Logo Header
  1. Môn Toán
  2. đề kiểm tra số 1 hki đại số 10 năm 2018 – 2019 trường lê quý đôn – quảng nam

đề kiểm tra số 1 hki đại số 10 năm 2018 – 2019 trường lê quý đôn – quảng nam

Bạn đang xem tài liệu đề kiểm tra số 1 hki đại số 10 năm 2018 – 2019 trường lê quý đôn – quảng nam được biên soạn theo toán math mới nhất. Tài liệu này hệ thống hóa kiến thức một cách khoa học, phù hợp cho mọi lộ trình học từ cơ bản đến nâng cao. Hãy khai thác triệt để nội dung để bứt phá điểm số và tự tin chinh phục mọi kỳ thi nhé!
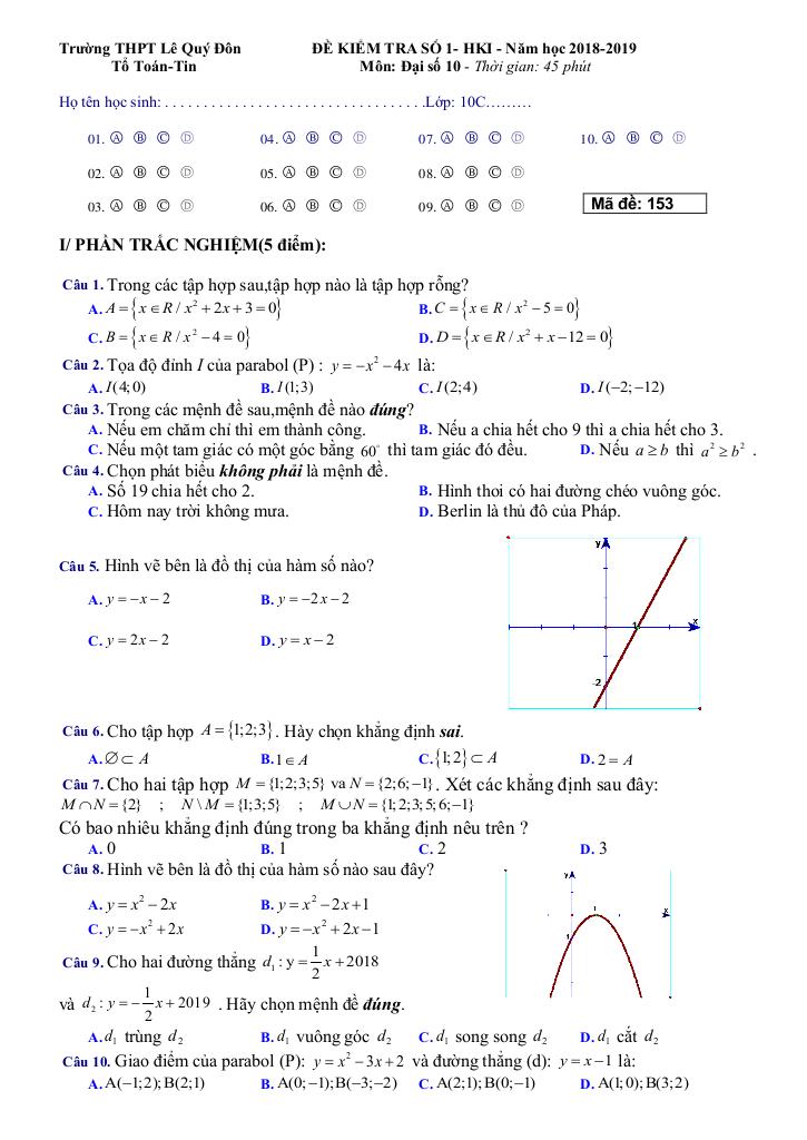
## Phân tích Đề Kiểm Tra 1 Tiết Đại Số 10 – Trường Lê Quý Đôn, Quảng Nam (HKI 2018-2019) Đề kiểm tra số 1 HKI năm học 2018-2019 môn Đại số 10 của trường Lê Quý Đôn, Quảng Nam là một đề kiểm tra đánh giá mức độ nắm vững kiến thức cơ bản về mệnh đề, tập hợp, hàm số bậc nhất và hàm số bậc hai – những nội dung trọng tâm của chương 1 và chương 2 trong chương trình học. Đề thi có cấu trúc quen thuộc với 10 câu trắc nghiệm và 3 bài toán tự luận, kèm theo đáp án phần trắc nghiệm, tạo điều kiện thuận lợi cho việc tự đánh giá của học sinh. **Đánh giá chung:** Đề thi có độ khó vừa phải, tập trung vào việc kiểm tra khả năng hiểu và vận dụng các định nghĩa, tính chất cơ bản. Các câu hỏi trắc nghiệm giúp học sinh củng cố kiến thức nền tảng, trong khi các bài toán tự luận đòi hỏi học sinh phải có kỹ năng giải quyết vấn đề và trình bày logic. **Phân tích chi tiết các câu hỏi:** * **Câu hỏi trắc nghiệm:** * **Câu 1 (Mệnh đề đúng):** Câu hỏi này kiểm tra khả năng hiểu về mệnh đề và điều kiện cần, điều kiện đủ. Đáp án đúng là B. Nếu a chia hết cho 9 thì a chia hết cho 3. Đây là một mệnh đề đúng vì 9 là bội của 3. Các đáp án còn lại đều có thể sai trong một số trường hợp. * **Câu 2 (Không phải là mệnh đề):** Câu hỏi này tập trung vào việc phân biệt mệnh đề và các phát biểu không phải là mệnh đề. Đáp án đúng là D. Berlin là thủ đô của Pháp. Đây là một phát biểu sai và không thể xác định được tính đúng sai, do đó không phải là một mệnh đề. * **Bài toán tự luận:** * **Bài 1 (Xác định parabol):** Bài toán yêu cầu học sinh vận dụng kiến thức về phương trình parabol và sử dụng hệ phương trình để tìm các hệ số a, b. Đây là một bài toán điển hình trong việc ứng dụng kiến thức về hàm số bậc hai. * **Bài 2 (Tìm điều kiện để đường thẳng cắt parabol):** Bài toán này kiểm tra khả năng giải phương trình bậc hai và sử dụng điều kiện để phương trình có hai nghiệm phân biệt. Học sinh cần hiểu rõ mối quan hệ giữa