giaibaitoan.com xin giới thiệu đến quý thầy cô giáo và các em học sinh lớp 12 đề thi thử tốt nghiệp THPT năm 2025 môn Toán do Sở Giáo dục và Đào tạo tỉnh Quảng Nam tổ chức, được thực hiện vào ngày 24 tháng 04 năm 2025. Đề thi này đóng vai trò quan trọng trong việc đánh giá năng lực và chuẩn bị tâm lý cho kỳ thi chính thức sắp tới.
Dưới đây là phân tích chi tiết về một số câu hỏi trích dẫn từ đề thi thử:
Bài toán này kết hợp kiến thức về hệ tọa độ trong không gian Oxyz và ứng dụng vào mô hình thực tế – phòng không. Điểm đặc biệt của câu hỏi là việc yêu cầu thí sinh xác định vận tốc của UAV A dựa trên dữ liệu tọa độ tại hai thời điểm khác nhau, từ đó suy ra phương trình đường thẳng d. Sau đó, cần tính toán thời gian tên lửa va chạm với UAV A, đòi hỏi sự chính xác trong các phép tính vector và giải phương trình.
Nhận xét: Đây là một câu hỏi điển hình thuộc dạng vận dụng cao, kiểm tra khả năng tư duy không gian và kỹ năng giải quyết vấn đề của thí sinh. Việc hiểu rõ các khái niệm về vector, phương trình đường thẳng và vận tốc là yếu tố then chốt để giải quyết bài toán này.
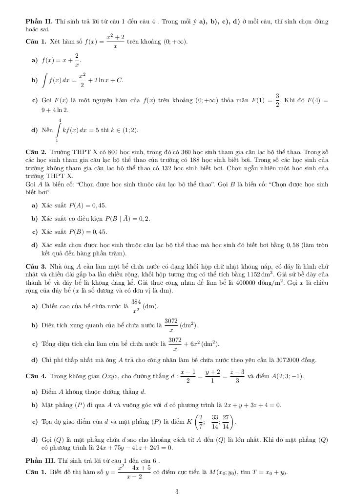
Câu hỏi này tập trung vào việc vận dụng các công thức xác suất cơ bản, bao gồm xác suất của biến cố, xác suất có điều kiện và các mối quan hệ giữa chúng. Thí sinh cần xây dựng bảng tần số hoặc sử dụng công thức tính xác suất để tìm ra các giá trị P(A), P(B|A¯), P(B) và xác suất chọn được học sinh thuộc câu lạc bộ thể thao mà học sinh đó biết bơi.
Nhận xét: Đây là một câu hỏi quen thuộc trong chương trình Toán lớp 12, thường xuất hiện trong các đề thi thử và đề thi chính thức. Để giải quyết bài toán này một cách hiệu quả, thí sinh cần nắm vững các định nghĩa và công thức liên quan đến xác suất, đồng thời có khả năng phân tích và suy luận logic.
Bài toán này liên quan đến kiến thức về lãi kép và ứng dụng vào thực tế tài chính. Thí sinh cần sử dụng công thức tính lãi kép để xác định số tiền cần gửi ban đầu, dựa trên số tiền mong muốn rút ra sau một khoảng thời gian nhất định và lãi suất cho trước. Lưu ý rằng kỳ hạn của lãi kép là 1 tháng, do đó cần chuyển đổi thời gian gửi tiền sang đơn vị tháng.
Nhận xét: Đây là một câu hỏi thực tế, giúp thí sinh hiểu rõ hơn về ứng dụng của Toán học trong lĩnh vực tài chính. Để giải quyết bài toán này, thí sinh cần nắm vững công thức tính lãi kép và có khả năng chuyển đổi đơn vị thời gian một cách chính xác.
Đánh giá chung: Đề thi thử tốt nghiệp THPT năm 2025 môn Toán của Sở GD&ĐT Quảng Nam có cấu trúc tương đối ổn định, bao gồm các câu hỏi thuộc nhiều chủ đề khác nhau, từ đại số, hình học đến xác suất và lãi kép. Đề thi có độ khó vừa phải, tập trung vào việc kiểm tra kiến thức cơ bản và khả năng vận dụng vào giải quyết các bài toán thực tế. Đây là một đề thi tốt để các em học sinh lớp 12 rèn luyện kỹ năng và chuẩn bị tốt nhất cho kỳ thi tốt nghiệp THPT sắp tới.
Xem thêm đáp án: đề thi thử tốt nghiệp thpt năm 2025 môn toán sở gd&đt quảng nam



