giaibaitoan.com xin giới thiệu đến quý thầy cô giáo và các em học sinh lớp 10 đề kiểm tra cuối học kì 2 môn Toán 10 năm học 2024 – 2025 của trường THPT Chế Lan Viên, tỉnh Quảng Trị. Đề thi này được đánh giá là có cấu trúc khá cân đối, bao gồm các dạng bài tập khác nhau, giúp đánh giá toàn diện kiến thức và kỹ năng của học sinh sau một học kỳ học tập.
Cụ thể, đề thi có cấu trúc như sau:
Thời gian làm bài là 90 phút.
Dưới đây là một số câu hỏi trích dẫn từ đề thi, cùng với nhận xét và phân tích chuyên sâu:
Một tháp làm nguội của một nhà máy có mặt cắt là một hypebol có phương trình x2/252 – y2/402 = 1. Biết chiều cao của tháp là 120m và khoảng cách từ nóc tháp đến tâm đối xứng của hypebol bằng 2/3 khoảng cách từ tâm đối xứng đến đáy. Chọn hệ trục toạ độ như hình vẽ, tính bán kính nóc và bán kính đáy của tháp. (Làm tròn kết quả đến hàng phần mười).
Nhận xét: Đây là một bài toán điển hình kết hợp kiến thức về đường hypebol và ứng dụng vào thực tế. Bài toán đòi hỏi học sinh phải hiểu rõ phương trình đường hypebol, các yếu tố a, b, c và mối quan hệ giữa chúng. Đồng thời, học sinh cần khả năng đọc hiểu đề bài, thiết lập hệ trục toạ độ phù hợp và giải quyết bài toán một cách logic.
Một câu lạc bộ kỹ năng gồm 12 bạn nam và 8 bạn nữ. Chọn ngẫu nhiên 5 bạn tham gia trại hè do Huyện đoàn tổ chức. Hỏi có bao nhiêu cách chọn trong đó có ít nhất 1 bạn nam?
Nhận xét: Bài toán này thuộc chuyên đề tổ hợp, cụ thể là kỹ thuật đếm. Để giải bài toán này, học sinh có thể sử dụng phương pháp trực tiếp (liệt kê các trường hợp có ít nhất 1 bạn nam) hoặc phương pháp gián tiếp (tính tổng số cách chọn 5 bạn bất kỳ, sau đó trừ đi số cách chọn chỉ có bạn nữ). Phương pháp gián tiếp thường hiệu quả hơn trong trường hợp này.
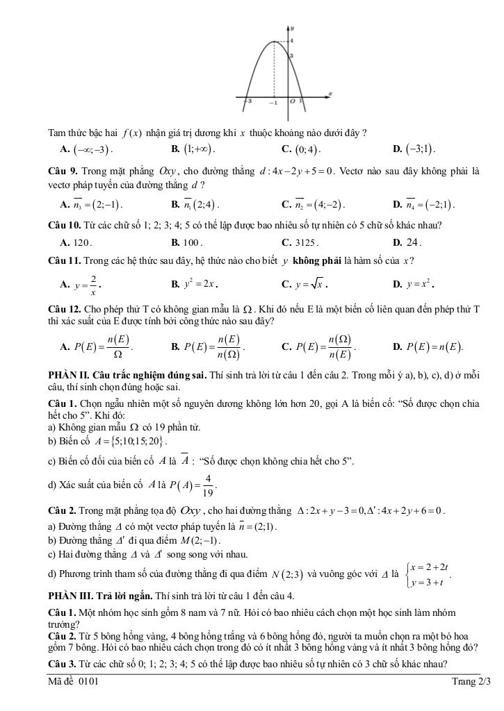
Xếp ngẫu nhiên 10 học sinh gồm 5 học sinh lớp 10A, 3 học sinh lớp 10B và 2 học sinh lớp 10C thành một hàng ngang. Tính xác suất để trong 10 học sinh trên không có hai học sinh cùng lớp đứng cạnh nhau.
Nhận xét: Đây là một bài toán xác suất phức tạp, đòi hỏi học sinh phải nắm vững kiến thức về hoán vị, tổ hợp và cách tính xác suất. Để giải bài toán này, học sinh cần tính số cách xếp thỏa mãn điều kiện đề bài (không có hai học sinh cùng lớp đứng cạnh nhau) và chia cho tổng số cách xếp tất cả các học sinh. Bài toán này có thể yêu cầu học sinh sử dụng kỹ thuật loại trừ hoặc phương pháp đếm trực tiếp một cách khéo léo.
Nhìn chung, đề thi Toán 10 cuối học kì 2 trường THPT Chế Lan Viên – Quảng Trị có độ khó tương đối, phân loại rõ ràng học sinh khá – giỏi. Đề thi tập trung vào các kiến thức trọng tâm của chương trình, đồng thời có tính ứng dụng cao. Đây là một đề thi tham khảo hữu ích cho học sinh và giáo viên trong quá trình ôn tập và chuẩn bị cho kỳ thi sắp tới.





