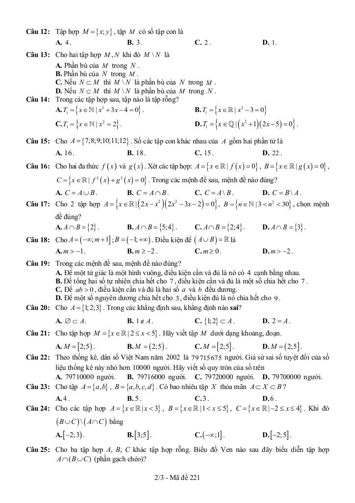
Phân tích Đề Kiểm Tra Đại Số 10 – Chương 1: Mệnh Đề và Tập Hợp (Trường THPT Đoàn Thượng, Hải Dương – Năm học 2019-2020)
Đề kiểm tra Đại số 10 chương 1 của trường THPT Đoàn Thượng, Hải Dương (năm học 2019-2020), mã đề 221, là một đề thi trắc nghiệm với cấu trúc quen thuộc, bao gồm 30 câu hỏi, được thiết kế để đánh giá mức độ nắm vững kiến thức cơ bản về mệnh đề và tập hợp của học sinh. Thời gian làm bài 45 phút cho thấy đề thi tập trung vào việc kiểm tra khả năng nhận biết và vận dụng nhanh các khái niệm, định nghĩa và tính chất liên quan đến chủ đề này.
Điểm đáng chú ý là đề thi cung cấp đáp án cho nhiều mã đề khác nhau (221, 222, 223, 224, 225, 226), điều này thể hiện sự quan tâm đến việc đảm bảo tính công bằng và hỗ trợ học sinh trong quá trình tự học và ôn tập.
Đánh giá chi tiết một số câu hỏi trích dẫn:
Câu hỏi này đánh giá khả năng hiểu bản chất của định lý và định lý đảo. Học sinh cần phân tích được điều kiện cần và điều kiện đủ, đồng thời nhận biết được rằng không phải mọi định lý đều có định lý đảo đúng. Đáp án đúng là D, cho thấy đề thi yêu cầu học sinh có cái nhìn tổng quan và chính xác về vấn đề này.
Câu hỏi này kiểm tra kiến thức cơ bản về các phép toán trên tập hợp. Việc hiểu rõ định nghĩa của phép hiệu (M\N là tập hợp các phần tử thuộc M nhưng không thuộc N) là yếu tố then chốt để trả lời đúng. Đáp án C thể hiện sự hiểu biết sâu sắc về mối quan hệ giữa tập hợp con và phép hiệu.
Câu hỏi này đòi hỏi học sinh phải vận dụng kiến thức về điều kiện cần, điều kiện đủ và các tính chất của số tự nhiên, số nguyên. Việc phân tích kỹ lưỡng từng mệnh đề và đưa ra kết luận chính xác là rất quan trọng. Đáp án đúng đòi hỏi học sinh phải loại trừ các đáp án sai dựa trên các ví dụ phản chứng hoặc các quy tắc toán học cơ bản.
Nhận xét chung:
Đề thi có độ khó vừa phải, tập trung vào các kiến thức trọng tâm của chương trình. Các câu hỏi được trình bày rõ ràng, dễ hiểu, phù hợp với trình độ của học sinh lớp 10. Việc cung cấp đáp án cho nhiều mã đề là một điểm cộng, giúp học sinh có thêm cơ hội tự kiểm tra và đánh giá kết quả học tập.
Đề thi này có thể được sử dụng làm tài liệu tham khảo hữu ích cho học sinh và giáo viên trong quá trình dạy và học môn Đại số 10.
File WORD (dành cho quý thầy, cô): TẢI XUỐNG



