Logo Header
  1. Môn Toán
  2. đề cuối học kì 2 toán 12 năm 2024 – 2025 trường thpt hùng thắng – hải phòng

đề cuối học kì 2 toán 12 năm 2024 – 2025 trường thpt hùng thắng – hải phòng

Bạn đang xem tài liệu đề cuối học kì 2 toán 12 năm 2024 – 2025 trường thpt hùng thắng – hải phòng được biên soạn theo học toán mới nhất. Tài liệu này hệ thống hóa kiến thức một cách khoa học, phù hợp cho mọi lộ trình học từ cơ bản đến nâng cao. Hãy khai thác triệt để nội dung để bứt phá điểm số và tự tin chinh phục mọi kỳ thi nhé!

giaibaitoan.com xin giới thiệu đến quý thầy cô giáo và các em học sinh lớp 12 đề kiểm tra cuối học kỳ 2 môn Toán 12 năm học 2024 – 2025 của trường THPT Hùng Thắng, thành phố Hải Phòng. Đề thi được cung cấp kèm đáp án chi tiết cho các mã đề 121, 122, 123, 124, 125, 126, 127, 128, tạo điều kiện thuận lợi cho việc tự học và ôn tập.

Đề thi năm nay tập trung đánh giá kiến thức và kỹ năng giải quyết vấn đề của học sinh trong các chủ đề trọng tâm của chương trình Toán 12, bao gồm:

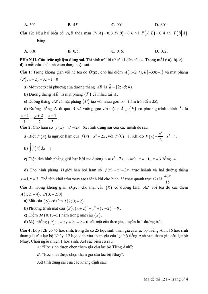
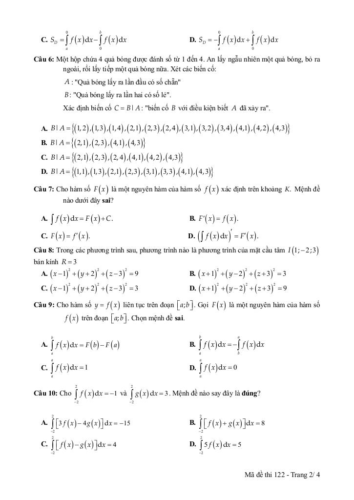
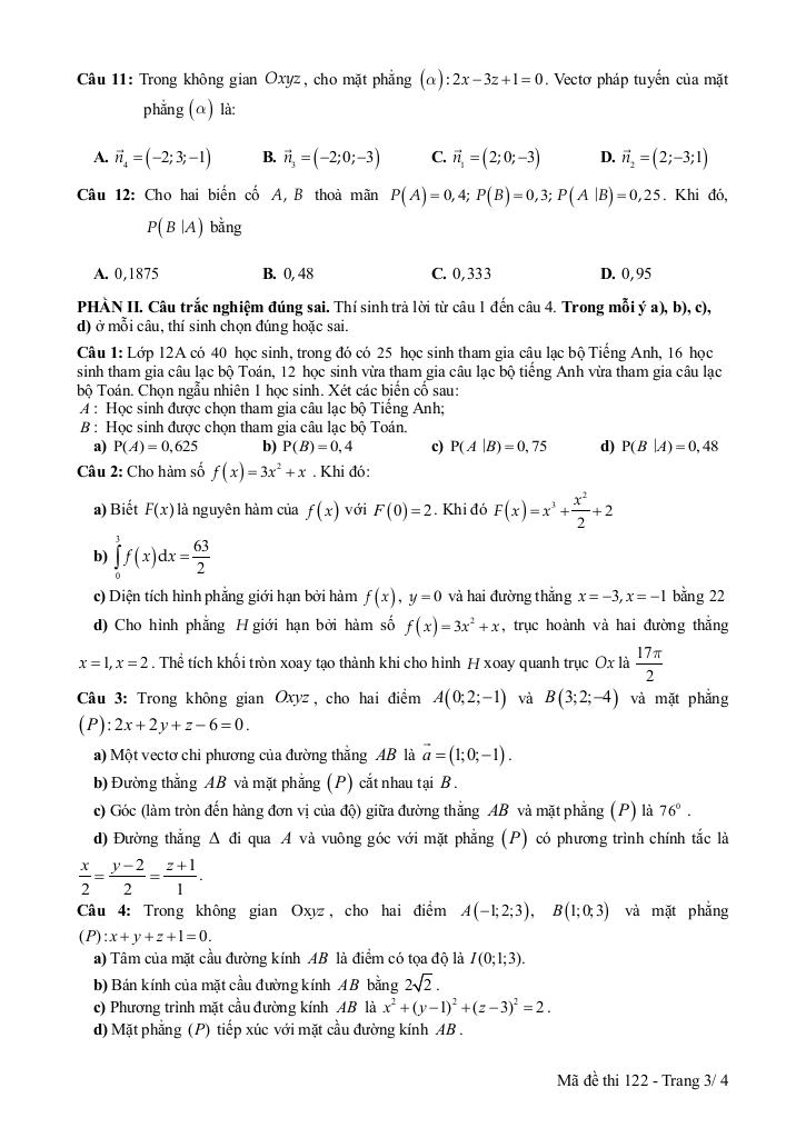
  1. Xác suất trong thực tế: Bài toán về hộp bóng với các biến cố A và B đòi hỏi học sinh vận dụng kiến thức về xác suất có điều kiện để tính toán chính xác. Đây là một dạng bài tập thường gặp trong các kỳ thi, đòi hỏi học sinh phải hiểu rõ công thức và cách áp dụng.
  2. Phép đếm và tổ hợp: Bài toán về học sinh tham gia câu lạc bộ Tiếng Anh và Nhảy yêu cầu học sinh sử dụng các công cụ của phép đếm để xác định số lượng phần tử trong các tập hợp và kiểm tra tính đúng sai của các khẳng định liên quan đến các biến cố.
  3. Ứng dụng tích phân trong hình học: Bài toán về thiết kế logo hình con mắt đòi hỏi học sinh phải hiểu rõ về tích phân và khả năng ứng dụng để tính diện tích hình phẳng giới hạn bởi các đường cong. Đây là một bài toán thực tế, giúp học sinh thấy được tính ứng dụng của toán học trong đời sống.

