Chào mừng các em học sinh đến với đề thi học kì 1 Toán 10 Kết nối tri thức - Đề số 12 của giaibaitoan.com. Đề thi này được biên soạn theo chuẩn chương trình Kết nối tri thức, giúp các em làm quen với cấu trúc đề thi và rèn luyện kỹ năng giải toán.
Đề thi bao gồm các dạng bài tập khác nhau, từ trắc nghiệm đến tự luận, bao phủ toàn bộ kiến thức trọng tâm của học kì 1.
Có bao nhiêu phát biểu dưới đây là mệnh đề?
1) “17 là số nguyên tố”.
2) “Tam giác vuông có một đường trung tuyến bằng một nửa cạnh huyền".3) "Các em hãy cố gắng học tập thật tốt nhé"!4) "Mọi hình chữ nhật đều nội tiếp được đường tròn".
4
3
2
1
Cho \(a,b \in \mathbb{R}\), a < b. Cách viết nào đúng?
\(a \subset [a;b]\)
\(\left\{ a \right\} \subset [a;b]\)
\(\left\{ a \right\} \in [a;b]\)
\(a \in (a;b]\)
Điểm O(0;0) không thuộc miền nghiệm của hệ bất phương trình nào dưới đây?
\(\left\{ \begin{array}{l}x + 3y < 0\\2x + y + 4 > 0\end{array} \right.\)
\(\left\{ \begin{array}{l}x + 3y \ge 0\\2x + y - 4 < 0\end{array} \right.\)
\(\left\{ \begin{array}{l}x + 3y - 6 < 0\\2x + y + 4 > 0\end{array} \right.\)
\(\left\{ \begin{array}{l}x + 3y - 6 < 0\\2x + y + 4 \ge 0\end{array} \right.\)
Trong các hệ sau, hệ nào không phải là hệ bất phương trình bậc nhất hai ẩn?
\(\left\{ \begin{array}{l}x - 3y > 4\\2x + y \le 12\\y \ge 1\end{array} \right.\)
\(\left\{ \begin{array}{l}x - 1 > 3\\y + 3 \le \pi \end{array} \right.\)
\(\left\{ \begin{array}{l}x + y \le 14\\ - 3 < x \le 5\end{array} \right.\)
\(\left\{ \begin{array}{l}x - y < 4\\{x^2} + 2y \le 15\end{array} \right.\)
Trong các hệ thức sau, hệ thức nào đúng?
\(\sin {150^o} = \frac{1}{2}\)
\(\cos {150^o} = - \frac{1}{2}\)
\(\tan {150^o} = \sqrt 3 \)
\(\cot {150^o} = \frac{1}{{\sqrt 3 }}\)
Cho tam giác ABC có AB = c, AC = b, CB = a, R là bán kính đường tròn ngoại tiếp. Hệ thức nào sau đây là sai?
\(\frac{a}{{\sin A}} = 2R\)
\(\sin A = \frac{a}{{2R}}\)
\(b\sin B = 2R\)
\(\sin C = \frac{{c\sin A}}{a}\)
Cho các vecto \(\overrightarrow a ,\overrightarrow b ,\overrightarrow c ,\overrightarrow u \) và \(\overrightarrow v \) như trong hình dưới. Hỏi có bao nhiêu vecto cùng hướng với \(\overrightarrow u \)?

4
2
3
1
Trong mặt phẳng với hệ trục tọa độ Oxy, cho tam giác ABC với A(-3;6), B(9;-10) và G\(\left( {\frac{1}{3};0} \right)\). Tọa độ điểm C là
C(5;-4)
C(5;4)
C(-5;4)
C(-5;-4)
Trong hệ trục \(\left( {O;\overrightarrow i ;\overrightarrow j } \right)\), cho vecto \(\overrightarrow {OM} = 3\left( {\overrightarrow i + 4\overrightarrow j } \right) + 5\overrightarrow j - 2\overrightarrow i \). Tọa độ điểm M là
(-1;-9)
(1;17)
(-1;-17)
(-3;2)
Cho tam giác ABC đều cạnh bằng a. Tính \(\overrightarrow {AB} .\overrightarrow {BC} \).
\(\overrightarrow {AB} .\overrightarrow {BC} = \frac{{{a^2}\sqrt 3 }}{2}\)
\(\overrightarrow {AB} .\overrightarrow {BC} = - \frac{{{a^2}\sqrt 3 }}{2}\)
\(\overrightarrow {AB} .\overrightarrow {BC} = \frac{{{a^2}}}{2}\)
\(\overrightarrow {AB} .\overrightarrow {BC} = - \frac{{{a^2}}}{2}\)
Chiều cao của một ngòn đồi là \(\overline h = 347,13m \pm 0,2m\). Độ chính xác d của phép đo trên là
d = 347,13 m
d = 347,33 m
d = 0,2 m
d = 346,93 m
Tìm khoảng biến thiên của mẫu số liệu sau:
22, 24, 33, 17, 11, 4, 18, 87, 72, 30.
33
83
89
82
Một công ty viễn thông tính phí 1 nghìn đồng mỗi phút gọi nội mạng và 2 nghìn đồng mỗi phút gọi ngoại mạng. Gọi x, y lần lượt là số phút gọi nội mạng, ngoại mạng của Bình trong một tháng và Bình muốn số tiền phải trả cho tổng đài luôn thấp hơn 100 nghìn đồng.
a) Số tiền phải trả cho cuộc gọi nội mạng mỗi tháng là x (nghìn đồng), số tiền phải trả cho cuộc gọi ngoại mạng mỗi tháng là 2y (nghìn đồng). Điều kiện: \(x,y \in \mathbb{N}\).
b) Bất phương trình bậc nhất cho hai ẩn x, y là x + 2y \( \le \) 100.
c) Trong một tháng, Bình có thể gọi 50 phút nội mạng và 20 phút ngoại mạng mà số tiền phải trả không đến 100 nghìn đồng.
d) Miền nghiệm của bất phương trình bậc nhất gồm hai ẩn x, y biểu diễn số tiền phải trả cho tổng đài là một hình tam giác.
Cho \(\cos \alpha = \frac{1}{2}\) với \({0^o} < \alpha < {90^o}\).
a) \(\alpha = {60^o}\).
b) \(\sin \alpha < 0\).
c) \({\tan ^2}\alpha = 3\).
d) Giá trị biểu thức \(P = 3{\sin ^2}\alpha + 4{\cos ^2}\alpha = \frac{{13}}{4}\).
Cho ABCD là hình vuông tâm O.
a) \(\overrightarrow {AB} + \overrightarrow {AD} = \overrightarrow {AC} \).
b) \(\left| {\overrightarrow {AB} + \overrightarrow {OD} } \right| = AO\).
c) \(\left| {\overrightarrow {AB} - \overrightarrow {OC} + \overrightarrow {OD} } \right| = 0\).
d) Tập hợp điểm M thỏa mãn đẳng thức \(\left| {\overrightarrow {MA} - \overrightarrow {MB} - \overrightarrow {MC} + \overrightarrow {MD} } \right| = MO\) là một điểm.
Cho mẫu số liệu thống kê về sản lượng chè thu được trong một năm (kg/sào) của 10 hộ gia đình.