hệ số của phương trình bậc hai và số nghiệm của phương trình. **Nhận xét:** * Đề thi bám sát chương trình học, tập trung vào các kiến thức trọng tâm. * Cấu trúc đề thi hợp lý, giúp học sinh phân bổ thời gian làm bài hiệu quả. * Các câu hỏi được trình bày rõ ràng, dễ hiểu. * Việc cung cấp đáp án phần trắc nghiệm là một điểm cộng, giúp học sinh tự kiểm tra và đánh giá kết quả học tập. **Gợi ý ôn tập:** Để đạt kết quả tốt trong các bài kiểm tra tương tự, học sinh cần: * Nắm vững định nghĩa, tính chất của mệnh đề, tập hợp, hàm số bậc nhất và hàm số bậc hai. * Luyện tập giải các bài toán liên quan đến các chủ đề này. * Rèn luyện kỹ năng trình bày bài giải một cách logic và rõ ràng. * Tự kiểm tra và đánh giá kết quả học tập thường xuyên. **Tài liệu tham khảo:** * Sách giáo khoa Đại số 10. * Sách bài tập Đại số 10. * Các đề thi thử và đề thi chính thức các năm trước.
Khởi đầu hành trình Toán THPT vững vàng với nội dung đề kiểm tra số 1 hki đại số 10 năm 2018 – 2019 trường lê quý đôn – quảng nam trong chuyên mục học toán 10 trên nền tảng toán math! Bộ bài tập toán trung học phổ thông, được biên soạn chuyên sâu và bám sát chặt chẽ chương trình Toán lớp 10 hiện hành, cam kết tối ưu hóa toàn diện quá trình ôn luyện. Qua đó, học sinh không chỉ củng cố kiến thức cốt lõi mà còn xây dựng nền tảng vững chắc cho các năm học tiếp theo và định hướng đại học, nhờ phương pháp tiếp cận trực quan, logic và mang lại hiệu quả học tập vượt trội.
images-post/de-kiem-tra-so-1-hki-dai-so-10-nam-2018-2019-truong-le-quy-don-quang-nam-01.jpgimages-post/de-kiem-tra-so-1-hki-dai-so-10-nam-2018-2019-truong-le-quy-don-quang-nam-02.jpgimages-post/de-kiem-tra-so-1-hki-dai-so-10-nam-2018-2019-truong-le-quy-don-quang-nam-03.jpgimages-post/de-kiem-tra-so-1-hki-dai-so-10-nam-2018-2019-truong-le-quy-don-quang-nam-04.jpgimages-post/de-kiem-tra-so-1-hki-dai-so-10-nam-2018-2019-truong-le-quy-don-quang-nam-05.jpgimages-post/de-kiem-tra-so-1-hki-dai-so-10-nam-2018-2019-truong-le-quy-don-quang-nam-06.jpgimages-post/de-kiem-tra-so-1-hki-dai-so-10-nam-2018-2019-truong-le-quy-don-quang-nam-07.jpgimages-post/de-kiem-tra-so-1-hki-dai-so-10-nam-2018-2019-truong-le-quy-don-quang-nam-08.jpgimages-post/de-kiem-tra-so-1-hki-dai-so-10-nam-2018-2019-truong-le-quy-don-quang-nam-09.jpgimages-post/de-kiem-tra-so-1-hki-dai-so-10-nam-2018-2019-truong-le-quy-don-quang-nam-10.jpg

File đề kiểm tra số 1 hki đại số 10 năm 2018 – 2019 trường lê quý đôn – quảng nam PDF Chi Tiết

TÌM KIẾM THEO TỪ KHÓA