giaibaitoan.com xin giới thiệu đến quý thầy cô giáo và các em học sinh lớp 12 bộ đề thi thử tốt nghiệp THPT năm 2025 môn Toán của trường THPT Ngô Gia Tự, tỉnh Phú Yên. Đề thi được đánh giá là có cấu trúc bám sát định hướng đề thi chính thức của Bộ Giáo dục và Đào tạo, đồng thời có độ khó phù hợp, giúp học sinh làm quen với nhiều dạng bài tập khác nhau.
Bộ đề thi này bao gồm các mã đề 1121, 1122, 1123 và 1124, đáp án chi tiết đi kèm sẽ là tài liệu tham khảo hữu ích cho quá trình ôn luyện và tự đánh giá năng lực của học sinh.
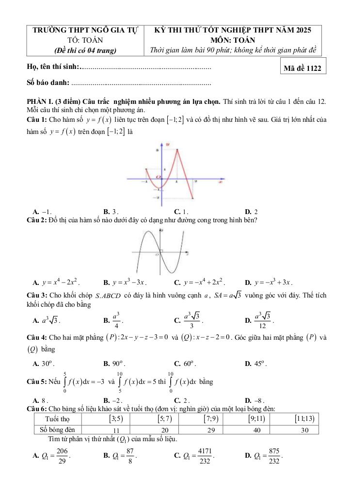
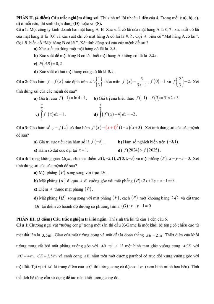
Dưới đây là phân tích chi tiết một số câu hỏi tiêu biểu trong đề thi:
Bài toán về "chướng ngại vật tường cong" là một ví dụ điển hình về sự kết hợp giữa hình học không gian và phương pháp tích phân. Để giải quyết bài toán này, học sinh cần:
Bài toán về vận động viên nhảy dù là một bài toán quen thuộc về cấp số cộng. Để giải quyết bài toán này, học sinh cần:
Bài toán về người đi xe đạp là một bài toán ứng dụng thực tế của đường tròn. Để giải quyết bài toán này, học sinh cần:
Nhận xét chung:
Đề thi thử tốt nghiệp THPT năm 2025 môn Toán trường THPT Ngô Gia Tự, tỉnh Phú Yên là một đề thi chất lượng, có tính phân loại cao. Đề thi tập trung vào các kiến thức trọng tâm của chương trình Toán lớp 12, đồng thời có sự kết hợp giữa các dạng bài tập khác nhau. Việc luyện tập với đề thi này sẽ giúp học sinh tự tin hơn khi bước vào kỳ thi tốt nghiệp THPT chính thức.
Xem thêm đáp án: đề thi thử tn thpt 2025 môn toán trường thpt ngô gia tự – phú yên