a) Sản lượng chè trung bình thu được trong một năm của mỗi gia đình là 113,6.
b) Khoảng biến thiên của mẫu số liệu là 5.
c) Số trung vị là 113.
d) Khoảng tứ phân vị của mẫu số liệu đã cho là 3.
Cho hai tập hợp khác rỗng A = (m – 1; 4], B = (-2; 2m + 2) với \(m \in \mathbb{R}\). Có bao nhiêu giá trị nguyên m để \(A \cap B \ne \emptyset \)?
Đáp án:
Có ba nhóm máy A, B, C dùng để sản xuất ra hai loại sản phẩm I và II. Để sản xuất một đơn vị sản phẩm mỗi loại lần lượt dùng các máy thuộc các nhóm khác nhau. Số máy trong một nhóm của từng nhóm cần thiết để sản xuất ra một đơn vị sản phẩm thuộc mỗi loại được cho trong bảng sau:

Một đơn vị sản phẩm I lãi 30 nghìn đồng, một đơn vị sản phẩm II lãi 50 nghìn đồng. Để thu được lãi cao nhất, nhà máy cần sản xuất x sản phẩm I và y sản phẩm II. Tính x – y.
Đáp án:
Một người quan sát đỉnh của một ngọn núi nhân tạo từ hai vị trí khác nhau của tòa nhà. Lần đầu tiên người đó quan sát đỉnh núi từ tầng trệt với phương nhìn tạo với phương nằm ngang \({35^o}\) và lần thứ hai người này quan sát tại sân thượng của cùng tòa nhà đó với phương nằm ngang \({15^o}\) (như hình vẽ). Tính chiều cao ngọn núi biết rằng tòa nhà cao 60 m (kết quả làm tròn đến hàng phần mười).

Đáp án:
Một vật đang ở vị trí O chịu hai lực tác dụng ngược chiều nhau là \(\overrightarrow {{F_1}} \) và \(\overrightarrow {{F_2}} \), trong đó độ lớn lực \(\overrightarrow {{F_2}} \) lớn gấp đôi độ lớn lực \(\overrightarrow {{F_1}} \). Người ta muốn vật dừng nên cần tác dụng vào vật hai lực \(\overrightarrow {{F_3}} \) và \(\overrightarrow {{F_4}} \) có phương hợp với lực \(\overrightarrow {{F_1}} \) các góc \({45^o}\) như hình vẽ, chúng có độ lớn bằng nhau và bằng 20 N. Tính tổng độ lớn của hai lực \(\overrightarrow {{F_1}} \) và \(\overrightarrow {{F_2}} \) (làm tròn kết quả đến hàng phần mười).

Đáp án:
Trong mặt phẳng Oxy cho các điểm A(-1;2), B(5;8). Điểm \(M \in Ox\) sao cho tam giác MAB vuông tại A. Diện tích tam giác MAB bằng bao nhiêu?
Đáp án:
Cho bảng phân bố tần số như sau:

