Logo Header
  1. Môn Toán
  2. đề kiểm tra 1 tiết hình học 10 chương 3 trường thpt phan chu trinh – phú yên

đề kiểm tra 1 tiết hình học 10 chương 3 trường thpt phan chu trinh – phú yên

Bạn đang xem tài liệu đề kiểm tra 1 tiết hình học 10 chương 3 trường thpt phan chu trinh – phú yên được biên soạn theo tài liệu toán mới nhất. Tài liệu này hệ thống hóa kiến thức một cách khoa học, phù hợp cho mọi lộ trình học từ cơ bản đến nâng cao. Hãy khai thác triệt để nội dung để bứt phá điểm số và tự tin chinh phục mọi kỳ thi nhé!

Đánh giá chi tiết đề kiểm tra 1 tiết Hình học 10 – Chương 3: Phương pháp tọa độ trong mặt phẳng Oxy (THPT Phan Chu Trinh – Phú Yên)

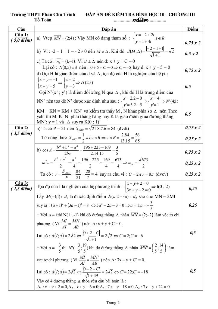
Đề kiểm tra 1 tiết Hình học 10 chương 3 của trường THPT Phan Chu Trinh – Phú Yên là một đề thi có cấu trúc khá điển hình, tập trung đánh giá khả năng vận dụng các kiến thức cơ bản về phương pháp tọa độ trong mặt phẳng Oxy của học sinh. Đề thi bao gồm 2 mã đề, mỗi mã đề có 3 bài toán tự luận, với thời gian làm bài 45 phút. Điểm cộng của đề thi là đã cung cấp lời giải chi tiết và thang điểm, giúp học sinh tự đánh giá và rút kinh nghiệm sau khi làm bài.

Dưới đây là phân tích chi tiết từng bài toán trong đề thi:

  1. Bài toán 1: Quan hệ giữa điểm và đường thẳng, phương trình đường thẳng
  2. Bài toán này kiểm tra các kiến thức sau:

    • Viết phương trình tham số của đường thẳng đi qua hai điểm cho trước.
    • Kiểm tra điểm thuộc đường thẳng và tính khoảng cách từ điểm đến đường thẳng.
    • Tìm vector pháp tuyến của đường thẳng và viết phương trình tổng quát của đường thẳng vuông góc với một đường thẳng cho trước tại một điểm cho trước.
    • Ứng dụng tính chất đối xứng để tìm điểm thỏa mãn điều kiện tổng khoảng cách nhỏ nhất.

    Đây là một bài toán điển hình, đòi hỏi học sinh phải nắm vững các công thức và kỹ năng tính toán cơ bản. Ý d của bài toán (tìm điểm K sao cho KM + KN nhỏ nhất) là một ý đòi hỏi tư duy cao hơn, yêu cầu học sinh phải vận dụng kiến thức về đối xứng để giải quyết.

  3. Bài toán 2: Tính toán trong tam giác
  4. Bài toán này tập trung vào việc vận dụng các công thức tính toán trong tam giác:

    • Tính diện tích tam giác khi biết độ dài ba cạnh (công thức Heron).
    • Tính sin góc của tam giác.
    • Tính cos góc của tam giác.
    • Tính độ dài đường trung tuyến.
    • Tính chu vi đường tròn nội tiếp tam giác.

    Bài toán này kiểm tra khả năng ghi nhớ công thức và kỹ năng tính toán của học sinh. Việc yêu cầu tính nhiều đại lượng khác nhau trong tam giác giúp đánh giá toàn diện kiến thức của học sinh về chủ đề này.

  5. Bài toán 3: Vị trí tương đối của đường thẳng và ứng dụng
  6. Bài toán này kiểm tra các kiến thức sau:

    • Tìm giao điểm của hai đường thẳng.
    • Viết phương trình đường thẳng thỏa mãn các điều kiện cho trước (cắt hai đường thẳng cho trước và có khoảng cách đến một điểm cho trước).
    • Vận dụng các tính chất về tỉ lệ đoạn thẳng để giải quyết bài toán.

    Đây là một bài toán khá phức tạp, đòi hỏi học sinh phải kết hợp nhiều kiến thức và kỹ năng khác nhau. Việc sử dụng điều kiện AB = 2AI và khoảng cách từ I đến ∆ bằng 2√2 tạo ra một bài toán có tính thử thách cao.

Nhận xét chung:

Đề thi có độ khó vừa phải, phân loại được học sinh khá giỏi. Các bài toán được xây dựng dựa trên các kiến thức trọng tâm của chương, giúp học sinh củng cố và rèn luyện kỹ năng giải toán. Việc cung cấp lời giải chi tiết và thang điểm là một điểm cộng lớn, giúp học sinh tự học và đánh giá kết quả của mình một cách khách quan.

Gợi ý ôn tập:

Để đạt kết quả tốt trong các bài kiểm tra tương tự, học sinh cần:

  • Nắm vững các định nghĩa, định lý và công thức cơ bản về phương pháp tọa độ trong mặt phẳng Oxy.
  • Luyện tập giải nhiều bài tập khác nhau để làm quen với các dạng bài và rèn luyện kỹ năng giải toán.
  • Chú trọng việc trình bày bài giải một cách rõ ràng, logic và chính xác.
  • Tự kiểm tra và đánh giá kết quả của mình sau khi làm bài để rút kinh nghiệm và cải thiện.

Khởi đầu hành trình Toán THPT vững vàng với nội dung đề kiểm tra 1 tiết hình học 10 chương 3 trường thpt phan chu trinh – phú yên trong chuyên mục bài tập toán 10 trên nền tảng tài liệu toán! Bộ bài tập lý thuyết toán thpt, được biên soạn chuyên sâu và bám sát chặt chẽ chương trình Toán lớp 10 hiện hành, cam kết tối ưu hóa toàn diện quá trình ôn luyện. Qua đó, học sinh không chỉ củng cố kiến thức cốt lõi mà còn xây dựng nền tảng vững chắc cho các năm học tiếp theo và định hướng đại học, nhờ phương pháp tiếp cận trực quan, logic và mang lại hiệu quả học tập vượt trội.
images-post/de-kiem-tra-1-tiet-hinh-hoc-10-chuong-3-truong-thpt-phan-chu-trinh-phu-yen-1.jpgimages-post/de-kiem-tra-1-tiet-hinh-hoc-10-chuong-3-truong-thpt-phan-chu-trinh-phu-yen-2.jpg

File đề kiểm tra 1 tiết hình học 10 chương 3 trường thpt phan chu trinh – phú yên PDF Chi Tiết

TÌM KIẾM THEO TỪ KHÓA