Logo Header
  1. Môn Toán
  2. đề cuối học kỳ 2 toán 10 năm 2022 – 2023 trường thpt số 3 tp lào cai

đề cuối học kỳ 2 toán 10 năm 2022 – 2023 trường thpt số 3 tp lào cai

Bạn đang xem tài liệu đề cuối học kỳ 2 toán 10 năm 2022 – 2023 trường thpt số 3 tp lào cai được biên soạn theo tài liệu toán mới nhất. Tài liệu này hệ thống hóa kiến thức một cách khoa học, phù hợp cho mọi lộ trình học từ cơ bản đến nâng cao. Hãy khai thác triệt để nội dung để bứt phá điểm số và tự tin chinh phục mọi kỳ thi nhé!

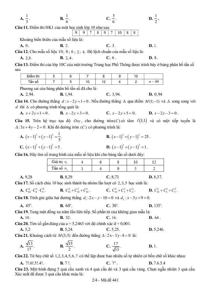
giaibaitoan.com xin giới thiệu đến quý thầy cô giáo và các em học sinh lớp 10 bộ đề kiểm tra cuối học kỳ 2 môn Toán 10 năm học 2022 – 2023 của trường THPT số 3 thành phố Lào Cai, tỉnh Lào Cai. Đề thi được cung cấp kèm đáp án trắc nghiệm và hướng dẫn giải chi tiết các bài toán tự luận, là tài liệu ôn tập hữu ích cho học sinh và nguồn tham khảo giá trị cho giáo viên.

Đánh giá chung về đề thi:

Đề thi có cấu trúc khá điển hình của một đề kiểm tra cuối kỳ Toán 10, bao gồm các dạng bài tập thuộc nhiều chủ đề quan trọng. Đề thi có sự phân hóa rõ rệt, từ các câu hỏi cơ bản đến các câu hỏi vận dụng, giúp đánh giá toàn diện năng lực của học sinh. Mức độ khó của đề thi được đánh giá là vừa phải, phù hợp với đa số học sinh khá giỏi.

Nội dung chi tiết đề thi:

  1. Xác suất:
    • Câu a: Tính xác suất của biến cố “Tổng số chấm trong hai lần gieo xúc xắc bằng 6”. Đây là một bài toán xác suất cơ bản, yêu cầu học sinh liệt kê các trường hợp thuận lợi và tính xác suất theo công thức.
    • Câu b: Tính xác suất của biến cố “Chọn được số có chữ số hàng đơn vị lớn hơn chữ số hàng chục” khi chọn ngẫu nhiên một số từ tập hợp [40;60]. Bài toán này đòi hỏi học sinh phải xác định đúng không gian mẫu và các trường hợp thỏa mãn điều kiện.
  2. Phương trình đường tròn:
    • Câu a: Lập phương trình đường tròn (C) khi biết tâm I(5;-2) và đi qua điểm A(-4;1). Đây là một bài toán áp dụng công thức phương trình đường tròn.
    • Câu b: Lập phương trình tiếp tuyến tại điểm M0(-1;4) thuộc đường tròn x2 + y2 = 25. Bài toán này yêu cầu học sinh nắm vững kiến thức về phương trình tiếp tuyến của đường tròn.
  3. Xác suất nâng cao:
    • Bài toán: Một hộp đựng 10 thẻ được đánh số từ 1 đến 10. Rút ngẫu nhiên đồng thời 3 thẻ từ trong hộp. Tính xác suất của biến cố “Tích ba số ghi trên ba thẻ là một số chia hết cho 6”. Đây là một bài toán xác suất phức tạp hơn, đòi hỏi học sinh phải hiểu rõ các yếu tố chia hết và sử dụng các kỹ năng tổ hợp để giải quyết.

Nhận xét:

Đề thi tập trung vào các kiến thức trọng tâm của chương trình Toán 10 như xác suất, phương trình đường tròn. Các bài toán được thiết kế một cách logic, giúp học sinh rèn luyện kỹ năng giải quyết vấn đề và áp dụng kiến thức vào thực tế. Bài toán về xác suất tích ba số chia hết cho 6 là một điểm nhấn của đề thi, đòi hỏi học sinh phải có tư duy phân tích và vận dụng linh hoạt các kiến thức đã học.

Tài liệu hỗ trợ:

Để hỗ trợ quý thầy cô và các em học sinh trong quá trình ôn tập và giải đề, giaibaitoan.com cung cấp file WORD của đề thi kèm đáp án chi tiết. Quý thầy cô có thể tải xuống tại:

File WORD TẢI XUỐNG

Khởi đầu hành trình Toán THPT vững vàng với nội dung đề cuối học kỳ 2 toán 10 năm 2022 – 2023 trường thpt số 3 tp lào cai trong chuyên mục bài tập toán lớp 10 trên nền tảng tài liệu toán! Bộ bài tập toán trung học phổ thông, được biên soạn chuyên sâu và bám sát chặt chẽ chương trình Toán lớp 10 hiện hành, cam kết tối ưu hóa toàn diện quá trình ôn luyện. Qua đó, học sinh không chỉ củng cố kiến thức cốt lõi mà còn xây dựng nền tảng vững chắc cho các năm học tiếp theo và định hướng đại học, nhờ phương pháp tiếp cận trực quan, logic và mang lại hiệu quả học tập vượt trội.
images-post/de-cuoi-hoc-ky-2-toan-10-nam-2022-2023-truong-thpt-so-3-tp-lao-cai-01.jpgimages-post/de-cuoi-hoc-ky-2-toan-10-nam-2022-2023-truong-thpt-so-3-tp-lao-cai-02.jpgimages-post/de-cuoi-hoc-ky-2-toan-10-nam-2022-2023-truong-thpt-so-3-tp-lao-cai-03.jpgimages-post/de-cuoi-hoc-ky-2-toan-10-nam-2022-2023-truong-thpt-so-3-tp-lao-cai-04.jpgimages-post/de-cuoi-hoc-ky-2-toan-10-nam-2022-2023-truong-thpt-so-3-tp-lao-cai-05.jpgimages-post/de-cuoi-hoc-ky-2-toan-10-nam-2022-2023-truong-thpt-so-3-tp-lao-cai-06.jpgimages-post/de-cuoi-hoc-ky-2-toan-10-nam-2022-2023-truong-thpt-so-3-tp-lao-cai-07.jpgimages-post/de-cuoi-hoc-ky-2-toan-10-nam-2022-2023-truong-thpt-so-3-tp-lao-cai-08.jpgimages-post/de-cuoi-hoc-ky-2-toan-10-nam-2022-2023-truong-thpt-so-3-tp-lao-cai-09.jpgimages-post/de-cuoi-hoc-ky-2-toan-10-nam-2022-2023-truong-thpt-so-3-tp-lao-cai-10.jpg

File đề cuối học kỳ 2 toán 10 năm 2022 – 2023 trường thpt số 3 tp lào cai PDF Chi Tiết