Logo Header
  1. Môn Toán
  2. đề kiểm tra 1 tiết hình học 10 chương 1 năm 2018 – 2019 trường đông du – đăk lăk

đề kiểm tra 1 tiết hình học 10 chương 1 năm 2018 – 2019 trường đông du – đăk lăk

Bạn đang xem tài liệu đề kiểm tra 1 tiết hình học 10 chương 1 năm 2018 – 2019 trường đông du – đăk lăk được biên soạn theo toán math mới nhất. Tài liệu này hệ thống hóa kiến thức một cách khoa học, phù hợp cho mọi lộ trình học từ cơ bản đến nâng cao. Hãy khai thác triệt để nội dung để bứt phá điểm số và tự tin chinh phục mọi kỳ thi nhé!

Phân tích Đề Kiểm Tra 1 Tiết Hình Học 10 – Trường Đông Du, Đăk Lăk (Năm học 2018-2019)

Đề kiểm tra 1 tiết môn Hình học 10 của trường Đông Du, Đăk Lăk (năm học 2018-2019), tập trung vào chương 1 – Vectơ, được xây dựng dưới dạng tự luận với thời gian làm bài 45 phút. Đề thi bao gồm hai mã đề (01 và 02), cho thấy sự quan tâm đến việc đảm bảo tính khách quan và giảm thiểu tình trạng gian lận trong quá trình kiểm tra. Cấu trúc đề thi với 7 bài toán cho phép đánh giá một cách toàn diện kiến thức và kỹ năng của học sinh về vectơ trong mặt phẳng.

Nội dung chi tiết và đánh giá các câu hỏi:

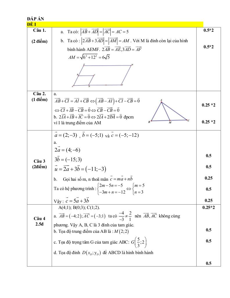
  1. Câu 1: Bài toán về ba điểm và các yếu tố liên quan đến tam giác.
    • a. Chứng minh ba điểm A(4;1), B(0;3), C(1;2) lập thành một tam giác: Đây là câu hỏi cơ bản, kiểm tra khả năng vận dụng định nghĩa về ba điểm không thẳng hàng và sử dụng các phương pháp chứng minh như tính chất của vectơ (kiểm tra xem hai vectơ bất kỳ tạo bởi ba điểm đó có cùng phương hay không).
    • b. Tìm tọa độ trung điểm cạnh AB: Kiểm tra kiến thức về công thức tính trung điểm của đoạn thẳng.
    • c. Tìm tọa độ trọng tâm G của tam giác ABC: Kiểm tra kiến thức về công thức tính tọa độ trọng tâm của tam giác.
    • d. Tìm tọa độ điểm D của hình bình hành ABCD: Câu hỏi này yêu cầu học sinh hiểu rõ tính chất của hình bình hành và vận dụng các phép toán vectơ để tìm điểm D. Đây là một câu hỏi nâng cao hơn so với các câu trước.
    • e. Tìm tọa độ điểm E thuộc trục hoành sao cho AE + BE đạt giá trị nhỏ nhất: Đây là câu hỏi khó, đòi hỏi học sinh phải kết hợp kiến thức về vectơ, hình học phẳng và có thể sử dụng phương pháp hình học để tìm ra lời giải tối ưu. Việc sử dụng tính chất đối xứng của hàm số hoặc phương pháp vector có thể giúp giải quyết bài toán này.
  2. Câu 2: Ứng dụng tỉ lệ vàng trong thực tế – Tháp Eiffel.

    Bài toán này liên hệ kiến thức về tỉ lệ vàng với một công trình kiến trúc nổi tiếng. Học sinh cần hiểu rõ khái niệm tỉ lệ vàng và vận dụng nó để giải quyết bài toán thực tế. Đây là một cách tiếp cận thú vị, giúp học sinh thấy được tính ứng dụng của toán học trong cuộc sống.

  3. Câu 3: Ứng dụng tỉ lệ vàng trong thực tế – Lá quốc kỳ.

    Tương tự như câu 2, bài toán này cũng liên hệ kiến thức về tỉ lệ vàng với một tình huống thực tế khác. Việc giải bài toán này đòi hỏi học sinh phải thiết lập được phương trình và giải phương trình bậc hai để tìm ra chiều dài và chiều rộng của lá cờ.

Nhận xét chung:

Đề thi có độ khó tương đối, phân loại được học sinh khá giỏi. Các câu hỏi được xây dựng theo hướng kết hợp lý thuyết và thực tế, giúp học sinh rèn luyện kỹ năng giải quyết vấn đề. Việc đưa các bài toán liên quan đến các sự kiện nổi bật (Asiad 2018) và công trình kiến trúc (Tháp Eiffel) tạo sự hứng thú cho học sinh và giúp các em thấy được ý nghĩa của việc học toán.

Tài liệu tham khảo:

Đề thi có kèm theo file WORD dành cho giáo viên, giúp giáo viên dễ dàng tiếp cận và sử dụng trong công tác giảng dạy.

Khởi đầu hành trình Toán THPT vững vàng với nội dung đề kiểm tra 1 tiết hình học 10 chương 1 năm 2018 – 2019 trường đông du – đăk lăk trong chuyên mục học toán 10 trên nền tảng toán math! Bộ bài tập toán thpt, được biên soạn chuyên sâu và bám sát chặt chẽ chương trình Toán lớp 10 hiện hành, cam kết tối ưu hóa toàn diện quá trình ôn luyện. Qua đó, học sinh không chỉ củng cố kiến thức cốt lõi mà còn xây dựng nền tảng vững chắc cho các năm học tiếp theo và định hướng đại học, nhờ phương pháp tiếp cận trực quan, logic và mang lại hiệu quả học tập vượt trội.
images-post/de-kiem-tra-1-tiet-hinh-hoc-10-chuong-1-nam-2018-2019-truong-dong-du-dak-lak-1.jpgimages-post/de-kiem-tra-1-tiet-hinh-hoc-10-chuong-1-nam-2018-2019-truong-dong-du-dak-lak-2.jpgimages-post/de-kiem-tra-1-tiet-hinh-hoc-10-chuong-1-nam-2018-2019-truong-dong-du-dak-lak-3.jpgimages-post/de-kiem-tra-1-tiet-hinh-hoc-10-chuong-1-nam-2018-2019-truong-dong-du-dak-lak-4.jpgimages-post/de-kiem-tra-1-tiet-hinh-hoc-10-chuong-1-nam-2018-2019-truong-dong-du-dak-lak-5.jpgimages-post/de-kiem-tra-1-tiet-hinh-hoc-10-chuong-1-nam-2018-2019-truong-dong-du-dak-lak-6.jpg

File đề kiểm tra 1 tiết hình học 10 chương 1 năm 2018 – 2019 trường đông du – đăk lăk PDF Chi Tiết

TÌM KIẾM THEO TỪ KHÓA