Nhận xét chung về đề thi:

  • Đề thi có cấu trúc rõ ràng, phân loại theo mức độ khó tăng dần, giúp học sinh có thể làm bài một cách hiệu quả.
  • Các câu hỏi được trình bày mạch lạc, dễ hiểu, tránh gây nhầm lẫn cho học sinh.
  • Đề thi tập trung vào các kiến thức trọng tâm, thường xuyên xuất hiện trong các kỳ thi THPT Quốc gia.
  • Bài toán về logo là một điểm nhấn của đề thi, đòi hỏi học sinh phải có tư duy logic và khả năng giải quyết vấn đề sáng tạo.

Lưu ý:

Quý thầy cô giáo có thể tải file WORD của đề thi để sử dụng trong công tác giảng dạy và ôn tập cho học sinh. Học sinh nên tự giải đề thi và đối chiếu với đáp án để đánh giá năng lực của bản thân và rút kinh nghiệm cho các kỳ thi sắp tới.

File WORD (dành cho quý thầy, cô): TẢI XUỐNG

Chinh phục điểm cao Kỳ thi Tốt nghiệp THPT Quốc gia môn Toán, rộng mở cánh cửa Đại học với nội dung đề cuối học kì 2 toán 12 năm 2024 – 2025 trường thpt hùng thắng – hải phòng trong chuyên mục đề thi toán 12 trên nền tảng học toán! Bộ bài tập toán thpt, được biên soạn chuyên sâu, bám sát cấu trúc đề thi và chương trình Toán 12, cam kết tối ưu hóa toàn diện lộ trình ôn luyện. Qua đó, học sinh không chỉ làm chủ mọi dạng bài thi mà còn trang bị chiến thuật làm bài hiệu quả, tự tin đạt kết quả đột phá, tạo nền tảng vững chắc cho Kỳ thi Tốt nghiệp THPT Quốc gia và hành trang vững vàng vào đại học, nhờ phương pháp tiếp cận trực quan, khoa học và mang lại hiệu quả học tập vượt trội.
images-post/de-cuoi-hoc-ki-2-toan-12-nam-2024-2025-truong-thpt-hung-thang-hai-phong-01.jpgimages-post/de-cuoi-hoc-ki-2-toan-12-nam-2024-2025-truong-thpt-hung-thang-hai-phong-02.jpgimages-post/de-cuoi-hoc-ki-2-toan-12-nam-2024-2025-truong-thpt-hung-thang-hai-phong-03.jpgimages-post/de-cuoi-hoc-ki-2-toan-12-nam-2024-2025-truong-thpt-hung-thang-hai-phong-04.jpgimages-post/de-cuoi-hoc-ki-2-toan-12-nam-2024-2025-truong-thpt-hung-thang-hai-phong-05.jpgimages-post/de-cuoi-hoc-ki-2-toan-12-nam-2024-2025-truong-thpt-hung-thang-hai-phong-06.jpgimages-post/de-cuoi-hoc-ki-2-toan-12-nam-2024-2025-truong-thpt-hung-thang-hai-phong-07.jpgimages-post/de-cuoi-hoc-ki-2-toan-12-nam-2024-2025-truong-thpt-hung-thang-hai-phong-08.jpgimages-post/de-cuoi-hoc-ki-2-toan-12-nam-2024-2025-truong-thpt-hung-thang-hai-phong-09.jpgimages-post/de-cuoi-hoc-ki-2-toan-12-nam-2024-2025-truong-thpt-hung-thang-hai-phong-10.jpg

File đề cuối học kì 2 toán 12 năm 2024 – 2025 trường thpt hùng thắng – hải phòng PDF Chi Tiết

TÌM KIẾM THEO TỪ KHÓA