Logo Header
  1. Môn Toán
  2. đề cuối học kì 2 toán 12 năm 2024 – 2025 trường thpt nguyễn tất thành – tp hcm

đề cuối học kì 2 toán 12 năm 2024 – 2025 trường thpt nguyễn tất thành – tp hcm

Bạn đang xem tài liệu đề cuối học kì 2 toán 12 năm 2024 – 2025 trường thpt nguyễn tất thành – tp hcm được biên soạn theo tài liệu toán mới nhất. Tài liệu này hệ thống hóa kiến thức một cách khoa học, phù hợp cho mọi lộ trình học từ cơ bản đến nâng cao. Hãy khai thác triệt để nội dung để bứt phá điểm số và tự tin chinh phục mọi kỳ thi nhé!

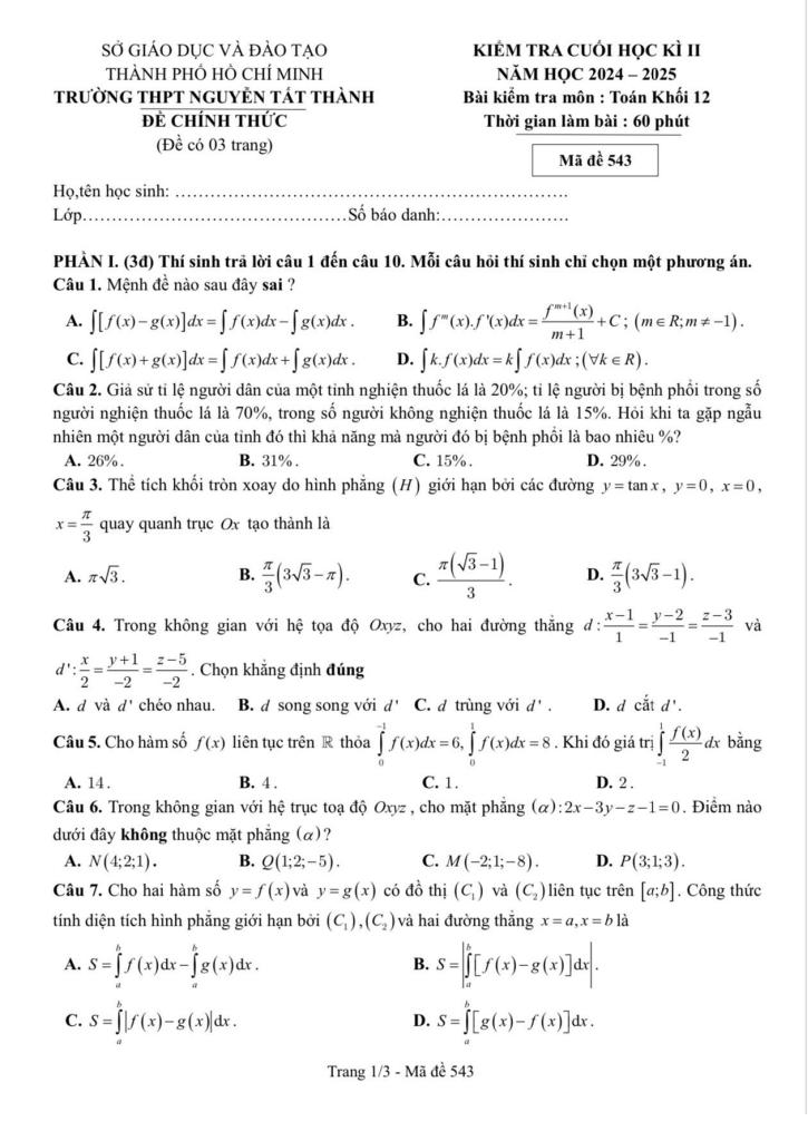
giaibaitoan.com xin giới thiệu đến quý thầy cô giáo và các em học sinh lớp 12 đề kiểm tra cuối học kỳ 2 môn Toán 12 năm học 2024 – 2025 của trường THPT Nguyễn Tất Thành, thành phố Hồ Chí Minh. Đề thi có cấu trúc gồm ba phần: trắc nghiệm nhiều lựa chọn, đúng sai và tự luận, với tổng thời gian làm bài là 60 phút.

Cụ thể, đề thi được phân bổ như sau:

  • Phần trắc nghiệm: 10 câu, chiếm 3,0 điểm.
  • Phần đúng sai: 04 câu, chiếm 4,0 điểm.
  • Phần tự luận (trả lời ngắn): 04 câu, chiếm 3,0 điểm.

