Logo Header
  1. Môn Toán
  2. kiểm tra định kỳ hk2 toán 12 lần 1 năm 2018 – 2019 trường lương định của – cần thơ

kiểm tra định kỳ hk2 toán 12 lần 1 năm 2018 – 2019 trường lương định của – cần thơ

Bạn đang xem tài liệu kiểm tra định kỳ hk2 toán 12 lần 1 năm 2018 – 2019 trường lương định của – cần thơ được biên soạn theo đề thi toán mới nhất. Tài liệu này hệ thống hóa kiến thức một cách khoa học, phù hợp cho mọi lộ trình học từ cơ bản đến nâng cao. Hãy khai thác triệt để nội dung để bứt phá điểm số và tự tin chinh phục mọi kỳ thi nhé!
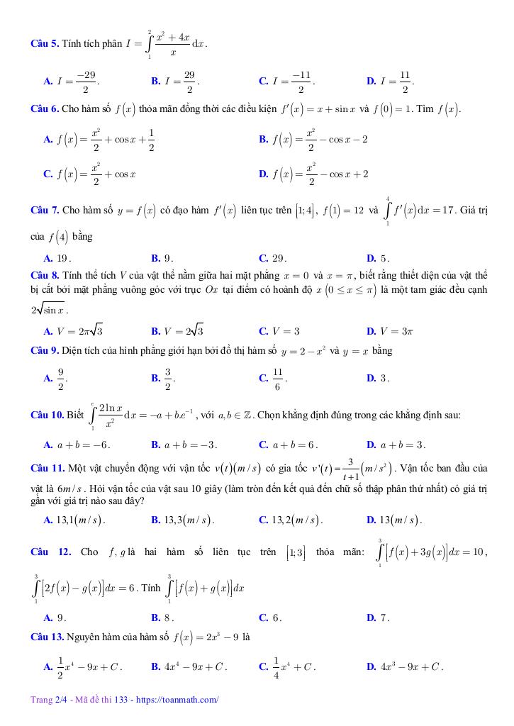
## Phân tích Đề Kiểm tra Định kỳ HK2 Toán 12 – Trường THPT Lương Định Của, Cần Thơ (Năm học 2018-2019) Đề kiểm tra định kỳ học kỳ 2 môn Toán 12, lần 1 năm học 2018-2019 của trường THPT Lương Định Của, Cần Thơ, tập trung đánh giá kiến thức trọng tâm của chương trình Giải tích 12, cụ thể là chương 3: Nguyên hàm, Tích phân và Ứng dụng. Đề thi có cấu trúc rõ ràng, bám sát nội dung chương trình và hướng chuẩn bị cho kỳ thi THPT Quốc gia.

Cấu trúc đề thi:

  • Hình thức: Đề thi trắc nghiệm khách quan.
  • Thời gian: 45 phút.
  • Số lượng câu hỏi: 25 câu.
  • Số trang: 4 trang.
  • Mã đề: Đề thi có nhiều mã đề khác nhau (133, 355, 288, 444) cùng đáp án, đảm bảo tính công bằng và tránh tình trạng học sinh trao đổi bài.

Nội dung chính và đánh giá:

  1. Nguyên hàm và các phương pháp tìm nguyên hàm: Đề thi kiểm tra khả năng nắm vững định nghĩa nguyên hàm, các tính chất của nguyên hàm và các phương pháp tìm nguyên hàm cơ bản (đổi biến, tích phân từng phần).
  2. Tích phân và các phương pháp tính tích phân: Đề thi đánh giá khả năng tính tích phân xác định và không xác định, sử dụng các phương pháp tính tích phân (đổi biến, tích phân từng phần) để giải quyết các bài toán cụ thể.
  3. Ứng dụng của tích phân: Đây là phần trọng tâm của đề thi, tập trung vào các ứng dụng thực tế của tích phân:
    • Tính diện tích hình phẳng: Kiểm tra khả năng sử dụng tích phân để tính diện tích giới hạn bởi các đường cong và trục tọa độ.
    • Tính thể tích vật thể: Đề thi yêu cầu học sinh nắm vững công thức tính thể tích của vật thể khi quay quanh trục Ox, cũng như công thức tính thể tích dựa trên diện tích thiết diện.
    • Giải các bài toán thực tiễn: Đề thi đưa ra các bài toán liên quan đến chuyển động (vận tốc, gia tốc) và yêu cầu học sinh sử dụng tích phân để giải quyết.

