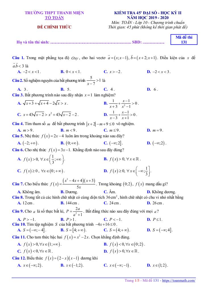
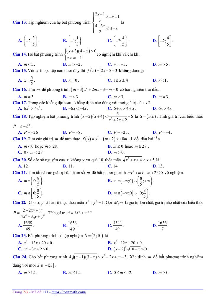
Ngày 13 tháng 05 năm 2020, trường THPT Thanh Miện, tỉnh Hải Dương đã tổ chức kiểm tra 45 phút môn Đại số 10, giai đoạn cuối học kỳ 2 năm học 2019 – 2020. Đề thi tập trung vào chủ đề bất đẳng thức và bất phương trình, một trong những nội dung trọng tâm của chương trình Đại số 10.
Đề kiểm tra mã đề 131 có cấu trúc gồm 25 câu trắc nghiệm, trải dài trên 03 trang, và được cung cấp kèm đáp án. Đây là một hình thức kiểm tra phổ biến, giúp đánh giá nhanh chóng kiến thức và kỹ năng của học sinh trong việc vận dụng các định lý, tính chất liên quan đến bất đẳng thức và bất phương trình.
Dưới đây là phân tích chi tiết một số câu hỏi trích dẫn từ đề thi, nhằm làm nổi bật mức độ khó, phạm vi kiến thức và kỹ năng cần thiết để giải quyết:
Nhận xét: Câu hỏi này kiểm tra khả năng phân tích biểu thức, xét dấu của các nhân tử và kết luận dấu của biểu thức trong một khoảng cho trước. Học sinh cần nắm vững kiến thức về bất đẳng thức tích, bất đẳng thức chứa mẫu và kỹ năng xét dấu.
Nhận xét: Đây là một bài toán ứng dụng bất đẳng thức Cô-si (AM-GM) để tìm giá trị nhỏ nhất của chu vi hình chữ nhật. Học sinh cần thiết lập mối liên hệ giữa diện tích, chu vi và các cạnh của hình chữ nhật, sau đó áp dụng bất đẳng thức Cô-si một cách linh hoạt.
Nhận xét: Bài toán này đòi hỏi học sinh phải biến đổi bất phương trình, sử dụng các tính chất của căn thức bậc hai và bất phương trình. Việc tìm điều kiện để bất phương trình nghiệm đúng với mọi x trong một khoảng nhất định đòi hỏi sự hiểu biết sâu sắc về miền xác định và tính đơn điệu của các hàm số liên quan.
Nhận xét: Đây là một bài toán khó, đòi hỏi học sinh phải sử dụng các kỹ thuật biến đổi lượng giác, đặt ẩn phụ và áp dụng các bất đẳng thức để tìm giá trị lớn nhất và giá trị nhỏ nhất của biểu thức. Bài toán này kiểm tra khả năng tư duy logic và sáng tạo của học sinh.
Nhận xét: Câu hỏi này kiểm tra khả năng nhận biết và chứng minh bất đẳng thức đúng với mọi số thực. Học sinh cần sử dụng các phương pháp chứng minh bất đẳng thức như bất đẳng thức Cô-si, bất đẳng thức Bunhiacopski hoặc biến đổi tương đương.
Nhìn chung, đề kiểm tra 45 phút Đại số 10 của trường THPT Thanh Miện – Hải Dương có độ khó tương đối, bao gồm các câu hỏi từ cơ bản đến nâng cao, đòi hỏi học sinh phải nắm vững kiến thức lý thuyết và kỹ năng giải toán. Đề thi tập trung vào việc kiểm tra khả năng vận dụng kiến thức vào giải quyết các bài toán thực tế, cũng như khả năng tư duy logic và sáng tạo của học sinh.
Lưu ý: Đề thi và đáp án chi tiết được cung cấp dưới dạng file WORD để phục vụ công tác giảng dạy và học tập của giáo viên và học sinh.