Tìm n để \({M_0} = {x_2};{M_0} = {x_4}\) là hai mốt của bảng số liệu trên.
Đáp án:
Có bao nhiêu phát biểu dưới đây là mệnh đề?
1) “17 là số nguyên tố”.
2) “Tam giác vuông có một đường trung tuyến bằng một nửa cạnh huyền".3) "Các em hãy cố gắng học tập thật tốt nhé"!4) "Mọi hình chữ nhật đều nội tiếp được đường tròn".
4
3
2
1
Đáp án : B
Mệnh đề là một khẳng định có tính đúng sai.
Chỉ có câu 3. không phải mệnh đề.
Cho \(a,b \in \mathbb{R}\), a < b. Cách viết nào đúng?
\(a \subset [a;b]\)
\(\left\{ a \right\} \subset [a;b]\)
\(\left\{ a \right\} \in [a;b]\)
\(a \in (a;b]\)
Đáp án : B
Áp dụng quy tắc viết kí hiệu bao hàm giữa phần tử và tập hợp, giữa tập hợp và tập hợp.
A sai vì a là phần tử, không dùng kí hiệu \( \subset \).
B đúng.
C sai vì {a} là tập hợp chứa 1 phần tử a, không dùng kí hiệu \( \in \).
D sai vì (a;b] là tập hợp không chứa phần tử a.
Điểm O(0;0) không thuộc miền nghiệm của hệ bất phương trình nào dưới đây?
\(\left\{ \begin{array}{l}x + 3y < 0\\2x + y + 4 > 0\end{array} \right.\)
\(\left\{ \begin{array}{l}x + 3y \ge 0\\2x + y - 4 < 0\end{array} \right.\)
\(\left\{ \begin{array}{l}x + 3y - 6 < 0\\2x + y + 4 > 0\end{array} \right.\)
\(\left\{ \begin{array}{l}x + 3y - 6 < 0\\2x + y + 4 \ge 0\end{array} \right.\)
Đáp án : A
Thay cặp số vào từng hệ bất phương trình, nếu thỏa mãn thì là nghiệm của hệ bất phương trình đó.
Thay tọa độ của O(0;0) vào tất cả các bất phương trình trên, chỉ thấy \(0 + 3.0 < 0\) là sai.
Vậy O(0;0) không phải là nghiệm của hệ \(\left\{ \begin{array}{l}x + 3y < 0\\2x + y + 4 > 0\end{array} \right.\).
Trong các hệ sau, hệ nào không phải là hệ bất phương trình bậc nhất hai ẩn?
\(\left\{ \begin{array}{l}x - 3y > 4\\2x + y \le 12\\y \ge 1\end{array} \right.\)
\(\left\{ \begin{array}{l}x - 1 > 3\\y + 3 \le \pi \end{array} \right.\)
\(\left\{ \begin{array}{l}x + y \le 14\\ - 3 < x \le 5\end{array} \right.\)
\(\left\{ \begin{array}{l}x - y < 4\\{x^2} + 2y \le 15\end{array} \right.\)
Đáp án : D
Hệ bất phương trình bậc nhất hai ẩn là hệ gồm các bất phương trình bậc nhất hai ẩn.
Hệ ở đáp án D không là hệ bất phương trình bậc nhất hai ẩn vì hệ này chứa một bất phươngtrình bậc hai \({x^2} + 2y \le 15\).
Trong các hệ thức sau, hệ thức nào đúng?
\(\sin {150^o} = \frac{1}{2}\)
\(\cos {150^o} = - \frac{1}{2}\)
\(\tan {150^o} = \sqrt 3 \)
\(\cot {150^o} = \frac{1}{{\sqrt 3 }}\)
Đáp án : A
Tra bảng giá trị lượng giác của các góc có số đo đặc biệt hoặc sử dụng máy tính cá nhân.
\(\sin {150^o} = \frac{1}{2}\); \(\cos {150^o} = - \frac{{\sqrt 3 }}{2}\); \(\tan {150^o} = - \frac{{\sqrt 3 }}{3}\); \(\cot {150^o} = - \sqrt 3 \).
Cho tam giác ABC có AB = c, AC = b, CB = a, R là bán kính đường tròn ngoại tiếp. Hệ thức nào sau đây là sai?
\(\frac{a}{{\sin A}} = 2R\)
\(\sin A = \frac{a}{{2R}}\)
\(b\sin B = 2R\)
\(\sin C = \frac{{c\sin A}}{a}\)
Đáp án : C
Sử dụng định lí Sin trong tam giác ABC.
Theo định lí Sin: \(\frac{a}{{\sin A}} = \frac{b}{{\sin B}} = \frac{c}{{\sin C}} = 2R\).
Cho các vecto \(\overrightarrow a ,\overrightarrow b ,\overrightarrow c ,\overrightarrow u \) và \(\overrightarrow v \) như trong hình dưới. Hỏi có bao nhiêu vecto cùng hướng với \(\overrightarrow u \)?

