giaibaitoan.com xin giới thiệu đến quý thầy cô giáo và các em học sinh lớp 11 đề thi chọn học sinh giỏi môn Toán cấp cụm năm học 2024 – 2025, cụm trường THPT thị xã Việt Yên, tỉnh Bắc Giang. Đây là một đề thi có cấu trúc khá toàn diện, bao gồm các dạng bài tập khác nhau, đánh giá năng lực của học sinh trên nhiều khía cạnh của chương trình Toán 11.
Đề thi được xây dựng với cấu trúc cụ thể như sau:
Thời gian làm bài là 120 phút. Điểm đặc biệt của đề thi này là có kèm theo đáp án chi tiết và hướng dẫn chấm điểm, hỗ trợ tối đa cho quá trình ôn tập và tự đánh giá của học sinh.
Để minh họa cho độ khó và tính chất của đề thi, chúng ta cùng xem xét một số câu hỏi trích dẫn:
Câu 1: Bài toán về giá điện lũy tiến.
“Để tiết kiệm năng lượng, một công ty điện lực đề xuất bán điện sinh hoạt cho dân với theo hình thức lũy tiến (bậc thang) như sau: Mỗi bậc gồm 10 số; bậc 1 từ số thứ 1 đến số thứ 10, bậc 2 từ số thứ 11 đến số 20, bậc 3 từ số thứ 21 đến số thứ 30, …. Bậc 1 có giá là 800 đồng/1 số, giá của mỗi số ở bậc thứ n + 1 tăng so với giá của mỗi số ở bậc thứ n là 2,5%. Gia đình ông A sử dụng hết 347 số trong tháng 1, hỏi tháng 1 ông A phải đóng bao nhiêu tiền? (đơn vị là đồng, kết quả được làm tròn đến hàng phần trăm).”
Nhận xét: Đây là một bài toán thực tế, đòi hỏi học sinh phải vận dụng kiến thức về cấp số nhân để tính giá tiền ở mỗi bậc và sau đó cộng lại để tìm tổng số tiền phải trả. Bài toán này kiểm tra khả năng phân tích và giải quyết vấn đề của học sinh trong bối cảnh thực tế.
Câu 2: Bài toán về góc và tam giác trong không gian.
“Có hai chung cư cao tầng xây cạnh nhau với khoảng cách giữa chúng HK = 20 cm. Để đảm bảo an ninh, trên nóc chung cư thứ hai người ta lắp camera ở vị trí C. Gọi A, B lần lượt là vị trí thấp nhất và cao nhất trên chung cư thứ nhất mà camera có thể quan sát được. Biết chiều cao của hai chung cư lần lượt là BH = 24 m, CK = 32m và khoảng cách từ A đến mặt đất là AH = 6m. Khi đó tanACB bằng?”
Nhận xét: Bài toán này yêu cầu học sinh phải hình dung không gian ba chiều, xác định các yếu tố hình học cần thiết và sử dụng các công thức lượng giác để tính giá trị tanACB. Đây là một bài toán đòi hỏi tư duy không gian và khả năng áp dụng kiến thức hình học vào giải quyết vấn đề.
Câu 3: Bài toán về lãi kép và các tình huống tài chính.
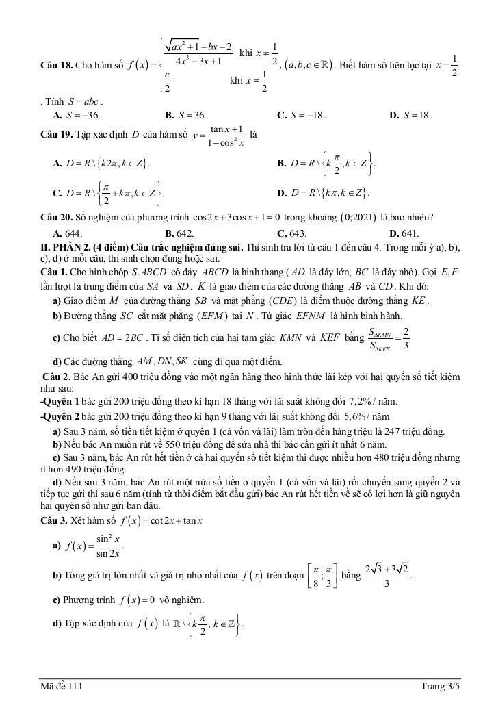
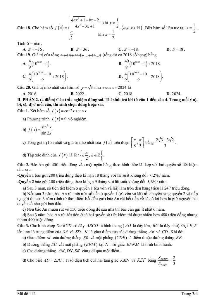
“Bác An gửi 400 triệu đồng vào một ngân hàng theo hình thức lãi kép với hai quyển sổ tiết kiệm như sau: – Quyển 1 bác gửi 200 triệu đồng theo kì hạn 18 tháng với lãi suất không đổi 7, 2% / năm. – Quyển 2 bác gửi 200 triệu đồng theo kì hạn 9 tháng với lãi suất không đổi 5,6% / năm. a) Sau 3 năm, số tiền tiết kiệm ở quyển 1 (cả vốn và lãi) làm tròn đến hàng triệu là 247 triệu đồng. b) Nếu bác An muốn rút về 550 triệu đồng để sửa nhà thì bác cần gửi ít nhất 6 năm. c) Sau 3 năm, bác An rút hết tiền ở cả hai quyển sổ tiết kiệm thì được nhiều hơn 480 triệu đồng nhưng ít hơn 490 triệu đồng. d) Nếu sau 3 năm, bác An rút một nửa số tiền ở quyển 1 (cả vốn và lãi) rồi chuyển sang quyển 2 và tiếp tục gửi thì sau 6 năm (tính từ thời điểm bắt đầu gửi) bác An rút hết tiền về sẽ có lợi hơn là giữ nguyên hai quyển sổ như gửi ban đầu.”
Nhận xét: Đây là một bài toán phức tạp, kết hợp kiến thức về lãi kép, tính toán thời gian gửi và so sánh các phương án tài chính khác nhau. Bài toán này đòi hỏi học sinh phải có khả năng phân tích, tính toán chính xác và đưa ra quyết định hợp lý trong các tình huống tài chính.
Tài liệu tham khảo:
File WORD (dành cho quý thầy, cô): TẢI XUỐNG
Nhìn chung, đề thi chọn học sinh giỏi Toán 11 năm học 2024 – 2025 cụm Việt Yên – Bắc Giang là một đề thi chất lượng, có tính phân loại cao, phù hợp với mục tiêu đánh giá năng lực của học sinh giỏi. Việc luyện tập với đề thi này sẽ giúp học sinh củng cố kiến thức, rèn luyện kỹ năng và chuẩn bị tốt cho các kỳ thi học sinh giỏi sắp tới.









