Logo Header
  1. Môn Toán
  2. đề học kì 2 toán 12 năm 2024 – 2025 trường thpt nguyễn gia thiều – hà nội

đề học kì 2 toán 12 năm 2024 – 2025 trường thpt nguyễn gia thiều – hà nội

Bạn đang xem tài liệu đề học kì 2 toán 12 năm 2024 – 2025 trường thpt nguyễn gia thiều – hà nội được biên soạn theo môn toán mới nhất. Tài liệu này hệ thống hóa kiến thức một cách khoa học, phù hợp cho mọi lộ trình học từ cơ bản đến nâng cao. Hãy khai thác triệt để nội dung để bứt phá điểm số và tự tin chinh phục mọi kỳ thi nhé!

giaibaitoan.com xin giới thiệu đến quý thầy cô giáo và các em học sinh lớp 12 bộ đề kiểm tra cuối học kỳ 2 môn Toán 12 năm học 2024 – 2025 của trường THPT Nguyễn Gia Thiều, thành phố Hà Nội. Đây là một tài liệu tham khảo quý giá cho công tác ôn tập và chuẩn bị cho kỳ thi quan trọng sắp tới.

Bộ đề thi này được xây dựng theo cấu trúc phổ biến của các đề kiểm tra Toán 12 hiện nay, bao gồm:

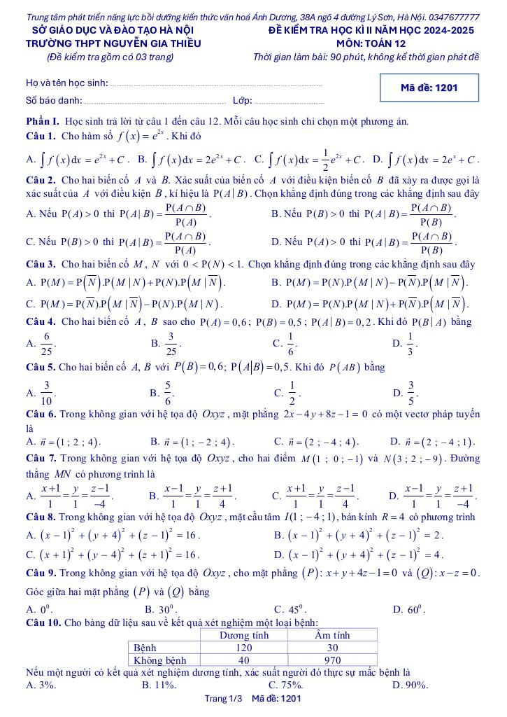
  1. Phần trắc nghiệm nhiều phương án lựa chọn: 12 câu, chiếm phần lớn tổng số điểm, đòi hỏi học sinh nắm vững kiến thức nền tảng và kỹ năng giải nhanh.
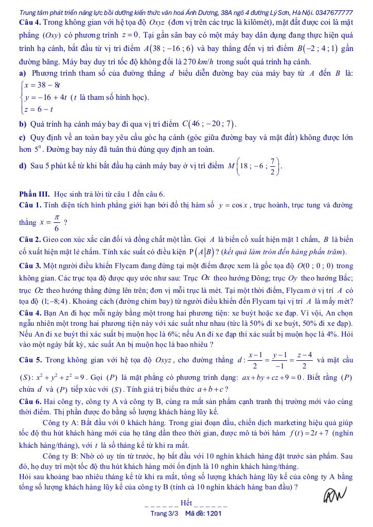
  2. Phần trắc nghiệm đúng sai: 04 câu, tập trung vào việc kiểm tra sự hiểu biết chính xác các định nghĩa, định lý và tính chất quan trọng.
  3. Phần trắc nghiệm trả lời ngắn: 06 câu, yêu cầu học sinh trình bày ngắn gọn, chính xác các bước giải và kết quả.

