Logo Header
  1. Môn Toán
  2. đề kiểm tra đại số 10 chương 3 trường thpt đa phúc – hà nội

đề kiểm tra đại số 10 chương 3 trường thpt đa phúc – hà nội

Bạn đang xem tài liệu đề kiểm tra đại số 10 chương 3 trường thpt đa phúc – hà nội được biên soạn theo toán math mới nhất. Tài liệu này hệ thống hóa kiến thức một cách khoa học, phù hợp cho mọi lộ trình học từ cơ bản đến nâng cao. Hãy khai thác triệt để nội dung để bứt phá điểm số và tự tin chinh phục mọi kỳ thi nhé!

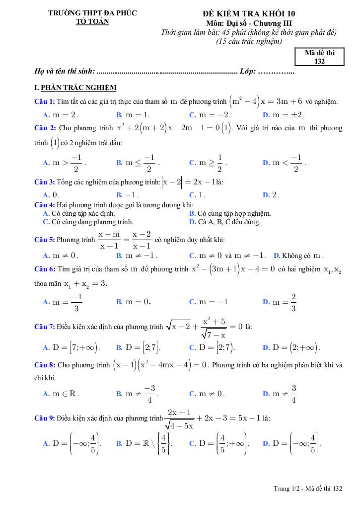
Đánh giá Đề Kiểm Tra 1 Tiết Đại Số 10 – Chương 3: Phương Trình và Hệ Phương Trình (THPT Đa Phúc, Sóc Sơn, Hà Nội)

Tổ Toán học trường THPT Đa Phúc, Sóc Sơn, Hà Nội đã tiến hành kiểm tra 1 tiết chương 3 môn Đại số 10, tập trung vào chủ đề phương trình và hệ phương trình. Đề kiểm tra mã 132, với cấu trúc kết hợp giữa trắc nghiệm khách quan và tự luận, được đánh giá là một công cụ đánh giá kiến thức toàn diện cho học sinh.

Cấu trúc đề thi:

  • Thời lượng: 45 phút.
  • Hình thức: Trắc nghiệm (15 câu, 6 điểm) kết hợp Tự luận (2 câu, 4 điểm).
  • Đáp án & Lời giải: Cung cấp đầy đủ đáp án và lời giải chi tiết cho các mã đề 132, 209, 357, 485, 570, 628, 743, 896. Việc này hỗ trợ tối đa cho cả học sinh trong quá trình tự học và đánh giá, cũng như cho giáo viên trong công tác giảng dạy.

Phân tích nội dung đề thi:

Đề thi bao gồm các dạng bài tập đánh giá các kiến thức trọng tâm của chương 3:

  1. Kiến thức lý thuyết: Câu hỏi trắc nghiệm về khái niệm phương trình tương đương (ví dụ: "Hai phương trình được gọi là tương đương khi:") kiểm tra sự hiểu biết cơ bản về định nghĩa và điều kiện tương đương của phương trình. Đáp án chính xác là B. Có cùng tập hợp nghiệm, thể hiện sự nắm vững khái niệm cốt lõi.
  2. Kỹ năng giải phương trình: Bài toán tự luận về phương trình x – √(2x – m) = 4 yêu cầu học sinh vận dụng các kỹ năng giải phương trình chứa căn thức, đồng thời kiểm tra khả năng xử lý phương trình với tham số. Việc yêu cầu giải với m = 5 giúp đánh giá kỹ năng giải phương trình cụ thể, trong khi yêu cầu tìm m để phương trình có hai nghiệm phân biệt kiểm tra khả năng phân tích và đánh giá điều kiện có nghiệm của phương trình.
  3. Ứng dụng định lý Vi-et: Bài toán về phương trình mx^2 – 6(m – 1)x + 9(m – 3) = 0 kiểm tra khả năng áp dụng định lý Vi-et để tìm mối liên hệ giữa nghiệm và hệ số của phương trình bậc hai. Yêu cầu x1 + x2 = x1.x2 hướng học sinh đến việc thiết lập phương trình dựa trên mối quan hệ Vi-et và giải để tìm giá trị của tham số m.

Nhận xét chung:

Đề kiểm tra được xây dựng bám sát chương trình Đại số 10, có sự phân hóa hợp lý giữa các dạng bài tập trắc nghiệm và tự luận. Việc cung cấp đáp án và lời giải chi tiết cho nhiều mã đề là một điểm cộng, tạo điều kiện thuận lợi cho việc tự học và ôn tập. Đề thi không chỉ đánh giá kiến thức mà còn rèn luyện kỹ năng giải quyết vấn đề và tư duy logic cho học sinh. Đây là một đề kiểm tra chất lượng, có thể được sử dụng làm tài liệu tham khảo cho giáo viên và học sinh trong quá trình dạy và học.

File WORD (dành cho quý thầy, cô): TẢI XUỐNG

Khởi đầu hành trình Toán THPT vững vàng với nội dung đề kiểm tra đại số 10 chương 3 trường thpt đa phúc – hà nội trong chuyên mục toán lớp 10 trên nền tảng toán math! Bộ bài tập toán trung học phổ thông, được biên soạn chuyên sâu và bám sát chặt chẽ chương trình Toán lớp 10 hiện hành, cam kết tối ưu hóa toàn diện quá trình ôn luyện. Qua đó, học sinh không chỉ củng cố kiến thức cốt lõi mà còn xây dựng nền tảng vững chắc cho các năm học tiếp theo và định hướng đại học, nhờ phương pháp tiếp cận trực quan, logic và mang lại hiệu quả học tập vượt trội.
images-post/de-kiem-tra-dai-so-10-chuong-3-truong-thpt-da-phuc-ha-noi-1.jpgimages-post/de-kiem-tra-dai-so-10-chuong-3-truong-thpt-da-phuc-ha-noi-2.jpgimages-post/de-kiem-tra-dai-so-10-chuong-3-truong-thpt-da-phuc-ha-noi-3.jpgimages-post/de-kiem-tra-dai-so-10-chuong-3-truong-thpt-da-phuc-ha-noi-4.jpgimages-post/de-kiem-tra-dai-so-10-chuong-3-truong-thpt-da-phuc-ha-noi-5.jpg

File đề kiểm tra đại số 10 chương 3 trường thpt đa phúc – hà nội PDF Chi Tiết

TÌM KIẾM THEO TỪ KHÓA