4
2
3
1
Đáp án : B
Quan sát hình vẽ. Các vecto cùng hướng có giá song song và cùng chiều nhau.
Các vecto cùng hướng với \(\overrightarrow u \) là \(\overrightarrow a \) và \(\overrightarrow v \).
Trong mặt phẳng với hệ trục tọa độ Oxy, cho tam giác ABC với A(-3;6), B(9;-10) và G\(\left( {\frac{1}{3};0} \right)\). Tọa độ điểm C là
C(5;-4)
C(5;4)
C(-5;4)
C(-5;-4)
Đáp án : C
Tọa độ điểm G là trọng tâm tam giác ABC là \(\left\{ \begin{array}{l}{x_G} = \frac{{{x_A} + {x_B} + {x_C}}}{3}\\{y_G} = \frac{{{y_A} + {y_B} + {y_C}}}{3}\end{array} \right.\)
Ta có \(\left\{ \begin{array}{l}{x_G} = \frac{{{x_A} + {x_B} + {x_C}}}{3}\\{y_G} = \frac{{{y_A} + {y_B} + {y_C}}}{3}\end{array} \right.\) suy ra \(\left\{ \begin{array}{l}{x_c} = 3{x_G} - {x_A} - {x_B} = 3.\frac{1}{3} + 3 - 9 = - 5\\{y_c} = 3{y_G} - {y_A} - {y_B} = 3.0 - 6 + 10 = 4\end{array} \right.\)
Vậy C(-5;4).
Trong hệ trục \(\left( {O;\overrightarrow i ;\overrightarrow j } \right)\), cho vecto \(\overrightarrow {OM} = 3\left( {\overrightarrow i + 4\overrightarrow j } \right) + 5\overrightarrow j - 2\overrightarrow i \). Tọa độ điểm M là
(-1;-9)
(1;17)
(-1;-17)
(-3;2)
Đáp án : B
Sử dụng biểu thức tọa độ các phép cộng, trừ hai vecto, tích của vecto với một số.
Ta có \(\overrightarrow i = (1;0)\), \(j = (0;1)\).
\(\overrightarrow {OM} = 3\left( {\overrightarrow i + 4\overrightarrow j } \right) + 5\overrightarrow j - 2\overrightarrow i = 3\overrightarrow i + 12\overrightarrow j + 5\overrightarrow j - 2\overrightarrow i = \overrightarrow i + 17\overrightarrow j = (1;17)\).
Cho tam giác ABC đều cạnh bằng a. Tính \(\overrightarrow {AB} .\overrightarrow {BC} \).
\(\overrightarrow {AB} .\overrightarrow {BC} = \frac{{{a^2}\sqrt 3 }}{2}\)
\(\overrightarrow {AB} .\overrightarrow {BC} = - \frac{{{a^2}\sqrt 3 }}{2}\)
\(\overrightarrow {AB} .\overrightarrow {BC} = \frac{{{a^2}}}{2}\)
\(\overrightarrow {AB} .\overrightarrow {BC} = - \frac{{{a^2}}}{2}\)
Đáp án : D
Công thức tính tích vô hướng: \(\overrightarrow a .\overrightarrow b = \left| {\overrightarrow a } \right|.\left| {\overrightarrow b } \right|\cos \left( {\overrightarrow a ,\overrightarrow b } \right)\).
Ta có: \(\overrightarrow {BA} .\overrightarrow {BC} = \left| {\overrightarrow {BA} } \right|.\left| {\overrightarrow {BC} } \right|\cos \left( {\overrightarrow {BA} ,\overrightarrow {BC} } \right) = BA.BC\cos \widehat {ABC} = a.a\cos {60^o} = \frac{{{a^2}}}{2}\).
Suy ra \(\overrightarrow {AB} .\overrightarrow {BC} = - \overrightarrow {BA} .\overrightarrow {BC} = - \frac{{{a^2}}}{2}\).
Chiều cao của một ngòn đồi là \(\overline h = 347,13m \pm 0,2m\). Độ chính xác d của phép đo trên là
d = 347,13 m
d = 347,33 m
d = 0,2 m
d = 346,93 m
Đáp án : C
a là số gần đúng của \(\overline a \) với độ chính xác d, quy ước viết gọn là \(\overline a = a \pm d\).
Độ chính xác của phép đo trên là d = 0,2 m.
Tìm khoảng biến thiên của mẫu số liệu sau:
22, 24, 33, 17, 11, 4, 18, 87, 72, 30.
33
83
89
82
Đáp án : B
Xác định khoảng biến thiên bằng cách lấy giá trị lớn nhất trừ đi giá trị nhỏ nhất.
Giá trị nhỏ nhất của mẫu số liệu là 4. Giá trị lớn nhất của mẫu số liệu là 87.
Khoảng biến thiên của mẫu số liệu là R = 87 – 4 = 83.
Một công ty viễn thông tính phí 1 nghìn đồng mỗi phút gọi nội mạng và 2 nghìn đồng mỗi phút gọi ngoại mạng. Gọi x, y lần lượt là số phút gọi nội mạng, ngoại mạng của Bình trong một tháng và Bình muốn số tiền phải trả cho tổng đài luôn thấp hơn 100 nghìn đồng.
a) Số tiền phải trả cho cuộc gọi nội mạng mỗi tháng là x (nghìn đồng), số tiền phải trả cho cuộc gọi ngoại mạng mỗi tháng là 2y (nghìn đồng). Điều kiện: \(x,y \in \mathbb{N}\).
b) Bất phương trình bậc nhất cho hai ẩn x, y là x + 2y \( \le \) 100.
c) Trong một tháng, Bình có thể gọi 50 phút nội mạng và 20 phút ngoại mạng mà số tiền phải trả không đến 100 nghìn đồng.
d) Miền nghiệm của bất phương trình bậc nhất gồm hai ẩn x, y biểu diễn số tiền phải trả cho tổng đài là một hình tam giác.
a) Số tiền phải trả cho cuộc gọi nội mạng mỗi tháng là x (nghìn đồng), số tiền phải trả cho cuộc gọi ngoại mạng mỗi tháng là 2y (nghìn đồng). Điều kiện: \(x,y \in \mathbb{N}\).
b) Bất phương trình bậc nhất cho hai ẩn x, y là x + 2y \( \le \) 100.
c) Trong một tháng, Bình có thể gọi 50 phút nội mạng và 20 phút ngoại mạng mà số tiền phải trả không đến 100 nghìn đồng.
d) Miền nghiệm của bất phương trình bậc nhất gồm hai ẩn x, y biểu diễn số tiền phải trả cho tổng đài là một hình tam giác.
Ứng dụng bất phương trình bậc nhất hai ẩn để giải.
a) Đúng. Số tiền phải trả cho cuộc gọi nội mạng mỗi tháng là x (nghìn đồng), số tiền phải trả cho cuộc gọi ngoại mạng mỗi tháng là 2y (nghìn đồng). Điều kiện: \(x,y \in \mathbb{N}\).
b) Sai. Vì mỗi tuần Bình chỉ bỏ ra số tiền thấp hơn 100 nghìn đồng nên ta có bất phương trình:
x + 2y < 100.
c) Đúng. Thay cặp số (50;20) vào bất phương trình vừa tìm: \(50 + 2.20 < 100\) (đúng).
Vậy trong một tháng, Bình có thể gọi 50 phút nội mạng và 20 phút ngoại mạng mà số tiền phải trả không đến 100 nghìn đồng.
d) Đúng. Vẽ đường thẳng (d): x + 2y = 100 đi qua hai điểm A(0;50) và B(100;0).
Thay tọa độ điểm O(0;0) vào bất phương trình: 0 + 2.0 < 100 (đúng) nên O(0;0) thuộc miền nghiệm.
Vậy miền nghiệm của x + 2y < 100 là nửa mặt phẳng (không kể d) chứa điểm O (phần không gạch chéo).

