giaibaitoan.com xin giới thiệu đến quý thầy cô giáo và các em học sinh đề thi tuyển sinh lớp 10 chuyên môn Toán năm học 2025 – 2026 của Sở Giáo dục và Đào tạo tỉnh Đồng Nai. Kỳ thi chính thức diễn ra vào ngày 30 tháng 05 năm 2025. Đề thi được cung cấp kèm theo đáp án và lời giải chi tiết, hỗ trợ tối đa cho quá trình ôn luyện và tự học.
Dưới đây là nội dung chi tiết các câu hỏi của đề thi:
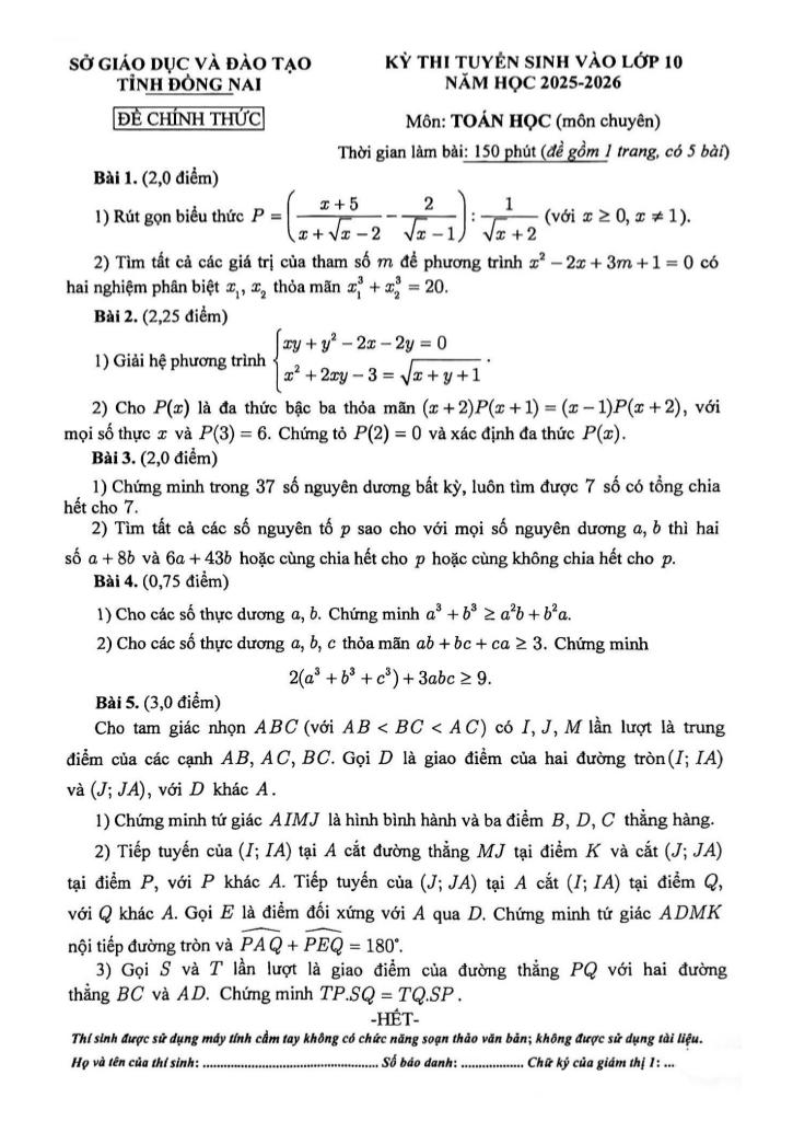
Cho tam giác nhọn ABC (với AB < BC < AC) có I, J, M lần lượt là trung điểm của các cạnh AB, AC, BC. Gọi D là giao điểm của hai đường tròn (I; IA) và (J; JA), với D khác A.
Nhận xét: Đây là một bài hình học khá phức tạp, đòi hỏi thí sinh có kiến thức vững chắc về đường tròn, tính chất đối xứng, và các định lý liên quan đến tứ giác nội tiếp. Điểm mấu chốt để giải quyết bài toán này là việc sử dụng một cách linh hoạt các tính chất của trung điểm, đường tròn và các góc trong tam giác. Câu c) đặc biệt thách thức, đòi hỏi sự kết hợp của nhiều kiến thức và kỹ năng khác nhau.
Tìm tất cả các giá trị của tham số m để phương trình x2 – 2x + 3m + 1 = 0 có hai nghiệm phân biệt x1, x2 thỏa mãn x13 + x23 = 20.
Nhận xét: Bài toán này kiểm tra kiến thức về phương trình bậc hai, điều kiện có nghiệm phân biệt, và các công thức liên hệ giữa nghiệm và hệ số. Để giải quyết bài toán, thí sinh cần sử dụng các công thức Viète, biến đổi đại số và giải phương trình để tìm ra giá trị của m.
Tìm tất cả các số nguyên tố p sao cho với mọi số nguyên dương a, b thì hai số a + 8b và 6a + 43b hoặc cùng chia hết cho p hoặc cùng không chia hết cho p.
Nhận xét: Đây là một bài toán số học đòi hỏi sự hiểu biết về tính chất chia hết, số nguyên tố và các phép toán modulo. Bài toán này có tính chất logic cao, đòi hỏi thí sinh phải suy luận một cách chặt chẽ để tìm ra các giá trị của p thỏa mãn điều kiện đề bài.
Đánh giá chung: Đề thi tuyển sinh lớp 10 chuyên Toán tỉnh Đồng Nai năm 2025 – 2026 có độ khó tương đối cao, bao gồm các câu hỏi đòi hỏi thí sinh phải có kiến thức nền tảng vững chắc và khả năng vận dụng linh hoạt các công cụ toán học. Đề thi tập trung vào các chủ đề quan trọng như hình học, đại số và số học, đồng thời có sự phân hóa rõ rệt về độ khó giữa các câu hỏi. Đây là một đề thi tốt để đánh giá năng lực và khả năng giải quyết vấn đề của học sinh.









