Logo Header
  1. Môn Toán
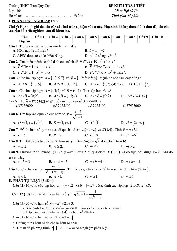
  2. đề kiểm tra 1 tiết đại số 10 chương 1 – 2 trường thpt trần quý cáp – quảng nam

đề kiểm tra 1 tiết đại số 10 chương 1 – 2 trường thpt trần quý cáp – quảng nam

Bạn đang xem tài liệu đề kiểm tra 1 tiết đại số 10 chương 1 – 2 trường thpt trần quý cáp – quảng nam được biên soạn theo toán mới nhất. Tài liệu này hệ thống hóa kiến thức một cách khoa học, phù hợp cho mọi lộ trình học từ cơ bản đến nâng cao. Hãy khai thác triệt để nội dung để bứt phá điểm số và tự tin chinh phục mọi kỳ thi nhé!

Phân tích Đề Kiểm Tra 1 Tiết Đại Số 10 – Trường THPT Trần Quý Cáp, Quảng Nam (Chương 1-2)

Đề kiểm tra 1 tiết môn Đại số 10 của trường THPT Trần Quý Cáp, Quảng Nam, tập trung vào kiến thức trọng tâm của hai chương đầu tiên: Mệnh đề – Tập hợp và Hàm số bậc nhất – Hàm số bậc hai. Đề thi có cấu trúc kết hợp giữa trắc nghiệm (10 câu) và tự luận (4 câu), với thời gian làm bài 45 phút, đòi hỏi học sinh phải nắm vững lý thuyết và kỹ năng giải quyết bài toán một cách nhanh chóng và chính xác.

Đánh giá chung về cấu trúc đề thi:

Cấu trúc đề thi khá cân đối, bao phủ các khía cạnh quan trọng của chương trình. Phần trắc nghiệm giúp kiểm tra nhanh kiến thức cơ bản và khả năng nhận biết các khái niệm. Phần tự luận tập trung vào việc vận dụng kiến thức để giải quyết các bài toán cụ thể, đòi hỏi học sinh phải có tư duy logic và kỹ năng tính toán tốt.

Phân tích chi tiết các câu hỏi:

  1. Câu hỏi trắc nghiệm về mệnh đề: Câu hỏi này kiểm tra khả năng phân biệt mệnh đề với các loại câu khác. Một mệnh đề phải là một khẳng định có thể xác định được tính đúng sai. Các lựa chọn A và C không phải là mệnh đề vì chúng là câu hỏi và một sự kiện cụ thể, không phải khẳng định. Lựa chọn D cũng không phải là mệnh đề vì nó phụ thuộc vào giá trị của n. Lựa chọn B là mệnh đề vì nó là một phương trình có thể kiểm tra tính đúng sai.
  2. Câu hỏi tự luận về hàm số bậc hai y = -x2 + 2x + 3:
    • a. Xác định tọa độ giao điểm với trục hoành: Đây là bài toán cơ bản về hàm số bậc hai, yêu cầu học sinh giải phương trình -x2 + 2x + 3 = 0 để tìm ra các giá trị của x là hoành độ giao điểm. Từ đó, tìm được tọa độ giao điểm là (x; 0).
    • b. Lập bảng biến thiên và vẽ đồ thị hàm số: Bài này kiểm tra khả năng phân tích hàm số bậc hai, xác định đỉnh, trục đối xứng, hệ số a và các điểm đặc biệt để vẽ đồ thị chính xác. Việc lập bảng biến thiên giúp học sinh hiểu rõ hơn về sự biến thiên của hàm số.
  3. Câu hỏi tự luận về hàm số y = ||x| – 2| – |x|:
    • a. Chứng minh hàm số chẵn: Để chứng minh hàm số chẵn, học sinh cần chứng minh y(-x) = y(x). Bài toán này đòi hỏi học sinh phải hiểu rõ định nghĩa của hàm số chẵn và vận dụng các tính chất của giá trị tuyệt đối.
    • b. Tìm m để phương trình ||x| – 2| – |x| = m có 4 nghiệm phân biệt: Đây là bài toán nâng cao, yêu cầu học sinh phải hiểu rõ về đồ thị của hàm số y = ||x| – 2| – |x| và sử dụng phương pháp xét nghiệm để tìm ra các giá trị của m thỏa mãn điều kiện đề bài. Việc vẽ đồ thị hàm số sẽ giúp học sinh dễ dàng hình dung và giải quyết bài toán này.

Nhận xét chung:

Đề thi có độ khó vừa phải, phù hợp với trình độ của học sinh lớp 10. Các câu hỏi được thiết kế đa dạng, giúp đánh giá toàn diện kiến thức và kỹ năng của học sinh. Để làm tốt bài thi này, học sinh cần nắm vững lý thuyết, luyện tập thường xuyên các dạng bài tập và rèn luyện kỹ năng giải quyết bài toán một cách nhanh chóng và chính xác.

Gợi ý ôn tập:

  • Ôn tập kỹ các định nghĩa, tính chất của mệnh đề, tập hợp, hàm số bậc nhất và hàm số bậc hai.
  • Luyện tập các bài tập về giải phương trình, vẽ đồ thị hàm số, xét tính đơn điệu của hàm số.
  • Rèn luyện kỹ năng giải quyết các bài toán kết hợp kiến thức của nhiều chương.
Khởi đầu hành trình Toán THPT vững vàng với nội dung đề kiểm tra 1 tiết đại số 10 chương 1 – 2 trường thpt trần quý cáp – quảng nam trong chuyên mục sgk toán 10 trên nền tảng toán! Bộ bài tập toán thpt, được biên soạn chuyên sâu và bám sát chặt chẽ chương trình Toán lớp 10 hiện hành, cam kết tối ưu hóa toàn diện quá trình ôn luyện. Qua đó, học sinh không chỉ củng cố kiến thức cốt lõi mà còn xây dựng nền tảng vững chắc cho các năm học tiếp theo và định hướng đại học, nhờ phương pháp tiếp cận trực quan, logic và mang lại hiệu quả học tập vượt trội.
images-post/de-kiem-tra-1-tiet-dai-so-10-chuong-1-2-truong-thpt-tran-quy-cap-quang-nam-1.jpg

File đề kiểm tra 1 tiết đại số 10 chương 1 – 2 trường thpt trần quý cáp – quảng nam PDF Chi Tiết

TÌM KIẾM THEO TỪ KHÓA