Logo Header
  1. Môn Toán
  2. đề giữa kỳ 2 toán 12 năm 2024 – 2025 trường thpt nguyễn quốc trinh – hà nội

đề giữa kỳ 2 toán 12 năm 2024 – 2025 trường thpt nguyễn quốc trinh – hà nội

Bạn đang xem tài liệu đề giữa kỳ 2 toán 12 năm 2024 – 2025 trường thpt nguyễn quốc trinh – hà nội được biên soạn theo toán mới nhất. Tài liệu này hệ thống hóa kiến thức một cách khoa học, phù hợp cho mọi lộ trình học từ cơ bản đến nâng cao. Hãy khai thác triệt để nội dung để bứt phá điểm số và tự tin chinh phục mọi kỳ thi nhé!

giaibaitoan.com xin giới thiệu đến quý thầy cô giáo và các em học sinh lớp 12 đề kiểm tra giữa học kỳ 2 môn Toán 12 năm học 2024 – 2025 của trường THPT Nguyễn Quốc Trinh, huyện Thanh Trì, thành phố Hà Nội. Đề thi này là một tài liệu tham khảo hữu ích cho việc ôn tập và chuẩn bị cho kỳ kiểm tra sắp tới.

Cấu trúc đề thi: Đề thi được xây dựng với cấu trúc đa dạng, đánh giá năng lực học sinh trên nhiều khía cạnh khác nhau của môn Toán 12:

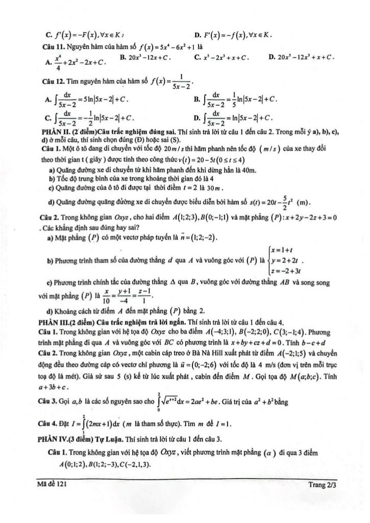
  1. Trắc nghiệm nhiều phương án lựa chọn: 30% (12 câu) – Kiểm tra khả năng nắm vững kiến thức lý thuyết và vận dụng các công thức, định lý cơ bản.
  2. Trắc nghiệm đúng sai: 20% (02 câu) – Đánh giá sự hiểu biết chính xác và khả năng phân tích các khẳng định toán học.
  3. Trắc nghiệm trả lời ngắn: 20% (04 câu) – Yêu cầu học sinh trình bày ngắn gọn, súc tích các bước giải và kết quả.
  4. Tự luận: 30% (03 câu) – Đánh giá khả năng vận dụng kiến thức một cách linh hoạt, sáng tạo để giải quyết các bài toán phức tạp, đòi hỏi lập luận logic và trình bày chi tiết.

Thời gian làm bài: 90 phút. Đề thi có kèm theo đáp án chi tiết và hướng dẫn chấm điểm cho mã đề 121 – 122, giúp học sinh tự đánh giá kết quả và rút kinh nghiệm.

Phân tích một số câu hỏi tiêu biểu:

Câu 1 (Ứng dụng của đạo hàm): Bài toán về ô tô hãm phanh là một ví dụ điển hình về ứng dụng của đạo hàm trong việc giải quyết các bài toán thực tế liên quan đến chuyển động. Để giải quyết bài toán này, học sinh cần:

  • Xác định được thời điểm ô tô dừng hẳn bằng cách giải phương trình v(t) = 0.
  • Tính quãng đường đi được bằng cách lấy tích phân của hàm vận tốc v(t) trong khoảng thời gian từ khi hãm phanh đến khi dừng hẳn.
  • Tính tốc độ trung bình bằng công thức: tốc độ trung bình = quãng đường / thời gian.

Việc phân tích kỹ đề bài và lựa chọn phương pháp giải phù hợp là rất quan trọng để đạt được kết quả chính xác.

