Logo Header
  1. Môn Toán
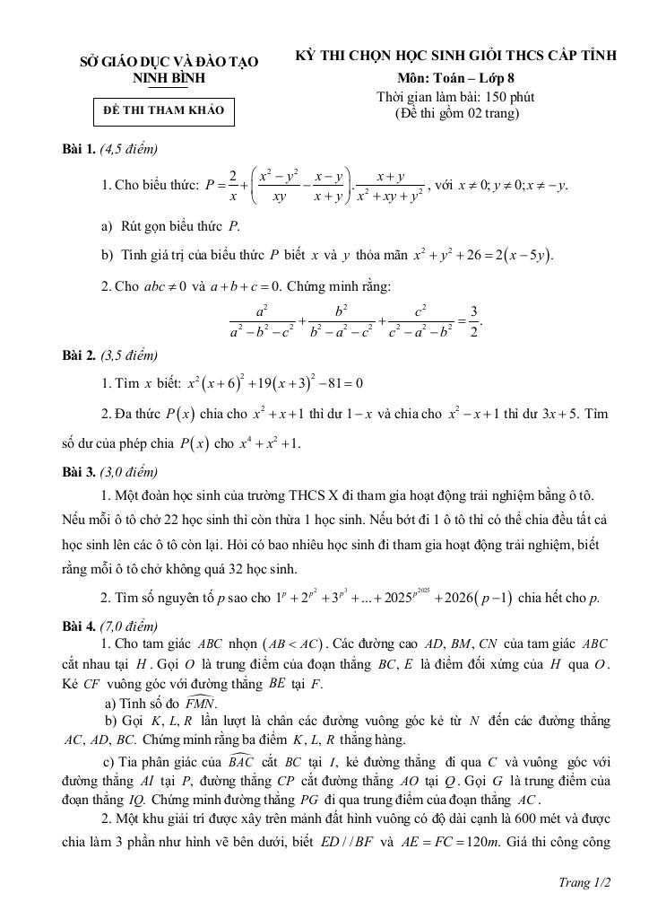
  2. đề tham khảo chọn hsg tỉnh toán 8 năm 2025 – 2026 sở gd&đt ninh bình

đề tham khảo chọn hsg tỉnh toán 8 năm 2025 – 2026 sở gd&đt ninh bình

Bạn đang xem tài liệu đề tham khảo chọn hsg tỉnh toán 8 năm 2025 – 2026 sở gd&đt ninh bình được biên soạn theo môn toán mới nhất. Tài liệu này hệ thống hóa kiến thức một cách khoa học, phù hợp cho mọi lộ trình học từ cơ bản đến nâng cao. Hãy khai thác triệt để nội dung để bứt phá điểm số và tự tin chinh phục mọi kỳ thi nhé!
Khám phá ngay nội dung đề tham khảo chọn hsg tỉnh toán 8 năm 2025 – 2026 sở gd&đt ninh bình trong chuyên mục bài tập toán 8 trên nền tảng môn toán và tự tin chinh phục Toán lớp 8! Được biên soạn chuyên sâu và bám sát chặt chẽ chương trình sách giáo khoa hiện hành, bộ bài tập toán thcs cam kết tối ưu hóa toàn diện quá trình ôn luyện, giúp học sinh không chỉ củng cố vững chắc kiến thức nền tảng mà còn giải quyết thành thạo các dạng bài tập phức tạp, thông qua phương pháp tiếp cận trực quan, logic và mang lại hiệu quả học tập vượt trội.
images-post/de-tham-khao-chon-hsg-tinh-toan-8-nam-2025-2026-so-gd-dt-ninh-binh-1.jpgimages-post/de-tham-khao-chon-hsg-tinh-toan-8-nam-2025-2026-so-gd-dt-ninh-binh-2.jpgimages-post/de-tham-khao-chon-hsg-tinh-toan-8-nam-2025-2026-so-gd-dt-ninh-binh-3.jpgimages-post/de-tham-khao-chon-hsg-tinh-toan-8-nam-2025-2026-so-gd-dt-ninh-binh-4.jpgimages-post/de-tham-khao-chon-hsg-tinh-toan-8-nam-2025-2026-so-gd-dt-ninh-binh-5.jpg

File đề tham khảo chọn hsg tỉnh toán 8 năm 2025 – 2026 sở gd&đt ninh bình PDF Chi Tiết

TÌM KIẾM THEO TỪ KHÓA