Logo Header
  1. Môn Toán
  2. đề cuối kỳ 2 toán 11 năm 2024 – 2025 trường thpt trần quang khải – br vt

đề cuối kỳ 2 toán 11 năm 2024 – 2025 trường thpt trần quang khải – br vt

Bạn đang xem tài liệu đề cuối kỳ 2 toán 11 năm 2024 – 2025 trường thpt trần quang khải – br vt được biên soạn theo soạn toán mới nhất. Tài liệu này hệ thống hóa kiến thức một cách khoa học, phù hợp cho mọi lộ trình học từ cơ bản đến nâng cao. Hãy khai thác triệt để nội dung để bứt phá điểm số và tự tin chinh phục mọi kỳ thi nhé!

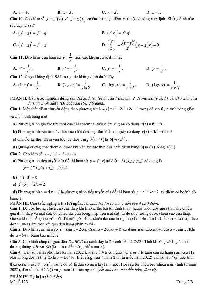
giaibaitoan.com xin giới thiệu đến quý thầy cô giáo và các em học sinh lớp 11 đề kiểm tra cuối học kỳ 2 môn Toán 11 năm học 2024 – 2025 của trường THPT Trần Quang Khải, tỉnh Bà Rịa – Vũng Tàu. Đề thi này là một tài liệu tham khảo hữu ích cho việc ôn tập và chuẩn bị cho kỳ thi sắp tới.

Cấu trúc đề thi: Đề thi được xây dựng với cấu trúc phổ biến, kết hợp các dạng câu hỏi khác nhau để đánh giá toàn diện năng lực của học sinh:

  • Trắc nghiệm nhiều lựa chọn: 30%
  • Trắc nghiệm đúng sai: 20%
  • Trả lời ngắn: 20%
  • Tự luận: 30%

Thời gian làm bài: 90 phút. Đề thi có kèm đáp án chi tiết cho mã đề 123. Kỳ thi chính thức diễn ra vào ngày 13 tháng 05 năm 2025.

Nội dung đề thi và phân tích:

Đề thi bao gồm các câu hỏi thuộc nhiều chủ đề khác nhau trong chương trình Toán 11, tập trung vào việc vận dụng kiến thức vào giải quyết các bài toán thực tế. Dưới đây là phân tích chi tiết một số câu hỏi tiêu biểu:

  1. Bài toán ứng dụng về góc và tam giác: "Để ước lượng chiều cao của tháp khi không thể lên tới đỉnh tháp, người ta đo góc giữa tia nắng chiếu qua đỉnh tháp và mặt đất, đo chiều dài của bóng tháp trên mặt đất, từ đó ước lượng được chiều cao của tháp. Giả sử khi tia nắng tạo với mặt đất một góc 40°, chiều dài của bóng tháp là 114m. Tính chiều cao của tháp theo đơn vị mét (làm tròn kết quả đến hàng phần mười)."
  2. Nhận xét: Đây là một bài toán thực tế, yêu cầu học sinh vận dụng kiến thức về tam giác vuông, tỉ số lượng giác (tan) để giải quyết. Bài toán này kiểm tra khả năng chuyển đổi bài toán thực tế thành bài toán toán học và áp dụng công thức một cách chính xác.

  3. Bài toán hình học không gian: "Cho hình chóp tứ giác đều giaibaitoan.com có cạnh đáy là 2, cạnh bên là 2√2. Tính khoảng cách giữa hai đường thẳng AB và SD (làm tròn đến hàng phần mười)."
  4. Nhận xét: Bài toán này thuộc chủ đề hình học không gian, đòi hỏi học sinh phải nắm vững kiến thức về hình chóp, các tính chất của đường thẳng trong không gian và phương pháp tính khoảng cách giữa hai đường thẳng chéo nhau. Việc tìm hình chiếu vuông góc và sử dụng các công thức tính khoảng cách là kỹ năng quan trọng để giải quyết bài toán này.

  5. Bài toán ứng dụng về hàm số mũ và logarit: "Dân số thành phố Hà Nội năm 2022 khoảng 8,4 triệu người. Giả sử tỉ lệ tăng dân số hàng năm của Hà Nội không đổi và tỉ lệ đó là r = 1,04%. Biết rằng, sau t năm (tính từ mốc năm 2022) dân số Hà Nội ước tính theo công thức: S = Ae^rt, trong đó A là dân số năm lấy làm mốc. Hỏi sau tối thiểu bao nhiêu năm (tính từ năm 2022), dân số của Hà Nội vượt mức 10 triệu người? (kết quả làm tròn đến hàng đơn vị)."
  6. Nhận xét: Bài toán này liên quan đến ứng dụng của hàm số mũ trong thực tế, cụ thể là mô hình tăng trưởng dân số. Học sinh cần hiểu rõ công thức, biết cách thay số và giải phương trình mũ để tìm ra giá trị của t. Bài toán này kiểm tra khả năng tư duy logic và kỹ năng giải toán của học sinh.

Tài liệu hỗ trợ:

File WORD (dành cho quý thầy, cô): TẢI XUỐNG

Hy vọng đề thi này sẽ là một công cụ hữu ích giúp quý thầy cô và các em học sinh đạt kết quả tốt nhất trong kỳ thi sắp tới.

Chinh phục đỉnh cao Toán 11 và đặt nền móng vững chắc cho cánh cửa Đại học với nội dung đề cuối kỳ 2 toán 11 năm 2024 – 2025 trường thpt trần quang khải – br vt trong chuyên mục Sách bài tập Toán 11 trên nền tảng soạn toán! Bộ bài tập lý thuyết toán thpt, được biên soạn chuyên sâu, bám sát chặt chẽ chương trình Toán lớp 11 và định hướng các kỳ thi quan trọng, cam kết tối ưu hóa toàn diện quá trình ôn luyện. Qua đó, học sinh không chỉ làm chủ kiến thức phức tạp mà còn rèn luyện tư duy giải quyết vấn đề, sẵn sàng cho các kỳ thi và chương trình đại học, nhờ phương pháp tiếp cận trực quan, logic và mang lại hiệu quả học tập vượt trội.
images-post/de-cuoi-ky-2-toan-11-nam-2024-2025-truong-thpt-tran-quang-khai-br-vt-1.jpgimages-post/de-cuoi-ky-2-toan-11-nam-2024-2025-truong-thpt-tran-quang-khai-br-vt-2.jpgimages-post/de-cuoi-ky-2-toan-11-nam-2024-2025-truong-thpt-tran-quang-khai-br-vt-3.jpgimages-post/de-cuoi-ky-2-toan-11-nam-2024-2025-truong-thpt-tran-quang-khai-br-vt-4.jpgimages-post/de-cuoi-ky-2-toan-11-nam-2024-2025-truong-thpt-tran-quang-khai-br-vt-5.jpgimages-post/de-cuoi-ky-2-toan-11-nam-2024-2025-truong-thpt-tran-quang-khai-br-vt-6.jpg

File đề cuối kỳ 2 toán 11 năm 2024 – 2025 trường thpt trần quang khải – br vt PDF Chi Tiết

TÌM KIẾM THEO TỪ KHÓA