Câu 2 (Hình học giải tích): Bài toán tính diện tích hình phẳng giới hạn bởi hai parabol đòi hỏi học sinh nắm vững kiến thức về:

  • Phương trình parabol.
  • Cách tìm giao điểm của hai parabol.
  • Công thức tính diện tích hình phẳng giới hạn bởi hai đường cong.

Hình vẽ minh họa đóng vai trò quan trọng trong việc giúp học sinh hình dung rõ hơn về hình phẳng cần tính diện tích.

Câu 3 (Hình học không gian): Bài toán về cabin cáp treo là một ứng dụng của vectơ trong không gian. Để giải quyết bài toán này, học sinh cần:

  • Sử dụng công thức tọa độ điểm trên đường thẳng khi biết điểm gốc và vectơ chỉ phương.
  • Tính độ dài vectơ và vận tốc của cabin.
  • Tìm tọa độ điểm M sau 5 giây chuyển động.

Bài toán này kiểm tra khả năng vận dụng kiến thức về vectơ và phương trình đường thẳng trong không gian để giải quyết các bài toán thực tế.

Đánh giá chung: Đề thi giữa học kỳ 2 Toán 12 trường THPT Nguyễn Quốc Trinh có độ khó tương đối, bao phủ các chủ đề kiến thức quan trọng trong chương trình học kỳ 2. Đề thi có tính phân loại học sinh tốt, giúp giáo viên đánh giá chính xác năng lực của học sinh và điều chỉnh phương pháp giảng dạy phù hợp.

Chinh phục điểm cao Kỳ thi Tốt nghiệp THPT Quốc gia môn Toán, rộng mở cánh cửa Đại học với nội dung đề giữa kỳ 2 toán 12 năm 2024 – 2025 trường thpt nguyễn quốc trinh – hà nội trong chuyên mục đề thi toán 12 trên nền tảng toán! Bộ bài tập toán trung học phổ thông, được biên soạn chuyên sâu, bám sát cấu trúc đề thi và chương trình Toán 12, cam kết tối ưu hóa toàn diện lộ trình ôn luyện. Qua đó, học sinh không chỉ làm chủ mọi dạng bài thi mà còn trang bị chiến thuật làm bài hiệu quả, tự tin đạt kết quả đột phá, tạo nền tảng vững chắc cho Kỳ thi Tốt nghiệp THPT Quốc gia và hành trang vững vàng vào đại học, nhờ phương pháp tiếp cận trực quan, khoa học và mang lại hiệu quả học tập vượt trội.
images-post/de-giua-ky-2-toan-12-nam-2024-2025-truong-thpt-nguyen-quoc-trinh-ha-noi-01.jpgimages-post/de-giua-ky-2-toan-12-nam-2024-2025-truong-thpt-nguyen-quoc-trinh-ha-noi-02.jpgimages-post/de-giua-ky-2-toan-12-nam-2024-2025-truong-thpt-nguyen-quoc-trinh-ha-noi-03.jpgimages-post/de-giua-ky-2-toan-12-nam-2024-2025-truong-thpt-nguyen-quoc-trinh-ha-noi-04.jpgimages-post/de-giua-ky-2-toan-12-nam-2024-2025-truong-thpt-nguyen-quoc-trinh-ha-noi-05.jpgimages-post/de-giua-ky-2-toan-12-nam-2024-2025-truong-thpt-nguyen-quoc-trinh-ha-noi-06.jpgimages-post/de-giua-ky-2-toan-12-nam-2024-2025-truong-thpt-nguyen-quoc-trinh-ha-noi-07.jpgimages-post/de-giua-ky-2-toan-12-nam-2024-2025-truong-thpt-nguyen-quoc-trinh-ha-noi-08.jpgimages-post/de-giua-ky-2-toan-12-nam-2024-2025-truong-thpt-nguyen-quoc-trinh-ha-noi-09.jpgimages-post/de-giua-ky-2-toan-12-nam-2024-2025-truong-thpt-nguyen-quoc-trinh-ha-noi-10.jpg

File đề giữa kỳ 2 toán 12 năm 2024 – 2025 trường thpt nguyễn quốc trinh – hà nội PDF Chi Tiết

TÌM KIẾM THEO TỪ KHÓA