giaibaitoan.com xin giới thiệu đến quý thầy cô giáo và các em học sinh lớp 9 đề thi khảo sát năng lực môn Toán 9 vòng 2 đợt 1 năm học 2024 – 2025 của trường THPT chuyên Khoa học Tự nhiên (KHTN), thành phố Hà Nội. Kỳ thi được tổ chức vào ngày 27 tháng 04 năm 2025, và hiện tại, đề thi đã được công bố kèm theo đáp án và lời giải chi tiết.
Đề thi năm nay tiếp tục khẳng định vị thế của trường KHTN trong việc tạo ra những bài toán chất lượng cao, đòi hỏi học sinh không chỉ nắm vững kiến thức nền tảng mà còn cần khả năng tư duy logic, sáng tạo và vận dụng linh hoạt các kỹ năng giải quyết vấn đề.
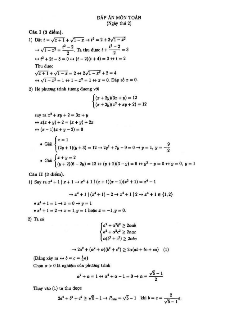
Dưới đây là trích dẫn nội dung chính của đề thi:
Cho hình thang ABCD nội tiếp đường tròn (O) với AD // BC và AD < BC. Giả sử tam giác ABC nhọn, không cân. Gọi P là điểm đối xứng của A qua BC.
Nhận xét: Bài toán hình học này đòi hỏi học sinh có kiến thức vững chắc về tính chất đường tròn nội tiếp, đối xứng trục, trọng tâm, trực tâm của tam giác, và đặc biệt là khả năng kết hợp các kiến thức này để chứng minh các mối quan hệ hình học phức tạp. Ý 3 của bài toán được đánh giá là khó, đòi hỏi sự quan sát tinh tế và khả năng sử dụng các định lý về đồng quy.
Với n nguyên, n ≥ 3, hãy tìm n để có thể viết các số 1, 2, 3, …, n² vào các ô vuông của bảng (n x n) mỗi ô đúng một số, sao cho tổng 4 số trên các hình bất kỳ dạng của bảng đều là số chẵn.
Nhận xét: Bài toán số học này tập trung vào việc kiểm tra khả năng phân tích tính chẵn lẻ và xây dựng cấu trúc bảng số thỏa mãn điều kiện đề bài. Để giải quyết bài toán này, học sinh cần hiểu rõ về tính chất của số chẵn, số lẻ và cách chúng tương tác trong các phép toán cộng. Bài toán này có tính chất khám phá cao, khuyến khích học sinh thử nghiệm và tìm ra các quy luật.
Việc luyện tập với đề thi này sẽ giúp học sinh lớp 9 làm quen với cấu trúc đề thi chuyên, rèn luyện kỹ năng giải toán và chuẩn bị tốt nhất cho các kỳ thi sắp tới. giaibaitoan.com hy vọng rằng, với sự hỗ trợ của đáp án và lời giải chi tiết, các em học sinh sẽ có thể hiểu sâu hơn về các khái niệm toán học và nâng cao khả năng giải quyết vấn đề.



