = -7x." Bài toán này yêu cầu học sinh nắm vững kiến thức về hệ số góc của tiếp tuyến và điều kiện hai đường thẳng song song. Học sinh cần tính đạo hàm f'(x) và giải phương trình f'(x) = -7 để tìm các giá trị của x mà tại đó tiếp tuyến của (C) song song với đường thẳng đã cho. Số nghiệm của phương trình này chính là số tiếp tuyến cần tìm.
  3. Bài toán về cường độ dòng điện: "Điện lượng truyền trong dây dẫn có phương trình Q = t^2. Tính cường độ dòng điện tức thời tại thời điểm t0 = 5 (giây)?" Bài toán này liên quan đến ứng dụng đạo hàm trong vật lý. Học sinh cần biết cường độ dòng điện tức thời là đạo hàm của điện lượng theo thời gian (I = dQ/dt) và thực hiện tính đạo hàm của hàm số Q(t) rồi thay t = 5 để tìm cường độ dòng điện.

Nhận xét chung:

Đề thi có tính phân loại học sinh tốt, bao gồm các câu hỏi từ dễ đến khó, giúp đánh giá được mức độ hiểu biết và khả năng vận dụng kiến thức của học sinh. Các bài toán được chọn có tính ứng dụng cao, giúp học sinh thấy được tầm quan trọng của đạo hàm trong việc giải quyết các vấn đề thực tế. Việc cung cấp file WORD cho giáo viên là một điểm cộng, tạo điều kiện thuận lợi cho việc sử dụng và chỉnh sửa đề thi.

Lưu ý: Đề thi này phù hợp với chương trình học Toán 11 và có thể được sử dụng làm tài liệu tham khảo cho học sinh và giáo viên trong quá trình ôn tập và giảng dạy.

Chinh phục đỉnh cao Toán 11 và đặt nền móng vững chắc cho cánh cửa Đại học với nội dung đề kiểm tra đs> 11 chương 5 trường thpt cây dương – kiên giang trong chuyên mục toán 11 trên nền tảng soạn toán! Bộ bài tập toán thpt, được biên soạn chuyên sâu, bám sát chặt chẽ chương trình Toán lớp 11 và định hướng các kỳ thi quan trọng, cam kết tối ưu hóa toàn diện quá trình ôn luyện. Qua đó, học sinh không chỉ làm chủ kiến thức phức tạp mà còn rèn luyện tư duy giải quyết vấn đề, sẵn sàng cho các kỳ thi và chương trình đại học, nhờ phương pháp tiếp cận trực quan, logic và mang lại hiệu quả học tập vượt trội.
images-post/de-kiem-tra-ds-gt-11-chuong-5-truong-thpt-cay-duong-kien-giang-1.jpgimages-post/de-kiem-tra-ds-gt-11-chuong-5-truong-thpt-cay-duong-kien-giang-2.jpg

File đề kiểm tra đs&gt 11 chương 5 trường thpt cây dương – kiên giang PDF Chi Tiết

TÌM KIẾM THEO TỪ KHÓA