Logo Header
  1. Môn Toán
  2. đề thi thử tốt nghiệp thpt 2025 môn toán lần 2 sở gd&đt hòa bình

đề thi thử tốt nghiệp thpt 2025 môn toán lần 2 sở gd&đt hòa bình

Bạn đang xem tài liệu đề thi thử tốt nghiệp thpt 2025 môn toán lần 2 sở gd&đt hòa bình được biên soạn theo soạn toán mới nhất. Tài liệu này hệ thống hóa kiến thức một cách khoa học, phù hợp cho mọi lộ trình học từ cơ bản đến nâng cao. Hãy khai thác triệt để nội dung để bứt phá điểm số và tự tin chinh phục mọi kỳ thi nhé!

giaibaitoan.com xin giới thiệu đến quý thầy cô giáo và các em học sinh lớp 12 đề thi thử tốt nghiệp THPT năm học 2024 – 2025 môn Toán lần 2 của Sở Giáo dục và Đào tạo tỉnh Hòa Bình. Kỳ thi được tổ chức vào Chủ Nhật, ngày 11 tháng 05 năm 2025. Đề thi này được đánh giá là có độ khó tương đương với các đề thi thử khác, tập trung vào việc kiểm tra kiến thức trọng tâm và kỹ năng giải quyết vấn đề của học sinh.

Đề thi bao gồm nhiều dạng bài tập khác nhau, từ trắc nghiệm đến tự luận, bao phủ các chủ đề quan trọng trong chương trình Toán lớp 12. Điểm đặc biệt của đề thi lần này là sự xuất hiện của các câu hỏi ứng dụng thực tế, đòi hỏi học sinh phải vận dụng kiến thức đã học để giải quyết các tình huống cụ thể. Dưới đây là một số câu hỏi tiêu biểu được trích dẫn từ đề thi:

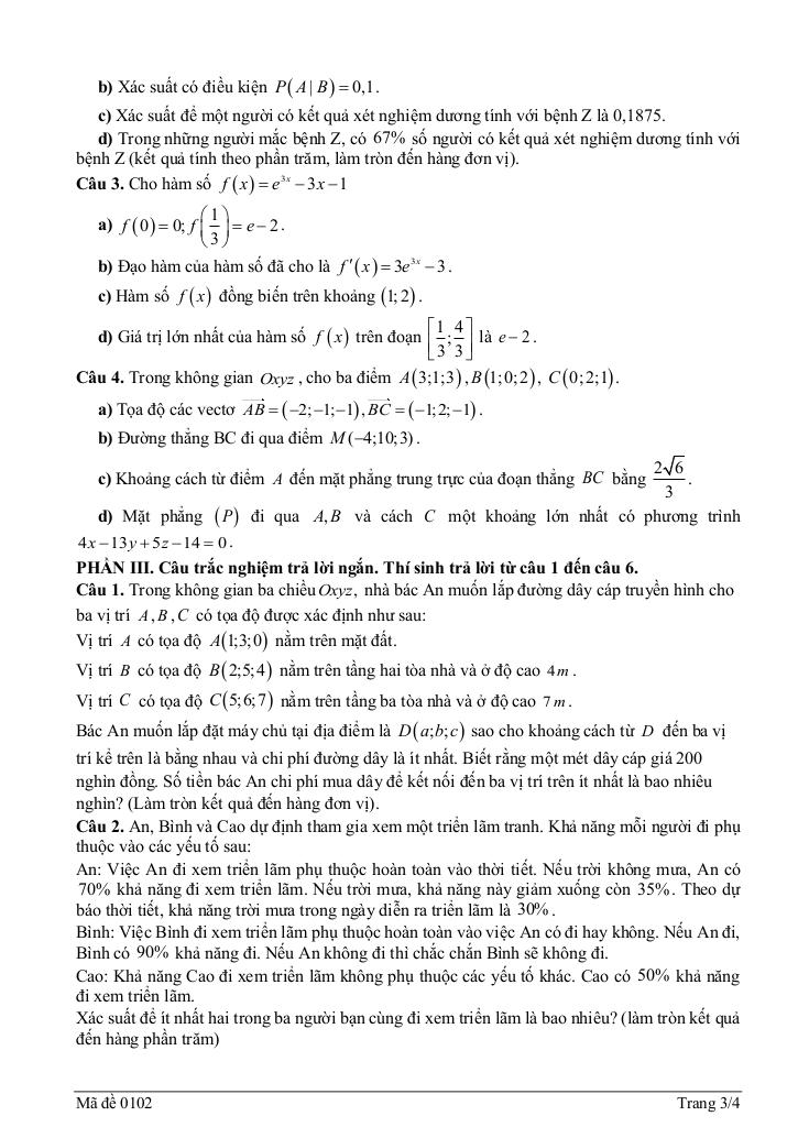
  1. Câu 1: An, Bình và Cao dự định tham gia xem một triển lãm tranh. Khả năng mỗi người đi phụ thuộc vào các yếu tố sau:
    • An: Nếu trời không mưa, An có 75% khả năng đi xem triển lãm. Nếu trời mưa, khả năng này giảm xuống còn 40%. Khả năng trời mưa là 25%.
    • Bình: Nếu An đi, Bình có 90% khả năng đi. Nếu An không đi, Bình chắc chắn không đi.
    • Cao: Cao có 50% khả năng đi xem triển lãm.
    Xác suất để ít nhất hai trong ba người bạn cùng đi xem triển lãm là bao nhiêu? (làm tròn kết quả đến hàng phần trăm).
    Nhận xét: Đây là một bài toán về xác suất có điều kiện, đòi hỏi học sinh phải hiểu rõ các khái niệm về xác suất, xác suất có điều kiện và quy tắc cộng xác suất. Bài toán này có tính ứng dụng cao, giúp học sinh rèn luyện kỹ năng giải quyết các bài toán thực tế liên quan đến xác suất.
  2. Câu 2: Một học sinh ôn thi tốt nghiệp và ghi nhớ toàn bộ nội dung một bài học vào ngày đầu tiên. Lượng kiến thức còn nhớ sau t ngày (khi chưa ôn tập lại) được xác định bởi công thức R(t) = 100.e-0,3t, R(t) tính bằng phần trăm. Hỏi sau bao nhiêu ngày thì lượng kiến thức còn nhớ là 30%? (làm tròn kết quả đến hàng đơn vị).
    Nhận xét: Bài toán này liên quan đến hàm số mũ và ứng dụng của nó trong việc mô tả sự suy giảm kiến thức theo thời gian. Học sinh cần nắm vững các kiến thức về hàm số mũ, logarit và phương trình để giải quyết bài toán này.
  3. Câu 3: Một chi tiết máy được thiết kế như hình vẽ. Các tứ giác ABCD, CDGH là các hình vuông có cạnh 3,5 cm nằm trong hai mặt phẳng vuông góc với nhau. Tứ giác ABEF là hình chữ nhật có cạnh AF = 5,5cm nằm trong mặt phẳng song song với mặt phẳng (CDGH). Mặt cong GHEF được mài nhẵn theo đường parabol FG (có trục đối xứng song song với đường thẳng AD) đi qua điểm I với I lần lượt cách mặt phẳng (ABCD) và (ABEF) một khoảng bằng 4cm và 2 cm. Còn mặt cong ABCD được mài nhẵn theo nửa đường tròn đường kính AD. Thể tích của chi tiết máy bằng bao nhiêu? (đơn vị cm3) (làm tròn kết quả đến hàng phần mười).
    Nhận xét: Đây là một bài toán không gian, đòi hỏi học sinh phải có khả năng hình dung không gian ba chiều, vận dụng các kiến thức về hình học giải tích và tích phân để tính thể tích của các vật thể. Bài toán này có độ khó cao, đòi hỏi học sinh phải có sự tư duy logic và khả năng giải quyết vấn đề tốt.

