Logo Header
  1. Môn Toán
  2. đề thi thử tn thpt 2025 môn toán lần 2 trường thpt chuyên đh vinh – nghệ an

đề thi thử tn thpt 2025 môn toán lần 2 trường thpt chuyên đh vinh – nghệ an

Bạn đang xem tài liệu đề thi thử tn thpt 2025 môn toán lần 2 trường thpt chuyên đh vinh – nghệ an được biên soạn theo học toán mới nhất. Tài liệu này hệ thống hóa kiến thức một cách khoa học, phù hợp cho mọi lộ trình học từ cơ bản đến nâng cao. Hãy khai thác triệt để nội dung để bứt phá điểm số và tự tin chinh phục mọi kỳ thi nhé!

giaibaitoan.com xin giới thiệu đến quý thầy cô giáo và các em học sinh đề thi thử tốt nghiệp THPT năm 2025 môn Toán lần 2 của trường THPT chuyên Đại học Vinh, tỉnh Nghệ An. Đề thi này được đánh giá là có độ khó cao, bám sát cấu trúc đề thi tốt nghiệp THPT của Bộ Giáo dục và Đào tạo, đồng thời có sự phân hóa rõ rệt, giúp học sinh làm quen với các dạng bài tập thường gặp và nâng cao khả năng giải quyết vấn đề.

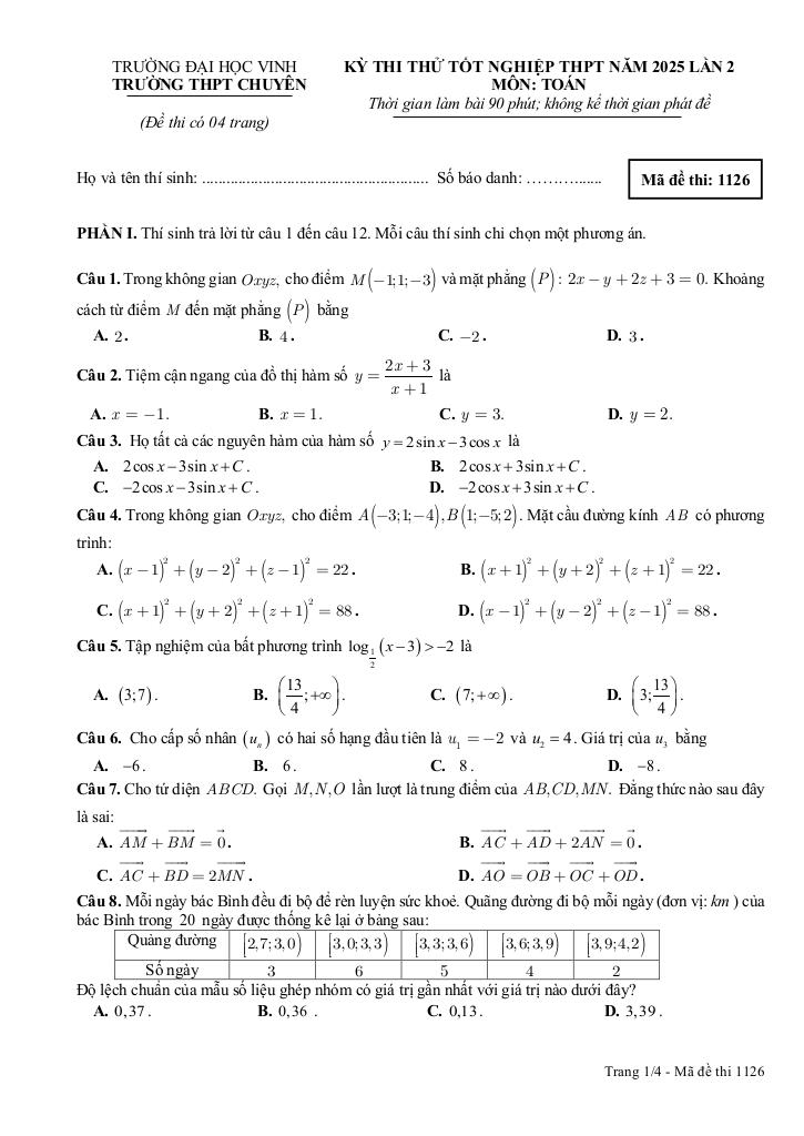
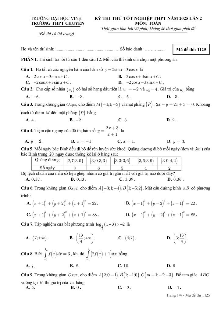
Đề thi bao gồm nhiều câu hỏi thuộc các chủ đề khác nhau, từ đại số, hình học đến giải tích. Dưới đây là phân tích chi tiết về một số câu hỏi tiêu biểu:

  1. Bài toán tối ưu hóa (Bài 1): Bài toán về bà Hòa bổ sung thực phẩm X và Y để tối ưu hóa chi phí là một bài toán quy hoạch tuyến tính quen thuộc. Để giải quyết bài toán này, học sinh cần nắm vững phương pháp xây dựng mô hình toán học, xác định hàm mục tiêu và các ràng buộc, sau đó sử dụng phương pháp đồ thị hoặc simplex để tìm ra nghiệm tối ưu. Bài toán này đòi hỏi học sinh phải có khả năng phân tích đề bài, chuyển đổi thông tin thành ngôn ngữ toán học và vận dụng linh hoạt các kiến thức đã học.
  2. Bài toán hình học không gian (Bài 2): Bài toán tính thể tích lượng đất trong chậu cảnh hình chóp cụt tứ giác đều là một bài toán hình học không gian cơ bản. Học sinh cần nắm vững công thức tính thể tích của hình chóp cụt và áp dụng một cách chính xác. Điểm đáng lưu ý là việc đổi đơn vị từ cm sang dm để đảm bảo kết quả cuối cùng chính xác và phù hợp với yêu cầu của đề bài.
  3. Bài toán hình học phẳng và tối ưu hóa (Bài 3): Bài toán về ông An căng dây phao ngăn góc nhỏ của ao là một bài toán kết hợp giữa hình học phẳng và tối ưu hóa. Để giải quyết bài toán này, học sinh cần sử dụng kiến thức về đường thẳng, đường tròn, hệ tọa độ và các tính chất hình học để tìm ra vị trí của dây phao sao cho độ dài của nó là nhỏ nhất. Bài toán này đòi hỏi học sinh phải có tư duy logic, khả năng suy luận và vận dụng linh hoạt các kiến thức đã học.

Đánh giá chung:

Đề thi thử tốt nghiệp THPT năm 2025 môn Toán lần 2 trường THPT chuyên Đại học Vinh có chất lượng tốt, độ khó phù hợp, bám sát cấu trúc đề thi chính thức và có tính phân hóa cao. Đề thi này là một tài liệu ôn tập hữu ích cho học sinh đang chuẩn bị cho kỳ thi tốt nghiệp THPT. Việc giải đề thi này sẽ giúp học sinh củng cố kiến thức, rèn luyện kỹ năng giải quyết vấn đề và làm quen với áp lực thời gian.

Lưu ý:

Quý thầy cô giáo có thể tải file WORD của đề thi tại đây: TẢI XUỐNG

giaibaitoan.com sẽ tiếp tục cập nhật thêm nhiều đề thi thử khác để phục vụ nhu cầu ôn tập của học sinh và thầy cô.

Xem thêm đáp án: đề thi thử tn thpt 2025 môn toán lần 2 trường thpt chuyên đh vinh – nghệ an

images-post/de-thi-thu-tn-thpt-2025-mon-toan-lan-2-truong-thpt-chuyen-dh-vinh-nghe-an-01.jpgimages-post/de-thi-thu-tn-thpt-2025-mon-toan-lan-2-truong-thpt-chuyen-dh-vinh-nghe-an-02.jpgimages-post/de-thi-thu-tn-thpt-2025-mon-toan-lan-2-truong-thpt-chuyen-dh-vinh-nghe-an-03.jpgimages-post/de-thi-thu-tn-thpt-2025-mon-toan-lan-2-truong-thpt-chuyen-dh-vinh-nghe-an-04.jpgimages-post/de-thi-thu-tn-thpt-2025-mon-toan-lan-2-truong-thpt-chuyen-dh-vinh-nghe-an-05.jpgimages-post/de-thi-thu-tn-thpt-2025-mon-toan-lan-2-truong-thpt-chuyen-dh-vinh-nghe-an-06.jpgimages-post/de-thi-thu-tn-thpt-2025-mon-toan-lan-2-truong-thpt-chuyen-dh-vinh-nghe-an-07.jpgimages-post/de-thi-thu-tn-thpt-2025-mon-toan-lan-2-truong-thpt-chuyen-dh-vinh-nghe-an-08.jpgimages-post/de-thi-thu-tn-thpt-2025-mon-toan-lan-2-truong-thpt-chuyen-dh-vinh-nghe-an-09.jpgimages-post/de-thi-thu-tn-thpt-2025-mon-toan-lan-2-truong-thpt-chuyen-dh-vinh-nghe-an-10.jpg

File đề thi thử tn thpt 2025 môn toán lần 2 trường thpt chuyên đh vinh – nghệ an PDF Chi Tiết