Dưới đây là một số câu hỏi tiêu biểu được trích dẫn từ đề thi, cho thấy mức độ và phạm vi kiến thức được kiểm tra:

  1. Bài toán xác suất: "Trong hội thảo, xác suất chọn được một người trình bày báo cáo bằng tiếng Anh là 0,6. Xác suất để chọn một người trình bày là nữ là 0,4. Xác suất để chọn được một người trình bày báo cáo bằng tiếng Anh biết người đó là nữ là 0,3. Tính xác suất để chọn được một người là nữ sao cho người đó có thể trình bày báo cáo bằng tiếng Anh."
  2. Bài toán tích phân và thể tích: "Tính thể tích V của vật thể nằm giữa hai mặt phẳng x = 0 và x = pi, biết thiết diện của vật thể bị cắt bởi một mặt phẳng vuông góc với trục Ox tại điểm có hoành độ x = 0 (0 ≤ x ≤ pi) là tam giác đều cạnh là 2√sinx (kết quả làm tròn đến hàng phần mười)."
  3. Bài toán hình học không gian: "Công nghệ hỗ trợ trọng tài VAR (Video Assistant Referee) thiết lập một hệ tọa độ Oxyz để theo dõi vị trí của quả bóng M. Cho biết M đang nằm trên mặt sân có phương trình z = 0, đồng thời thuộc mặt cầu (S): (x – 32)² + (y – 50)² + (z – 10)² = 109 (độ dài tính theo mét). Gọi J là hình chiếu vuông góc của tâm I mặt cầu trên mặt sân. Khoảng cách từ vị trí M của quả bóng đến điểm J bằng bao nhiêu?"

Đánh giá và nhận xét:

Đề thi có cấu trúc khá cân đối, bao phủ các chủ đề kiến thức trọng tâm của chương trình Toán 12 như xác suất thống kê, tích phân và hình học không gian. Các câu hỏi được thiết kế với độ khó tăng dần, từ những câu hỏi cơ bản để kiểm tra kiến thức nền tảng đến những câu hỏi vận dụng cao, đòi hỏi học sinh phải có khả năng phân tích, tổng hợp và áp dụng linh hoạt các công thức, định lý đã học.

Đặc biệt, việc đưa ra các bài toán gắn liền với thực tế như ứng dụng VAR trong bóng đá (bài toán hình học không gian) cho thấy đề thi không chỉ tập trung vào việc kiểm tra kiến thức thuần túy mà còn hướng đến việc phát triển năng lực giải quyết vấn đề thực tiễn cho học sinh. Yêu cầu làm tròn kết quả đến hàng phần mười trong bài toán tính thể tích cũng thể hiện sự chú trọng đến kỹ năng tính toán và trình bày kết quả chính xác.

Nhìn chung, đây là một đề thi có chất lượng, phù hợp với mục tiêu đánh giá năng lực học tập của học sinh lớp 12, đồng thời góp phần định hướng cho việc ôn tập và chuẩn bị cho kỳ thi tốt nghiệp THPT sắp tới.

Chinh phục điểm cao Kỳ thi Tốt nghiệp THPT Quốc gia môn Toán, rộng mở cánh cửa Đại học với nội dung đề cuối học kì 2 toán 12 năm 2024 – 2025 trường thpt nguyễn tất thành – tp hcm trong chuyên mục đề thi toán 12 trên nền tảng tài liệu toán! Bộ bài tập lý thuyết toán thpt, được biên soạn chuyên sâu, bám sát cấu trúc đề thi và chương trình Toán 12, cam kết tối ưu hóa toàn diện lộ trình ôn luyện. Qua đó, học sinh không chỉ làm chủ mọi dạng bài thi mà còn trang bị chiến thuật làm bài hiệu quả, tự tin đạt kết quả đột phá, tạo nền tảng vững chắc cho Kỳ thi Tốt nghiệp THPT Quốc gia và hành trang vững vàng vào đại học, nhờ phương pháp tiếp cận trực quan, khoa học và mang lại hiệu quả học tập vượt trội.
images-post/de-cuoi-hoc-ki-2-toan-12-nam-2024-2025-truong-thpt-nguyen-tat-thanh-tp-hcm-01.jpgimages-post/de-cuoi-hoc-ki-2-toan-12-nam-2024-2025-truong-thpt-nguyen-tat-thanh-tp-hcm-02.jpgimages-post/de-cuoi-hoc-ki-2-toan-12-nam-2024-2025-truong-thpt-nguyen-tat-thanh-tp-hcm-03.jpgimages-post/de-cuoi-hoc-ki-2-toan-12-nam-2024-2025-truong-thpt-nguyen-tat-thanh-tp-hcm-04.jpgimages-post/de-cuoi-hoc-ki-2-toan-12-nam-2024-2025-truong-thpt-nguyen-tat-thanh-tp-hcm-05.jpgimages-post/de-cuoi-hoc-ki-2-toan-12-nam-2024-2025-truong-thpt-nguyen-tat-thanh-tp-hcm-06.jpgimages-post/de-cuoi-hoc-ki-2-toan-12-nam-2024-2025-truong-thpt-nguyen-tat-thanh-tp-hcm-07.jpgimages-post/de-cuoi-hoc-ki-2-toan-12-nam-2024-2025-truong-thpt-nguyen-tat-thanh-tp-hcm-08.jpgimages-post/de-cuoi-hoc-ki-2-toan-12-nam-2024-2025-truong-thpt-nguyen-tat-thanh-tp-hcm-09.jpgimages-post/de-cuoi-hoc-ki-2-toan-12-nam-2024-2025-truong-thpt-nguyen-tat-thanh-tp-hcm-10.jpg

File đề cuối học kì 2 toán 12 năm 2024 – 2025 trường thpt nguyễn tất thành – tp hcm PDF Chi Tiết

TÌM KIẾM THEO TỪ KHÓA