Đề thi thử tốt nghiệp THPT năm 2025 môn Toán lần 2 của Sở GD&ĐT Hòa Bình là một tài liệu ôn tập hữu ích cho các em học sinh lớp 12 đang chuẩn bị cho kỳ thi tốt nghiệp THPT. Việc làm quen với các dạng bài tập trong đề thi sẽ giúp các em tự tin hơn và đạt kết quả tốt nhất trong kỳ thi sắp tới. Đề thi có đáp án cho các mã đề 0101, 0103, 0102, 0104, 0105, 0107, 0106, 0108.

Xem thêm đáp án: đề thi thử tốt nghiệp thpt 2025 môn toán lần 2 sở gd&đt hòa bình

images-post/de-thi-thu-tot-nghiep-thpt-2025-mon-toan-lan-2-so-gd-dt-hoa-binh-1.jpgimages-post/de-thi-thu-tot-nghiep-thpt-2025-mon-toan-lan-2-so-gd-dt-hoa-binh-2.jpgimages-post/de-thi-thu-tot-nghiep-thpt-2025-mon-toan-lan-2-so-gd-dt-hoa-binh-3.jpgimages-post/de-thi-thu-tot-nghiep-thpt-2025-mon-toan-lan-2-so-gd-dt-hoa-binh-4.jpgimages-post/de-thi-thu-tot-nghiep-thpt-2025-mon-toan-lan-2-so-gd-dt-hoa-binh-5.jpgimages-post/de-thi-thu-tot-nghiep-thpt-2025-mon-toan-lan-2-so-gd-dt-hoa-binh-6.jpgimages-post/de-thi-thu-tot-nghiep-thpt-2025-mon-toan-lan-2-so-gd-dt-hoa-binh-7.jpgimages-post/de-thi-thu-tot-nghiep-thpt-2025-mon-toan-lan-2-so-gd-dt-hoa-binh-8.jpgimages-post/de-thi-thu-tot-nghiep-thpt-2025-mon-toan-lan-2-so-gd-dt-hoa-binh-9.jpg

File đề thi thử tốt nghiệp thpt 2025 môn toán lần 2 sở gd&đt hòa bình PDF Chi Tiết