Logo Header
  1. Môn Toán
  2. đề kiểm tra giải tích 12 chương 3 năm 2018 – 2019 trường an thới – kiên giang

đề kiểm tra giải tích 12 chương 3 năm 2018 – 2019 trường an thới – kiên giang

Bạn đang xem tài liệu đề kiểm tra giải tích 12 chương 3 năm 2018 – 2019 trường an thới – kiên giang được biên soạn theo toán học mới nhất. Tài liệu này hệ thống hóa kiến thức một cách khoa học, phù hợp cho mọi lộ trình học từ cơ bản đến nâng cao. Hãy khai thác triệt để nội dung để bứt phá điểm số và tự tin chinh phục mọi kỳ thi nhé!

Đánh giá chi tiết đề kiểm tra Giải tích 12 – Chương 3 (Năm học 2018-2019) – Trường An Thới, Kiên Giang (Mã đề 586)

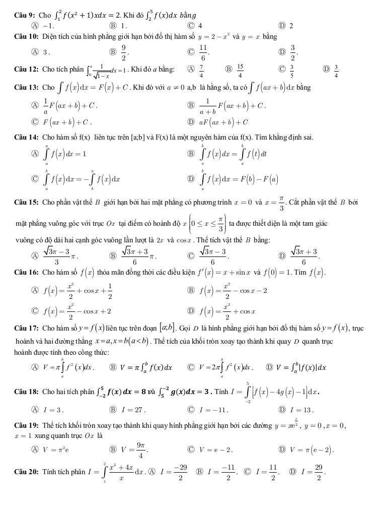
Đề kiểm tra Giải tích 12 chương 3 của trường An Thới, Kiên Giang (mã đề 586) được xây dựng nhằm đánh giá mức độ nắm vững kiến thức về nguyên hàm, tích phân và các ứng dụng cơ bản của chúng đối với học sinh khối 12. Đề thi có cấu trúc trắc nghiệm với 25 câu hỏi, tập trung vào việc kiểm tra khả năng vận dụng các công thức, định lý và phương pháp tính tích phân đã được học. Nhận định ban đầu cho thấy đề thi có độ khó phù hợp với học sinh có lực học trung bình và yếu, hướng đến việc củng cố kiến thức nền tảng.

Phân tích nội dung đề thi qua các câu hỏi trích dẫn:

  1. Câu hỏi về thể tích khối tròn xoay: Câu hỏi "Cho hàm số y = f(x) liên tục trên đoạn [a;b]. Gọi D là hình phẳng giới hạn bởi đồ thị hàm số y = f(x), trục hoành và hai đường thẳng x = a, x = b (a < b). Thể tích của khối tròn xoay tạo thành khi quay D quanh trục hoành được tính theo công thức?" kiểm tra kiến thức cơ bản về phương pháp tính thể tích khối tròn xoay bằng phương pháp đĩa (hoặc phương pháp vòng khuyên). Đây là một ứng dụng quan trọng của tích phân trong hình học, đòi hỏi học sinh phải nắm vững công thức và hiểu rõ cách xác định giới hạn tích phân.
  2. Câu hỏi về thể tích vật thể: Câu hỏi "Cho phần vật thể B giới hạn bởi hai mặt phẳng có phương trình x = 0 và x = pi/3. Cắt phần vật thể B bởi mặt phẳng vuông góc với trục Ox tại điểm có hoành độ x (0 ≤ x ≤ pi/3) ta được thiết diện là một tam giác vuông có độ dài hai cạnh góc vuông lần lượt là 2x và cosx. Thể tích vật thể B bằng?" đánh giá khả năng vận dụng tích phân để tính thể tích vật thể có thiết diện thay đổi. Học sinh cần xác định được diện tích thiết diện theo x và thiết lập tích phân để tính thể tích. Câu hỏi này đòi hỏi sự hiểu biết sâu sắc về khái niệm tích phân và khả năng mô hình hóa bài toán.
  3. Câu hỏi về phương pháp đổi biến số: Câu hỏi "Xét tích phân I = x.e^x^2dx cận từ 1 đến √2. Sử dụng phương pháp đổi biến số với u = x^2, tích phân I được biến đổi thành dạng nào sau đây?" tập trung vào việc kiểm tra kỹ năng sử dụng phương pháp đổi biến số trong tính tích phân. Đây là một kỹ thuật quan trọng giúp đơn giản hóa tích phân phức tạp. Học sinh cần xác định được biến đổi phù hợp và tính đúng cận tích phân mới.

Nhận xét chung:

  • Đề thi tập trung vào các kiến thức cốt lõi của chương 3, bao gồm nguyên hàm, tích phân và ứng dụng của tích phân trong tính diện tích, thể tích.
  • Các câu hỏi được trình bày rõ ràng, dễ hiểu, phù hợp với trình độ của học sinh trung bình và yếu.
  • Việc cung cấp file WORD cho giáo viên là một điểm cộng, giúp giáo viên dễ dàng tiếp cận và sử dụng đề thi trong quá trình giảng dạy.
  • Tuy nhiên, đề thi có thể được nâng cao độ khó bằng cách đưa thêm các câu hỏi vận dụng kiến thức vào các bài toán thực tế hoặc các bài toán có tính chất tổng hợp cao hơn.

Kết luận:

Đề kiểm tra Giải tích 12 chương 3 năm 2018-2019 trường An Thới, Kiên Giang (mã đề 586) là một đề thi có chất lượng, phù hợp với mục tiêu đánh giá kiến thức cơ bản của học sinh. Đề thi có thể được sử dụng làm tài liệu tham khảo hữu ích cho cả giáo viên và học sinh trong quá trình ôn tập và luyện thi.

Chinh phục điểm cao Kỳ thi Tốt nghiệp THPT Quốc gia môn Toán, rộng mở cánh cửa Đại học với nội dung đề kiểm tra giải tích 12 chương 3 năm 2018 – 2019 trường an thới – kiên giang trong chuyên mục giải sgk toán 12 trên nền tảng toán học! Bộ bài tập toán trung học phổ thông, được biên soạn chuyên sâu, bám sát cấu trúc đề thi và chương trình Toán 12, cam kết tối ưu hóa toàn diện lộ trình ôn luyện. Qua đó, học sinh không chỉ làm chủ mọi dạng bài thi mà còn trang bị chiến thuật làm bài hiệu quả, tự tin đạt kết quả đột phá, tạo nền tảng vững chắc cho Kỳ thi Tốt nghiệp THPT Quốc gia và hành trang vững vàng vào đại học, nhờ phương pháp tiếp cận trực quan, khoa học và mang lại hiệu quả học tập vượt trội.
images-post/de-kiem-tra-giai-tich-12-chuong-3-nam-2018-2019-truong-an-thoi-kien-giang-1.jpgimages-post/de-kiem-tra-giai-tich-12-chuong-3-nam-2018-2019-truong-an-thoi-kien-giang-2.jpg

File đề kiểm tra giải tích 12 chương 3 năm 2018 – 2019 trường an thới – kiên giang PDF Chi Tiết

TÌM KIẾM THEO TỪ KHÓA