Logo Header
  1. Môn Toán
  2. đề kiểm tra giữa học kỳ 2 toán 12 năm 2018 – 2019 trường trấn biên – đồng nai

đề kiểm tra giữa học kỳ 2 toán 12 năm 2018 – 2019 trường trấn biên – đồng nai

Bạn đang xem tài liệu đề kiểm tra giữa học kỳ 2 toán 12 năm 2018 – 2019 trường trấn biên – đồng nai được biên soạn theo tài liệu toán mới nhất. Tài liệu này hệ thống hóa kiến thức một cách khoa học, phù hợp cho mọi lộ trình học từ cơ bản đến nâng cao. Hãy khai thác triệt để nội dung để bứt phá điểm số và tự tin chinh phục mọi kỳ thi nhé!

Phân tích Đề Kiểm Tra Giữa Học Kỳ 2 Toán 12 (2018-2019) – Trường THPT Trấn Biên, Đồng Nai (Mã đề 003)

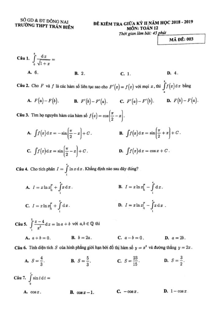
Đề kiểm tra giữa học kỳ 2 môn Toán 12 năm học 2018-2019 của trường THPT Trấn Biên, Đồng Nai (mã đề 003) là một đề thi trắc nghiệm với cấu trúc quen thuộc: 25 câu hỏi, thời gian làm bài 45 phút. Đề tập trung đánh giá kiến thức và kỹ năng của học sinh trong chương trình Giải tích 12, cụ thể là các chủ đề về nguyên hàm, tích phân và ứng dụng của tích phân.

Đánh giá chung về cấu trúc và nội dung đề thi:

  • Tính bao quát: Đề thi bao phủ các khía cạnh quan trọng của chương 3 Giải tích 12, bao gồm:
    • Nguyên hàm của hàm số đơn giản và phức tạp.
    • Tính tích phân xác định và ứng dụng trong tính diện tích hình phẳng.
    • Ứng dụng tích phân trong việc tính công của lực biến thiên.
    • Mối liên hệ giữa nguyên hàm và tích phân (Định lý Newton-Leibniz).
  • Hình thức: Việc sử dụng hình thức trắc nghiệm giúp đánh giá nhanh chóng và khách quan kiến thức của học sinh. Tuy nhiên, hình thức này có thể hạn chế khả năng thể hiện các bước giải chi tiết và suy luận logic của học sinh.
  • Độ khó: Dựa trên các câu hỏi trích dẫn, đề thi có độ khó vừa phải, phù hợp với mục tiêu đánh giá năng lực trung bình của học sinh. Các câu hỏi đòi hỏi học sinh phải nắm vững định nghĩa, công thức và kỹ năng tính toán cơ bản.

Phân tích chi tiết các câu hỏi trích dẫn:

  1. Câu hỏi về diện tích hình phẳng: "Cho hàm số y = ax2 + bx + c có đồ thị là parabol như hình vẽ bên. Tính diện tích phần tô đậm."
  2. Đây là một câu hỏi điển hình về ứng dụng của tích phân để tính diện tích hình phẳng giới hạn bởi đồ thị hàm số và trục hoành (hoặc các đường thẳng). Để giải quyết câu hỏi này, học sinh cần:

    • Xác định được khoảng tích phân dựa trên hình vẽ.
    • Tìm được công thức tính diện tích: S = ∫ab |f(x)| dx
    • Xác định được hệ số a, b, c của parabol để có được phương trình hàm số cụ thể.

    Câu hỏi này kiểm tra khả năng kết hợp kiến thức về hàm số bậc hai và tích phân xác định.

  3. Câu hỏi về ứng dụng tích phân trong vật lý: "Công do một lực biến thiên F(x) tác động vào một vật và gây ra sự dịch chuyển từ x = a đến x = b được tính bởi A = ∫F(x)dx cận từ a đến b. Công sinh ra khi một lực F(x) = √(2x – 1) tác động vào một vật thể làm vật này di chuyển từ x = 1 đến x = 5 có độ lớn bằng?"
  4. Câu hỏi này minh họa ứng dụng thực tế của tích phân trong việc tính công của lực biến thiên. Học sinh cần:

    • Hiểu rõ công thức tính công A = ∫ab F(x) dx
    • Tính tích phân xác định ∫15 √(2x – 1) dx

    Câu hỏi này kiểm tra khả năng vận dụng kiến thức tích phân vào giải quyết bài toán vật lý đơn giản.

  5. Câu hỏi về Định lý Newton-Leibniz: "Cho F và f là các hàm số liên tục sao cho F'(x) = f(x) với mọi x, thì ∫f(x)dx cận từ a đến b bằng?"
  6. Đây là một câu hỏi lý thuyết cơ bản về mối liên hệ giữa nguyên hàm và tích phân. Học sinh cần nắm vững Định lý Newton-Leibniz: ∫ab f(x) dx = F(b) – F(a).

    Câu hỏi này kiểm tra sự hiểu biết về khái niệm nguyên hàm và tích phân, cũng như mối quan hệ giữa chúng.

Kết luận:

Đề kiểm tra giữa học kỳ 2 Toán 12 (2018-2019) – Trường THPT Trấn Biên, Đồng Nai (mã đề 003) là một đề thi có cấu trúc hợp lý, nội dung bao quát và độ khó phù hợp. Đề thi đánh giá tốt kiến thức và kỹ năng của học sinh về nguyên hàm, tích phân và ứng dụng của tích phân. Việc luyện tập với các đề thi tương tự sẽ giúp học sinh củng cố kiến thức và chuẩn bị tốt cho các kỳ thi sắp tới.

Chinh phục điểm cao Kỳ thi Tốt nghiệp THPT Quốc gia môn Toán, rộng mở cánh cửa Đại học với nội dung đề kiểm tra giữa học kỳ 2 toán 12 năm 2018 – 2019 trường trấn biên – đồng nai trong chuyên mục đề thi toán 12 trên nền tảng tài liệu toán! Bộ bài tập lý thuyết toán thpt, được biên soạn chuyên sâu, bám sát cấu trúc đề thi và chương trình Toán 12, cam kết tối ưu hóa toàn diện lộ trình ôn luyện. Qua đó, học sinh không chỉ làm chủ mọi dạng bài thi mà còn trang bị chiến thuật làm bài hiệu quả, tự tin đạt kết quả đột phá, tạo nền tảng vững chắc cho Kỳ thi Tốt nghiệp THPT Quốc gia và hành trang vững vàng vào đại học, nhờ phương pháp tiếp cận trực quan, khoa học và mang lại hiệu quả học tập vượt trội.
images-post/de-kiem-tra-giua-hoc-ky-2-toan-12-nam-2018-2019-truong-tran-bien-dong-nai-1.jpgimages-post/de-kiem-tra-giua-hoc-ky-2-toan-12-nam-2018-2019-truong-tran-bien-dong-nai-2.jpgimages-post/de-kiem-tra-giua-hoc-ky-2-toan-12-nam-2018-2019-truong-tran-bien-dong-nai-3.jpgimages-post/de-kiem-tra-giua-hoc-ky-2-toan-12-nam-2018-2019-truong-tran-bien-dong-nai-4.jpg

File đề kiểm tra giữa học kỳ 2 toán 12 năm 2018 – 2019 trường trấn biên – đồng nai PDF Chi Tiết

TÌM KIẾM THEO TỪ KHÓA