Với tổng thời gian làm bài là 90 phút, đề thi này đòi hỏi học sinh phải phân bổ thời gian hợp lý cho từng phần, đồng thời rèn luyện kỹ năng làm bài thi hiệu quả.

Đánh giá và nhận xét:

  • Đề thi được đánh giá là có độ khó phù hợp, bao phủ các chủ đề kiến thức trọng tâm của chương trình Toán 12 học kỳ 2, như: Nguyên hàm – Tích phân, Số phức, Hình học không gian, và các ứng dụng của đạo hàm.
  • Việc kết hợp các dạng câu hỏi trắc nghiệm khác nhau (nhiều phương án lựa chọn, đúng sai, trả lời ngắn) giúp đánh giá toàn diện năng lực của học sinh, từ kiến thức lý thuyết đến kỹ năng vận dụng.
  • Mã đề 1201 và 1202 cho phép tăng tính bảo mật và giảm thiểu tình trạng gian lận trong quá trình kiểm tra.

Lời khuyên:

Để đạt kết quả tốt nhất trong kỳ kiểm tra, học sinh nên:

  • Nắm vững kiến thức lý thuyết và công thức toán học.
  • Luyện tập giải nhiều dạng bài tập khác nhau, đặc biệt là các bài tập trắc nghiệm.
  • Rèn luyện kỹ năng làm bài thi, phân bổ thời gian hợp lý và kiểm tra lại kết quả.
  • Tham khảo các đề thi thử khác để làm quen với cấu trúc và độ khó của đề thi.

giaibaitoan.com hy vọng bộ đề thi này sẽ là một công cụ hữu ích giúp quý thầy cô và các em học sinh đạt được kết quả tốt nhất trong kỳ kiểm tra sắp tới.

Chinh phục điểm cao Kỳ thi Tốt nghiệp THPT Quốc gia môn Toán, rộng mở cánh cửa Đại học với nội dung đề học kì 2 toán 12 năm 2024 – 2025 trường thpt nguyễn gia thiều – hà nội trong chuyên mục bài toán lớp 12 trên nền tảng môn toán! Bộ bài tập toán thpt, được biên soạn chuyên sâu, bám sát cấu trúc đề thi và chương trình Toán 12, cam kết tối ưu hóa toàn diện lộ trình ôn luyện. Qua đó, học sinh không chỉ làm chủ mọi dạng bài thi mà còn trang bị chiến thuật làm bài hiệu quả, tự tin đạt kết quả đột phá, tạo nền tảng vững chắc cho Kỳ thi Tốt nghiệp THPT Quốc gia và hành trang vững vàng vào đại học, nhờ phương pháp tiếp cận trực quan, khoa học và mang lại hiệu quả học tập vượt trội.
images-post/de-hoc-ki-2-toan-12-nam-2024-2025-truong-thpt-nguyen-gia-thieu-ha-noi-1.jpgimages-post/de-hoc-ki-2-toan-12-nam-2024-2025-truong-thpt-nguyen-gia-thieu-ha-noi-2.jpgimages-post/de-hoc-ki-2-toan-12-nam-2024-2025-truong-thpt-nguyen-gia-thieu-ha-noi-3.jpgimages-post/de-hoc-ki-2-toan-12-nam-2024-2025-truong-thpt-nguyen-gia-thieu-ha-noi-4.jpgimages-post/de-hoc-ki-2-toan-12-nam-2024-2025-truong-thpt-nguyen-gia-thieu-ha-noi-5.jpgimages-post/de-hoc-ki-2-toan-12-nam-2024-2025-truong-thpt-nguyen-gia-thieu-ha-noi-6.jpgimages-post/de-hoc-ki-2-toan-12-nam-2024-2025-truong-thpt-nguyen-gia-thieu-ha-noi-7.jpg

File đề học kì 2 toán 12 năm 2024 – 2025 trường thpt nguyễn gia thiều – hà nội PDF Chi Tiết

TÌM KIẾM THEO TỪ KHÓA