Kết hợp điều kiện \(x,y \in \mathbb{N}\) ta có miền nghiệm là miền tam giác OAB.
Cho \(\cos \alpha = \frac{1}{2}\) với \({0^o} < \alpha < {90^o}\).
a) \(\alpha = {60^o}\).
b) \(\sin \alpha < 0\).
c) \({\tan ^2}\alpha = 3\).
d) Giá trị biểu thức \(P = 3{\sin ^2}\alpha + 4{\cos ^2}\alpha = \frac{{13}}{4}\).
a) \(\alpha = {60^o}\).
b) \(\sin \alpha < 0\).
c) \({\tan ^2}\alpha = 3\).
d) Giá trị biểu thức \(P = 3{\sin ^2}\alpha + 4{\cos ^2}\alpha = \frac{{13}}{4}\).
Sử dụng các đẳng thức lượng giác \(1 + {\tan ^2}\alpha = \frac{1}{{{{\cos }^2}\alpha }}\), \({\sin ^2}\alpha + {\cos ^2}\alpha = 1\).
a) Đúng. \(\cos \alpha = \frac{1}{2} \Rightarrow \alpha = {60^o}\).
b) Sai. Các góc \({0^o} < \alpha < {180^o}\) có giá trị sin dương nên với \({0^o} < \alpha < {90^o}\) thì \(\sin \alpha > 0\).
c) Đúng. \({\tan ^2}\alpha = \frac{1}{{{{\cos }^2}\alpha }} - 1 = \frac{1}{{{{\left( {\frac{1}{2}} \right)}^2}}} - 1 = 3\).
d) Sai. Ta có:
\(P = 3{\sin ^2}\alpha + 4{\cos ^2}\alpha = 3(1 - {\cos ^2}\alpha ) + 4{\cos ^2}\alpha = 3 + {\cos ^2}\alpha = 3 + {\left( {\frac{1}{2}} \right)^2} = \frac{{13}}{4}\).
Cho ABCD là hình vuông tâm O.
a) \(\overrightarrow {AB} + \overrightarrow {AD} = \overrightarrow {AC} \).
b) \(\left| {\overrightarrow {AB} + \overrightarrow {OD} } \right| = AO\).
c) \(\left| {\overrightarrow {AB} - \overrightarrow {OC} + \overrightarrow {OD} } \right| = 0\).
d) Tập hợp điểm M thỏa mãn đẳng thức \(\left| {\overrightarrow {MA} - \overrightarrow {MB} - \overrightarrow {MC} + \overrightarrow {MD} } \right| = MO\) là một điểm.
a) \(\overrightarrow {AB} + \overrightarrow {AD} = \overrightarrow {AC} \).
b) \(\left| {\overrightarrow {AB} + \overrightarrow {OD} } \right| = AO\).
c) \(\left| {\overrightarrow {AB} - \overrightarrow {OC} + \overrightarrow {OD} } \right| = 0\).
d) Tập hợp điểm M thỏa mãn đẳng thức \(\left| {\overrightarrow {MA} - \overrightarrow {MB} - \overrightarrow {MC} + \overrightarrow {MD} } \right| = MO\) là một điểm.
Áp dụng quy tắc ba điểm, quy tắc hình bình hành, tính chất trung điểm đối với vecto, quy tắc cộng, trừ hai vecto.