Ví dụ minh họa từ đề thi:

  • Câu hỏi về thể tích vật thể: Đề bài yêu cầu viết công thức tính thể tích V của phần vật thể giới hạn bởi hai mặt phẳng vuông góc với trục Ox tại x = a, x = b, với diện tích thiết diện S(x). Đây là một câu hỏi cơ bản, kiểm tra việc nắm vững công thức tính thể tích bằng phương pháp tích phân.
  • Câu hỏi về chuyển động: Bài toán về vật chuyển động với vận tốc v(t) và gia tốc v'(t) yêu cầu tính vận tốc sau 10 giây. Đây là một bài toán ứng dụng, đòi hỏi học sinh phải sử dụng tích phân để tìm vận tốc từ gia tốc và vận tốc ban đầu.
  • Câu hỏi về thể tích khối tròn xoay: Yêu cầu viết công thức tính thể tích khối tròn xoay tạo thành khi quay hình thang cong quanh trục Ox. Câu hỏi này kiểm tra khả năng áp dụng công thức tính thể tích khối tròn xoay.

Nhận xét chung:

Đề thi có độ khó vừa phải, phân loại rõ ràng học sinh. Các câu hỏi được trình bày rõ ràng, dễ hiểu, tập trung vào các kiến thức trọng tâm của chương trình. Đề thi có tính ứng dụng cao, giúp học sinh rèn luyện kỹ năng giải quyết các bài toán thực tế. Việc cung cấp đáp án cho nhiều mã đề là một điểm cộng, giúp giáo viên dễ dàng chấm và đánh giá kết quả học tập của học sinh.

Tài liệu tham khảo:

File WORD (dành cho quý thầy, cô): TẢI XUỐNG

Chinh phục điểm cao Kỳ thi Tốt nghiệp THPT Quốc gia môn Toán, rộng mở cánh cửa Đại học với nội dung kiểm tra định kỳ hk2 toán 12 lần 1 năm 2018 – 2019 trường lương định của – cần thơ trong chuyên mục sgk toán 12 trên nền tảng đề thi toán! Bộ bài tập toán thpt, được biên soạn chuyên sâu, bám sát cấu trúc đề thi và chương trình Toán 12, cam kết tối ưu hóa toàn diện lộ trình ôn luyện. Qua đó, học sinh không chỉ làm chủ mọi dạng bài thi mà còn trang bị chiến thuật làm bài hiệu quả, tự tin đạt kết quả đột phá, tạo nền tảng vững chắc cho Kỳ thi Tốt nghiệp THPT Quốc gia và hành trang vững vàng vào đại học, nhờ phương pháp tiếp cận trực quan, khoa học và mang lại hiệu quả học tập vượt trội.
images-post/kiem-tra-dinh-ky-hk2-toan-12-lan-1-nam-2018-2019-truong-luong-dinh-cua-can-tho-1.jpgimages-post/kiem-tra-dinh-ky-hk2-toan-12-lan-1-nam-2018-2019-truong-luong-dinh-cua-can-tho-2.jpgimages-post/kiem-tra-dinh-ky-hk2-toan-12-lan-1-nam-2018-2019-truong-luong-dinh-cua-can-tho-3.jpgimages-post/kiem-tra-dinh-ky-hk2-toan-12-lan-1-nam-2018-2019-truong-luong-dinh-cua-can-tho-4.jpgimages-post/kiem-tra-dinh-ky-hk2-toan-12-lan-1-nam-2018-2019-truong-luong-dinh-cua-can-tho-5.jpg

File kiểm tra định kỳ hk2 toán 12 lần 1 năm 2018 – 2019 trường lương định của – cần thơ PDF Chi Tiết

TÌM KIẾM THEO TỪ KHÓA