Logo Header
  1. Môn Toán
  2. đề thi hsg toán 11 lần 2 năm 2024 – 2025 trường thpt bình sơn – vĩnh phúc

đề thi hsg toán 11 lần 2 năm 2024 – 2025 trường thpt bình sơn – vĩnh phúc

Bạn đang xem tài liệu đề thi hsg toán 11 lần 2 năm 2024 – 2025 trường thpt bình sơn – vĩnh phúc được biên soạn theo toán học mới nhất. Tài liệu này hệ thống hóa kiến thức một cách khoa học, phù hợp cho mọi lộ trình học từ cơ bản đến nâng cao. Hãy khai thác triệt để nội dung để bứt phá điểm số và tự tin chinh phục mọi kỳ thi nhé!

giaibaitoan.com xin giới thiệu đến quý thầy cô giáo và các em học sinh lớp 11 đề thi khảo sát đội tuyển học sinh giỏi môn Toán 11 lần 2 năm học 2024 – 2025 của trường THPT Bình Sơn, tỉnh Vĩnh Phúc. Đề thi đi kèm với đáp án chi tiết, mã đề 211 – 212, là tài liệu ôn luyện hữu ích cho các em học sinh đang chuẩn bị cho các kỳ thi học sinh giỏi.

Đề thi năm nay có cấu trúc khá đa dạng, bao gồm các bài toán về thực tế, hình học và tài chính – ngân hàng, đòi hỏi học sinh phải có kiến thức vững chắc và khả năng vận dụng linh hoạt các công thức, định lý đã học. Dưới đây là phân tích chi tiết về từng bài toán:

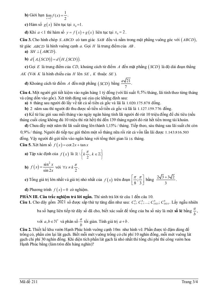
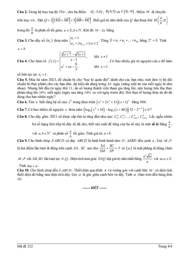
  1. Bài toán về năng suất và tiêu thụ thực phẩm: Bài toán này thuộc dạng toán về năng suất, thường gặp trong các kỳ thi học sinh giỏi. Điểm đặc biệt của bài toán là lượng tiêu thụ thực phẩm tăng dần theo thời gian, đòi hỏi học sinh phải thiết lập được phương trình biểu diễn sự thay đổi này và giải quyết bài toán một cách chính xác. Bài toán rèn luyện kỹ năng giải phương trình, bất phương trình và tư duy logic.
  2. Bài toán về thiết kế khu vườn và tối ưu hóa chi phí: Bài toán này kết hợp kiến thức về hình học (diện tích hình vuông) và tối ưu hóa. Để giải quyết bài toán, học sinh cần xác định được mối quan hệ giữa diện tích phần lát gạch và tổng chi phí thi công, sau đó tìm giá trị nhỏ nhất của chi phí. Bài toán này giúp học sinh phát triển khả năng tư duy hình học và kỹ năng giải quyết bài toán tối ưu.
  3. Bài toán về lãi suất ngân hàng: Bài toán này là một ứng dụng thực tế của kiến thức về lãi kép và lãi đơn. Bài toán yêu cầu học sinh tính toán số tiền lãi sau một khoảng thời gian nhất định, xét tính đúng sai của các khẳng định và giải quyết các tình huống thay đổi lãi suất. Bài toán này rèn luyện kỹ năng tính toán, phân tích và đánh giá các tình huống tài chính. Các ý a, b, c, d đòi hỏi sự cẩn thận trong tính toán và hiểu rõ các khái niệm về lãi suất.

Đánh giá chung:

Đề thi có độ khó tương đối cao, phù hợp với mục đích khảo sát học sinh giỏi. Các bài toán được thiết kế sáng tạo, đòi hỏi học sinh phải có kiến thức sâu rộng và khả năng giải quyết vấn đề tốt. Đề thi cũng chú trọng đến việc ứng dụng toán học vào thực tế, giúp học sinh hiểu rõ hơn về tầm quan trọng của môn học này.

Tài liệu hỗ trợ:

Để hỗ trợ quý thầy cô và các em học sinh trong quá trình ôn luyện, giaibaitoan.com cung cấp file WORD của đề thi. Quý thầy cô có thể tải xuống tại đây: TẢI XUỐNG

Hy vọng đề thi này sẽ là một tài liệu hữu ích cho các em học sinh trong quá trình chuẩn bị cho các kỳ thi học sinh giỏi môn Toán.

Chinh phục đỉnh cao Toán 11 và đặt nền móng vững chắc cho cánh cửa Đại học với nội dung đề thi hsg toán 11 lần 2 năm 2024 – 2025 trường thpt bình sơn – vĩnh phúc trong chuyên mục toán lớp 11 trên nền tảng toán học! Bộ bài tập toán trung học phổ thông, được biên soạn chuyên sâu, bám sát chặt chẽ chương trình Toán lớp 11 và định hướng các kỳ thi quan trọng, cam kết tối ưu hóa toàn diện quá trình ôn luyện. Qua đó, học sinh không chỉ làm chủ kiến thức phức tạp mà còn rèn luyện tư duy giải quyết vấn đề, sẵn sàng cho các kỳ thi và chương trình đại học, nhờ phương pháp tiếp cận trực quan, logic và mang lại hiệu quả học tập vượt trội.
images-post/de-thi-hsg-toan-11-lan-2-nam-2024-2025-truong-thpt-binh-son-vinh-phuc-01.jpgimages-post/de-thi-hsg-toan-11-lan-2-nam-2024-2025-truong-thpt-binh-son-vinh-phuc-02.jpgimages-post/de-thi-hsg-toan-11-lan-2-nam-2024-2025-truong-thpt-binh-son-vinh-phuc-03.jpgimages-post/de-thi-hsg-toan-11-lan-2-nam-2024-2025-truong-thpt-binh-son-vinh-phuc-04.jpgimages-post/de-thi-hsg-toan-11-lan-2-nam-2024-2025-truong-thpt-binh-son-vinh-phuc-05.jpgimages-post/de-thi-hsg-toan-11-lan-2-nam-2024-2025-truong-thpt-binh-son-vinh-phuc-06.jpgimages-post/de-thi-hsg-toan-11-lan-2-nam-2024-2025-truong-thpt-binh-son-vinh-phuc-07.jpgimages-post/de-thi-hsg-toan-11-lan-2-nam-2024-2025-truong-thpt-binh-son-vinh-phuc-08.jpgimages-post/de-thi-hsg-toan-11-lan-2-nam-2024-2025-truong-thpt-binh-son-vinh-phuc-09.jpgimages-post/de-thi-hsg-toan-11-lan-2-nam-2024-2025-truong-thpt-binh-son-vinh-phuc-10.jpg

File đề thi hsg toán 11 lần 2 năm 2024 – 2025 trường thpt bình sơn – vĩnh phúc PDF Chi Tiết

TÌM KIẾM THEO TỪ KHÓA