a) Đúng. Vì ABCD là hình vuông nên áp dụng quy tắc hình bình hành, ta có: \(\overrightarrow {AB} + \overrightarrow {AD} = \overrightarrow {AC} \).
b) Đúng. O là trung điểm của BD nên \(\overrightarrow {OD} = \overrightarrow {BO} \).
Ta có \(\left| {\overrightarrow {AB} + \overrightarrow {OD} } \right| = \left| {\overrightarrow {AB} + \overrightarrow {BO} } \right| = \left| {\overrightarrow {AO} } \right| = AO\).
c) Đúng. O là trung điểm của AC nên \(\overrightarrow {OC} = \overrightarrow {AO} \).
Ta có \(\left| {\overrightarrow {AB} - \overrightarrow {OC} + \overrightarrow {OD} } \right| = \left| {\overrightarrow {AB} - \overrightarrow {AO} + \overrightarrow {OD} } \right| = \left| {\overrightarrow {AB} + \overrightarrow {OA} + \overrightarrow {OD} } \right| = \left| {\overrightarrow {OB} + \overrightarrow {OD} } \right| = \left| {\overrightarrow 0 } \right| = 0\).
d) Sai. Gọi B’ là điểm đối xứng với B qua A. Khi đó B’ cố định và \(\overrightarrow {BB'} = 2\overrightarrow {BA} \).
\(\left| {\overrightarrow {MA} - \overrightarrow {MB} - \overrightarrow {MC} + \overrightarrow {MD} } \right| = \left| {\left( {\overrightarrow {MA} - \overrightarrow {MB} } \right) - \left( {\overrightarrow {MC} + \overrightarrow {MD} } \right)} \right| = \left| {\overrightarrow {BA} - \overrightarrow {DC} } \right| = \left| {\overrightarrow {BA} + \overrightarrow {BA} } \right| = \left| {\overrightarrow {BB'} } \right| = BB'\).
Suy ra \(BB' = MO\). Vậy tập hợp điểm M là đường tròn tâm O bán kính R = BB’.
Cho mẫu số liệu thống kê về sản lượng chè thu được trong một năm (kg/sào) của 10 hộ gia đình.

a) Sản lượng chè trung bình thu được trong một năm của mỗi gia đình là 113,6.
b) Khoảng biến thiên của mẫu số liệu là 5.
c) Số trung vị là 113.
d) Khoảng tứ phân vị của mẫu số liệu đã cho là 3.
a) Sản lượng chè trung bình thu được trong một năm của mỗi gia đình là 113,6.
b) Khoảng biến thiên của mẫu số liệu là 5.
c) Số trung vị là 113.
d) Khoảng tứ phân vị của mẫu số liệu đã cho là 3.
Sử dụng công thức tính số trung bình, khoảng biến thiên.
Số trung vị là giá trị ở chính giữa khi sắp xếp dãy số liệu theo thứ tự không giảm.
Khoảng tứ phân vị là hiệu của tứ phân vị thứ ba và tứ phân vị thứ nhất.

a) Đúng. Sản lượng chè trung bình một năm của mỗi hộ gia đình là:
\(\overline x = \frac{{111.1 + 112.2 + 113.1 + 114.3 + 115.2 + 116.1}}{{1 + 2 + 1 + 3 + 2 + 1}} = 113,6\).
b) Đúng. Khoảng biến thiên của mẫu số liệu là R = 116 – 111 = 5.
c) Sai. Sắp xếp mẫu số liệu gốc theo thứ tự không giảm. Gọi các giá trị đó lần lượt là \({x_1};{x_2};...;{x_{10}}\).
Trung vị của mẫu số liệu là \(\frac{{{x_5} + {x_6}}}{2} = \frac{{114 + 114}}{2} = 114\).
d) Đúng. Bên trái trung vị có 5 giá trị nên tứ phân vị thứ nhất là \({Q_1} = {x_3} = 112\).
Bên phải trung vị có 5 giá trị nên tứ phân vị thứ ba là \({Q_3} = {x_8} = 115\).
Vậy khoảng tứ phân vị là \({\Delta _Q} = {Q_3} - {Q_1} = 115 - 112 = 3\).
Cho hai tập hợp khác rỗng A = (m – 1; 4], B = (-2; 2m + 2) với \(m \in \mathbb{R}\). Có bao nhiêu giá trị nguyên m để \(A \cap B \ne \emptyset \)?
Đáp án:
Đáp án:
Tìm điều kiện để \(A \cap B = \emptyset \), từ đó suy ra điều kiện để \(A \cap B \ne \emptyset \) bằng cách lấy phần bù.
Điều kiện: \(\left\{ \begin{array}{l}m - 1 < 4\\ - 2 < 2m + 2\end{array} \right. \Leftrightarrow - 2 < m < 5\).
Ta có \(A \cap B = \emptyset \Leftrightarrow \left[ \begin{array}{l}2m + 2 \le m - 1\\4 \le - 2\end{array} \right. \Leftrightarrow m \le - 3\).
Suy ra \(A \cap B \ne \emptyset \Leftrightarrow \left\{ \begin{array}{l} - 2 < m < 5\\m > - 3\end{array} \right. \Leftrightarrow - 2 < m < 5\).
Các giá trị nguyên m thỏa mãn là -1; 0; 1; 2; 3; 4.
Vậy có 6 giá trị nguyên m thỏa mãn yêu cầu đề bài.
Có ba nhóm máy A, B, C dùng để sản xuất ra hai loại sản phẩm I và II. Để sản xuất một đơn vị sản phẩm mỗi loại lần lượt dùng các máy thuộc các nhóm khác nhau. Số máy trong một nhóm của từng nhóm cần thiết để sản xuất ra một đơn vị sản phẩm thuộc mỗi loại được cho trong bảng sau:

Một đơn vị sản phẩm I lãi 30 nghìn đồng, một đơn vị sản phẩm II lãi 50 nghìn đồng. Để thu được lãi cao nhất, nhà máy cần sản xuất x sản phẩm I và y sản phẩm II. Tính x – y.
Đáp án:
Đáp án:
Ứng dụng hệ bất phương trình bậc nhất hai ẩn.
Ta có điều kiện \(x,y \ge 0\).
Để sản xuất x sản phẩm I cần 2x máy nhóm A.
Để sản xuất ra y sản phẩm II cần 2y máy nhóm A.
Mà chỉ có 10 máy nhóm A nên \(2x + 2y \le 10\).
Tương tự với các máy nhóm B, C và kết hợp điều kiện, ta được hệ bất phương trình:
\(\left\{ \begin{array}{l}2x + 2y \le 10\\2y \le 4\\2x + 4y \le 12\\x,y \ge 0\end{array} \right.\) hay \(\left\{ \begin{array}{l}x + y \le 5\\y \le 2\\x + 2y \le 6\\x,y \ge 0\end{array} \right.\) (*).
Lợi nhuận thu được là f(x;y) = 30x + 50y (nghìn đồng).
Bài toán trở thành tìm giá trị lớn nhất của f(x;y) trên miền nghiệm của hệ (*).

Miền nghiệm của hệ (*) là miền ngũ giác OABCD (kể cả biên) với \(O(0;0)\), \(B(4;1)\), \(C(2;2)\), \(D(0;2)\).
Thay tọa độ các điểm trên vào f(x;y) thấy f(4;1) = 170 là giá trị lớn nhất.
Do đó, cần sản xuất 4 sản phẩm I và 1 sản phẩm II để thu về lợi nhuận cao nhất.
Vậy x – y = 4 – 1 = 3.
Một người quan sát đỉnh của một ngọn núi nhân tạo từ hai vị trí khác nhau của tòa nhà. Lần đầu tiên người đó quan sát đỉnh núi từ tầng trệt với phương nhìn tạo với phương nằm ngang \({35^o}\) và lần thứ hai người này quan sát tại sân thượng của cùng tòa nhà đó với phương nằm ngang \({15^o}\) (như hình vẽ). Tính chiều cao ngọn núi biết rằng tòa nhà cao 60 m (kết quả làm tròn đến hàng phần mười).

Đáp án:
Đáp án:
B1: Tính các góc của tam giác ABC.
B2: Tính AC bằng định lí Sin cho tam giác ABC.
B3: Sử dụng hệ thức lượng trong tam giác vuông CAD để tính CD.
+) \(\widehat {BAC} + \widehat {DAC} = {90^o}\)
\(\widehat {BAC} = {90^o} - \widehat {DAC} = {90^o} - {35^o} = {55^o}\).
+) \(\widehat {CBA} = \widehat {CBE} + \widehat {ABE} = {15^o} + {90^o} = {105^o}\).
+) Xét tam giác ABC có \(\widehat C = {180^o} - \widehat A - \widehat B = {180^o} - {55^o} - {105^o} = {20^o}\).
Áp dụng định lí Sin cho tam giác ABC: \(\frac{{AB}}{{\sin \widehat {BCA}}} = \frac{{AC}}{{\sin \widehat {ABC}}}\).
Suy ra \(AC = \frac{{AB\sin \widehat {ABC}}}{{\sin \widehat {ACB}}} = \frac{{60\sin {{105}^o}}}{{\sin {{20}^o}}}\).
Xét tam giác ACD vuông tại D: \(\sin \widehat {CAD} = \frac{{CD}}{{AC}}\).
Suy ra \(CD = AC\sin \widehat {CAD} = \frac{{60\sin {{105}^o}}}{{\sin {{20}^o}}}\sin {35^o} \approx 97,2\).
Một vật đang ở vị trí O chịu hai lực tác dụng ngược chiều nhau là \(\overrightarrow {{F_1}} \) và \(\overrightarrow {{F_2}} \), trong đó độ lớn lực \(\overrightarrow {{F_2}} \) lớn gấp đôi độ lớn lực \(\overrightarrow {{F_1}} \). Người ta muốn vật dừng nên cần tác dụng vào vật hai lực \(\overrightarrow {{F_3}} \) và \(\overrightarrow {{F_4}} \) có phương hợp với lực \(\overrightarrow {{F_1}} \) các góc \({45^o}\) như hình vẽ, chúng có độ lớn bằng nhau và bằng 20 N. Tính tổng độ lớn của hai lực \(\overrightarrow {{F_1}} \) và \(\overrightarrow {{F_2}} \) (làm tròn kết quả đến hàng phần mười).

Đáp án:
Đáp án:
Sử dụng quy tắc tổng hợp lực, quy tắc hình bình hành.

Dựng hình bình hành OACB sao cho OA = OB = 20, \(\widehat {AOC} = \widehat {BOC} = {45^o}\) và \(\overrightarrow {OC} \)cùng hướng với \(\overrightarrow {{F_1}} \).
Khi đó \(\left| {\overrightarrow {{F_3}} } \right| = \left| {\overrightarrow {OA} } \right| = OA = 20\), \(\left| {\overrightarrow {{F_4}} } \right| = \left| {\overrightarrow {OB} } \right| = OB = 20\), \(\overrightarrow {{F_3}} + \overrightarrow {{F_4}} = \overrightarrow {{F_{34}}} = \overrightarrow {OC} \) và \(\left| {\overrightarrow {{F_{34}}} } \right| = \left| {\overrightarrow {OC} } \right|\).
Vì OA = OB nên OACB là hình thoi.
Mà \(\widehat {AOB} = \widehat {AOC} + \widehat {COB} = {45^o} + {45^o} = {90^o}\) nên OACB là hình vuông.
Khi đó \(OC = \sqrt 2 OA = 20\sqrt 2 \).
Vì độ lớn lực \(\overrightarrow {{F_2}} \) gấp đôi độ lớn lực \(\overrightarrow {{F_1}} \) và hai lực này ngược chiều nên \(\overrightarrow {{F_2}} = - 2\overrightarrow {{F_1}} \).
Dưới tác động của 4 lực, vật ở vị trí cân bằng nên ta có:
\(\overrightarrow {{F_1}} + \overrightarrow {{F_2}} + \overrightarrow {{F_3}} + \overrightarrow {{F_4}} = \overrightarrow 0 \Rightarrow \overrightarrow {{F_1}} - 2\overrightarrow {{F_1}} + \overrightarrow {{F_{34}}} = \overrightarrow 0 \Rightarrow \overrightarrow {{F_{34}}} = \overrightarrow {{F_1}} \Rightarrow \left| {\overrightarrow {{F_{34}}} } \right| = \left| {\overrightarrow {{F_1}} } \right| = 20\sqrt 2 \).
\( \Rightarrow \left| {\overrightarrow {{F_2}} } \right| = 2\left| {\overrightarrow {{F_1}} } \right| = 2.20\sqrt 2 = 40\sqrt 2 \).
Vậy \(\left| {\overrightarrow {{F_1}} } \right| + \left| {\overrightarrow {{F_2}} } \right| = 20\sqrt 2 + 40\sqrt 2 = 60\sqrt 2 \approx 84,9\) (N).
Trong mặt phẳng Oxy cho các điểm A(-1;2), B(5;8). Điểm \(M \in Ox\) sao cho tam giác MAB vuông tại A. Diện tích tam giác MAB bằng bao nhiêu?
Đáp án:
Đáp án:
Sử dụng tích vô hướng để tìm tọa độ điểm M.
Tính MA, AB, từ đó suy ra diện tích tam giác MAB vuông tại A.
Vì \(M \in Ox\) nên \(M({x_M};0)\).
Từ đó ta có \(\overrightarrow {AM} = ({x_M} + 1; - 2)\), \(\overrightarrow {AB} = (6;6)\).
Tam giác MAB vuông tại A nên góc giữa hai vecto \(\overrightarrow {AB} \), \(\overrightarrow {AM} \) bằng \({90^o}\).
Khi đó \(\overrightarrow {AB} .\overrightarrow {AM} = 0 \Rightarrow 6({x_M} + 1) - 12 = 0 \Rightarrow {x_M} = 1\). Vậy M(1;0).
Ta có \(AM = \sqrt {{{(1 + 1)}^2} + {{(0 - 2)}^2}} = 2\sqrt 2 \); \(AB = \sqrt {{{(5 + 1)}^2} + {{(8 - 2)}^2}} = 6\sqrt 2 \).
Vậy \({S_{MAB}} = \frac{1}{2}AM.AB = \frac{1}{2}.2\sqrt 2 .6\sqrt 2 = 12\).
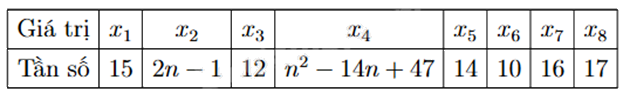
Cho bảng phân bố tần số như sau:

Tìm n để \({M_0} = {x_2};{M_0} = {x_4}\) là hai mốt của bảng số liệu trên.
Đáp án:
Đáp án:
Mốt là giá trị có tần số lớn nhất trong bảng. Nếu có nhiều hơn 1 giá trị có cùng tần số và là tần số lớn nhất thì các giá trị đó đều là mốt.
Giải hệ \(\left\{ \begin{array}{l}2n - 1 = {n^2} - 14n + 47\\2n - 1 > 17\\{n^2} - 14n + 47 > 17\end{array} \right.\) tìm n.
Để \({x_2}\) và \({x_4}\) là hai mốt của mẫu số liệu thì tần số của chúng phải bằng nhau và lớn hơn các tần số còn lại.
Khi đó \(\left\{ \begin{array}{l}2n - 1 = {n^2} - 14n + 47\\2n - 1 > 17\\{n^2} - 14n + 47 > 17\end{array} \right.\)\(\begin{array}{l}(1)\\(2)\\(3)\end{array}\)
Giải (1) được hai nghiệm n = 12 và n = 4.
Vì n = 4 không thỏa mãn (2) nên loại.
Thấy n = 12 thỏa mãn cả (2) và (3) nên n = 12 là giá trị cần tìm.
Học kì 1 Toán 10 là giai đoạn quan trọng đặt nền móng kiến thức cho các học kì tiếp theo. Việc ôn luyện và làm quen với các dạng đề thi là vô cùng cần thiết để đạt kết quả tốt nhất. Đề thi học kì 1 Toán 10 Kết nối tri thức - Đề số 12 của giaibaitoan.com được thiết kế để đáp ứng nhu cầu này, cung cấp một công cụ ôn tập hiệu quả cho học sinh.
Đề thi này bao gồm các phần chính sau:
Đề thi bao gồm các chủ đề chính sau:
Sau khi hoàn thành đề thi, các em có thể tham khảo đáp án và lời giải chi tiết của giaibaitoan.com. Lời giải được trình bày rõ ràng, dễ hiểu, giúp các em nắm vững phương pháp giải và khắc phục những sai lầm thường gặp.
Ngoài đề thi này, các em có thể tham khảo thêm các tài liệu sau:
Đề thi học kì 1 Toán 10 Kết nối tri thức - Đề số 12 của giaibaitoan.com là một công cụ hữu ích giúp các em ôn tập và chuẩn bị tốt cho kỳ thi. Chúc các em học tập tốt và đạt kết quả cao!